2023年7月17日,Nano Lett.在线发表了英国帝国理工学院Nikita V. Tepliakov和美国哈佛大学Michele Pizzochero课题组的研究论文,题目为《Dirac Half-Semimetallicity and Antiferromagnetism in Graphene Nanoribbon/Hexagonal Boron Nitride Heterojunctions》。
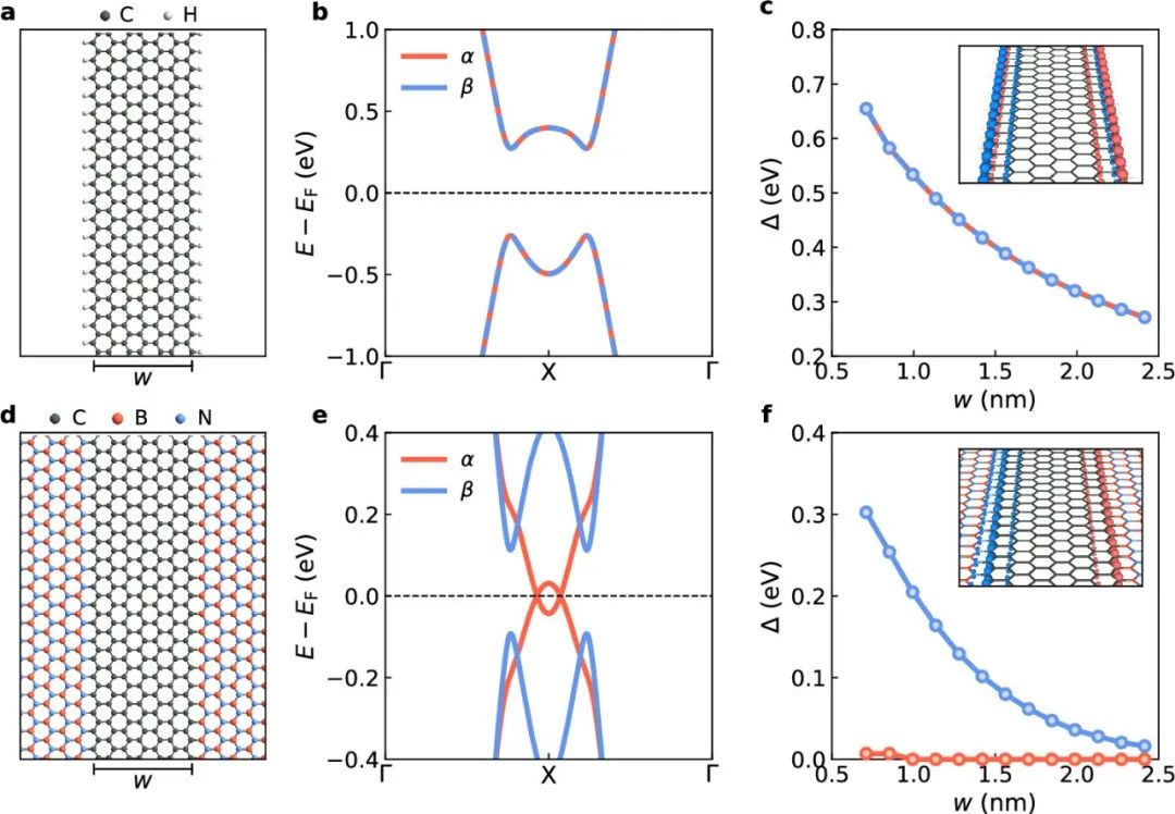
石墨烯纳米带(GNRs)是下一代纳米级电子器件的有前途的组件,因为它们具有相当大的能隙、优异的电荷传输以及易于集成到短沟道场效应晶体管(FETs)中。半金属(Half-metals)由于其完全自旋极化的电流而被设想为自旋电子器件中的有源元件。然而,含有半金属相的实际材料仍然很少。在此研究中,作者预测最近制备的嵌入到二维(2D)六方氮化硼中的锯齿形石墨烯纳米带异质结(ZGNR/hBN)是半金属的,其特征是费米能级处完全自旋极化的狄拉克(Dirac)点。半金属性源于电荷从六方氮化硼转移到石墨烯纳米带中,导致位于两个边缘的态发生相反的能量移动,同时保持其本征的反铁磁(AFM)交换耦合。掺杂后在这些异质结中发生反铁磁到铁磁(FM)的相变,过量电荷的符号控制净磁矩的空间局域化。研究结果表明,这种异质结实现了自旋极化狄拉克费米子的可调一维(1D)导电通道无缝集成到二维绝缘体中,从而为碳基自旋电子学的发展带来了希望。

图1 ZGNR/hBN异质结中的Dirac半金属性

图2 ZGNR/hBN异质结中半金属性的机制

图3 ZGNR/hBN异质结中磁边缘态与电荷转移的相互作用

图4 电荷掺杂对ZGNR/hBN异质结的影响
【论文链接】
Tepliakov, N.V., Ma, R., Lischner, J. et al. Dirac Half-Semimetallicity and Antiferromagnetism in Graphene Nanoribbon/Hexagonal Boron Nitride Heterojunctions. Nano Lett., 2023. https://doi.org/10.1021/acs.nanolett.3c01940
【其他相关文献】
[1] Son, YW., Cohen, M. & Louie, S. Half-metallic graphene nanoribbons. Nature, 2006, 444, 347–349. https://doi.org/10.1038/nature05180
[2] Pruneda, J.M. Origin of half-semimetallicity induced at interfaces of C-BN heterostructures. Phys. Rev. B, 2010, 81, 161409. https://doi.org/10.1103/PhysRevB.81.161409
[3] Magda, G., Jin, X., Hagymási, I. et al. Room-temperature magnetic order on zigzag edges of narrow graphene nanoribbons. Nature, 2014, 514, 608–611. https://doi.org/10.1038/nature13831
[4] Zeng, J., Chen, W., Cui, P. et al. Enhanced half-metallicity in orientationally misaligned graphene/hexagonal boron nitride lateral heterojunctions. Phys. Rev. B, 2016, 94, 235425. https://doi.org/10.1103/PhysRevB.94.235425
[5] Pizzochero, M.; Kaxiras, E. Hydrogen Atoms on Zigzag Graphene Nanoribbons: Chemistry and Magnetism Meet at the Edge. Nano Lett., 2022, 22, 1922−1928. https://doi.org/10.1021/acs.nanolett.1c04362
本文来自科研任我行,本文观点不代表石墨烯网立场,转载请联系原作者。
