石墨烯纳米片(GNP)凭借其高比表面积和优异的机械、热力学性能,被视为提升水泥基材料性能的潜力填料。然而,大规模应用GNP可能导致材料浪费和成本增加。因此,开发低成本、高性能的水泥复合材料成为研究热点。南京工业大学冯闯教授团队开发了功能梯度石墨烯纳米片增强水泥基复合材料(FG-GNPRCC),通过优化GNP的分布,实现性能提升与用料节约。
针对这一问题,南京工业大学土木工程学院智能土木工程材料与结构实验室冯闯教授团队探索开发了功能梯度石墨烯纳米片增强水泥复合材料(FG-GNPRCC),并对其进行试验测试和力学建模,通过将石墨烯填料分布状态功能梯度化,充分发挥各组份的优势,提高性能的同时节约用材。制备并测试了具有均匀(H型)和功能梯度(X型、O型和A型)分布的GNP样品。在所有功能梯度分布模式中,X型表现出最显著的增强效果。与室温下的均匀分布相比,X型的损耗因子和储能模量分别提高了19.3%和19.5%。基于有效介质理论(EMT)和Mori-Tanaka(MT)模型,开发了一种三相介质模型来预测GNPRCCs的热导率。考虑了GNP包裹效应、团聚以及孔隙特性(即尺寸、形状和孔隙率)对复合材料热力学性能的影响。动态力学分析表明,在-50℃至70℃的温度范围内,X型具有最佳的能量耗散和非弹性变形程度。相比之下,A型更适用于需要沿某一方向实现渐进过渡和受控应力的场景。研究成果以“Experimental and theoretical analysis on the thermomechanical properties of functionally graded graphene nanoplatelet reinforced cement composites”为题发表于建筑材料顶刊Cement and Concrete Composites。
1.试验部分:试验制作流程如图1所示,共完成X,O,A和H型四种不同梯度分布试块(如图2)。对试块进行了动态热力学分析和热导率测试。

图1 FG-GNPRCC的制作流程

图2 四种不同梯度分布 (a) H型,(b) X型,(c) O型和 (d) A型
2.力学模型:制作如图3所示,由于GNPRCCs的多相特性和不同相之间力学性能的显著差异,现有的微观力学模型难以直接应用。因此,我们提出了一种并行三相包含微观力学模型来预测GNPRCCs的热导率。(1)考虑GNP的包裹效应:引入Kapitza电阻和接触电阻,计算考虑涂层后GNP的热导率。(2)GNP分散与团聚:将GNP填料分为分散和团聚两类。引入两参数模型和Cauchy统计函数来描述GNP的分散程度。利用基于Bruggeman的有效介质理论(EMT)模型预测含有分散和团聚GNP的复合材料热导率。(3)孔隙影响:将上一步获得的复合材料作为新基体,将气孔视为均匀分散的另一相,计算最终的有效热导率。具体模型建立过程如下:

图3 GNPRCC的平行三相介质微观力学模型
(1) 复合材料中的热传导在界面因声子散射和热膨胀不匹配而受阻,导致界面Kapitza热阻和GNP-GNP接触热阻的产生(如图4)。Kapitza热阻源于两种材料间的热应力差异,而GNP接触热阻则是相邻GNP界面处热流的衰减效应。本文在建模中考虑了这两种热阻的影响。

图4 包裹效应示意图(a)带有薄夹层的椭球形GNP和(b) GNP-GNP的接触区
(2) 由于范德华力和化学键的作用,GNP在水泥基体中难以均匀分散,导致团聚并影响性能。为此,我们建立了一个多尺度模型,将分散和团聚的GNP视为椭球形增强体,利用有效介质理论(EMT)预测复合材料的热导率。EMT模型假设材料均质且各向同性,基于扫描电镜观察,更准确反映GNP的实际形态与性能(如图5)。

图5 椭球形GNP的RVE示意图
(3)水泥水化不完全导致GNPRCCs中形成大量孔隙,显著影响热导率。本文将干燥后试样的孔隙视为充满空气的椭球形空心填料,均匀分布于复合材料中。采用Mori-Tanaka模型计算多孔GNPRCCs的有效热导率,假设基体和夹杂物各向同性,适用于低浓度增强体的复合材料,考虑孔隙影响,提升了热性能预测的准确性(如图6)

图6 含有孔隙的复合材料RVE示意图
(4) 上述步骤完成了GNPRCC的热导率的力学建模,对于FG-GNPRCC的热导率建模,采用串联模型来预测(见图7)。采用切片模型来预测了层间热应力(如图8)。

