导读:热释电效应是一种由于温度变化而自发极化和产生电荷的现象。聚偏氟乙烯(PVDF)作为一种具有热释电特性的半结晶聚合物,在开发智能和多功能材料方面具有很大的潜力。在PVDF的α、β、γ、δ和ε五个结晶相中,β相在PVDF的上热释电性能起着主导作用。然而,纯PVDF中β相含量较低,使其热释电性的稳定性和灵敏度达不到较高水平,限制了其在温度传感器上的应用。
针对这一问题,南京工业大学土木工程学院智能土木工程材料与结构实验室冯闯教授团队采用石墨烯纳米片(GNP)增强PVDF复合薄膜的热释电性,对材料进行了表征以及性能测试实验。实验分别从GNP浓度依赖性、薄膜厚度依赖性以及温度依赖性三个方面对复合薄膜的热释电性进行分析。通过对不同浓度的复合薄膜进行结构表征,观测GNP含量对PVDF结晶度的影响,提出提升效果最佳的GNP含量。结合材料的表征结果,分析复合薄膜的厚度依赖性以及温度依赖性的机理。研究成果以“High pyroelectric performances of graphene nanoplatelet reinforced polyvinylidene fluoride composite film”为题发表于《Polymer Composites》。硕士研究生曾博文为第一作者,冯闯教授为通讯作者。
原文链接:https://doi.org/10.1002/pc.27480

为了探究GNP及其含量对PVDF的微观结构的影响,分别从表面形态和光谱上对其微观结构进行分析。如图1所示,圈出的区域呈现出明显的片状纹理,这是GNP存在的结果。随着GNP含量的增加,PVDF的晶胞逐渐减小,说明GNP在PVDF中起到了成核剂的作用,加速了PVDF的成核速率。

图1 不同浓度GNP/PVDF复合薄膜表面形貌:(a) 0 wt%; (b) 0.5 wt%; (c) 1 wt %; (d) 2 wt%; (e) 4 wt%; (d) PVDF中的GNP。
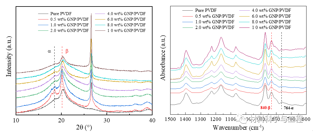
在图2中,不同的GNP含量表现出不同的特征峰。纯PVDF薄膜有一个弱的α相衍射峰,这是由于PVDF薄膜制备过程中退火抑制了α相的形成。随着GNP含量持续增加,α相和β相的衍射峰都减弱。由此说明少量的GNP更有利于促进PVDF中β相的形成。

图2 GNP/PVDF复合薄膜的XRD和FTIR光谱图
为了测试复合薄膜产生的热释电电荷,对薄膜施加温度变化。如图3所示,当温度发生变化时,薄膜中的电偶极子会自发极化。极化使更多的偶极子在垂直于薄膜表面的方向上重新排列,这对应于β相的增加。此过程中导致薄膜发生得失电子的现象。为了中和电子,需要从外界中获取正电荷,由此发生电荷的迁移而产生电流。

图3 热释电效应发生示意图
在测试复合薄膜的热释电实验中,通过对薄膜施加不同的温度变化速率,薄膜产生的电流也会随之变化,与温度变化速率呈正相关(如图4所示)。采用同样方法比较不同GNP含量复合薄膜的热释电电流,电流大小与GNP的含量同样呈正相关增长。然而,随着GNP含量的增加,热释电电流增长区间降低。

图4 不同GNP含量下复合薄膜的热释电响应
在图5中,热释电系数随温度的升高先增大后减小,而随着薄膜厚度的增加而逐渐减小。当温度升高时,偶极矩在极化方向上振荡增强而使热释电系数增大。当温度进一步升高时,PVDF已经达到分解温度,其β相不在保持原本的含量,复合薄膜也逐渐失去稳定性,导致其热释电系数降低。热释电系数随着厚度变化是因为当复合膜产生热释电电流时,薄的膜表面的电荷密度高于厚的膜。较薄的膜释放或获得电荷的能力优于较厚的膜,从而表现出更好的热释电性能。

图5 GNP/PVDF复合薄膜的热释电性与温度和厚度的关系
从这项工作中可以得出以下结论:(1)少量的GNP更有利于促进PVDF中β相的形成;(2)GNP的含量越高,复合膜的热释电性能越好。当GNP含量为10 wt %,GNP/PVDF复合膜达到60 nA,热释电系数达到260 μC/m2K;(3)高温有利于提高复合膜的热释电性能;但是,需要将温度控制在一定的范围内,以避免复合材料分解和丧失热稳定性;(4)与厚度较大的GNP/PVDF复合膜相比,厚度较小的复合膜具有更好的热释电性能。
本文来自材料科学与工程,本文观点不代表石墨烯网立场,转载请联系原作者。