图7 截面应力应变分布图

图8 FG-GNPRCC在热载荷作用下的示意图
3.分析与讨论:为了验证模型的正确性,图9a比较了GNPRCC样品的热导率实验数据与理论预测,结果吻合良好。随着GNP浓度的增加,热导率也相应增加。例如,均匀分布情况下,GNP浓度从1.5 wt%时的0.91±0.05 W/(m·K) 增加到4.5 wt%时的1.09±0.96 W/(m·K)。具有良好GNP分散的复合材料热导率最高,而含有气孔的复合材料热导率最低,表明气孔严重影响了热导率。考虑了GNP团聚的热导率仅略低于良好分散的复合材料,说明团聚区域的GNP含量不高,GNP在水泥基体中分散良好。图9b显示了FG-GNPRCCs的热导率试验数据和模型也较为吻合。

图9a H型GNPRCC样品的热导率实验数据与模型结果的比较

图9b FG-GNPRCC样品的热导率实验数据与模型结果的比较
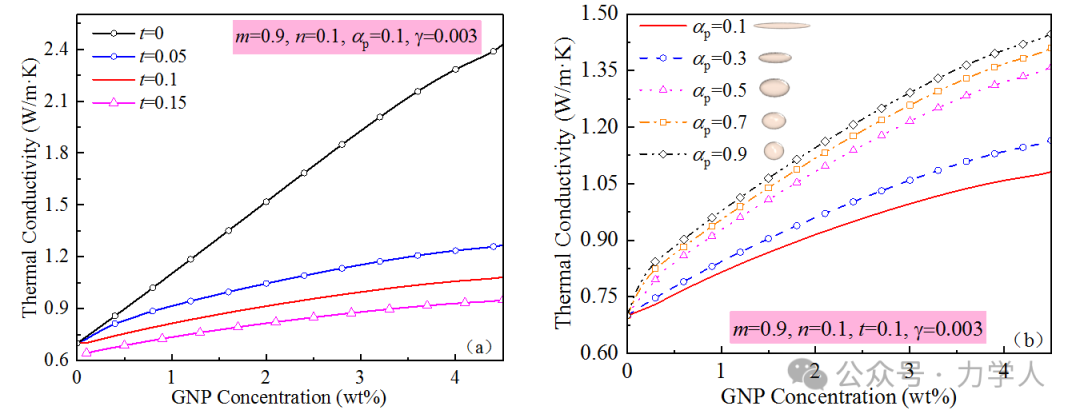
图10展示了团聚参数m(团聚GNP占总GNP的比例)对GNPRCCs热导率的影响。结果表明,较小的m(即较少的GNP团聚)会导致更高的热导率。当GNP浓度超过2.5 wt%时,团聚对热导率的影响变得更加明显,表明较高的GNP浓度导致更明显的团聚效应。正如预期,极限情况m=0(无团聚)时,GNPRCCs具有最大的热导率。

图10 GNP团聚对GNPRCC热导率的影响。
图11a显示,GNPRCCs的热导率随孔隙率增加而降低,因孔隙破坏材料连续性,增加界面热阻和声子散射,削弱传热。无孔基体中,热导率随GNP增加呈线性上升。图14b表明,热导率随着孔隙纵横比减小而增加,针状孔阻碍较小,高纵横比孔增加界面热散射。优化孔隙率和孔形态可有效提升热导率。

图11 孔隙对GNPRCC材料热导率的影响
图12显示了在顶部100℃、底部20℃条件下的热应力分布。FG试样的最大热应力低于H型,且热应力差随层数增加而减少。以X型为例,四层时热应力差为0.157,二十层时降至0.123,减少21.87%。这是因为层数少时,材料性质变化大,导致热膨胀差异增加。相同厚度和层数下,不同FG分布对热应力的影响较小。

图12 (a) 4层和(b) 20层FG-GNPRCC样品沿厚度的热应力分布。
从这项工作中可以得出以下结论:(1)DMA测试表明,改变梯度分布能调控GNPRCCs在不同温度下的动态力学性能。X型样品在-50℃到70℃范围内损耗因子和储能模量最高,能量耗散和非弹性变形能力最佳。(2)降低孔隙率和孔隙纵横比有助于提高热导率,通过减少声子散射和界面阻力,优化孔隙形态与石墨烯分布可有效提升传热性能。(3)热机械模型显示,增加层数减少层间热应力差异,X型和O型分布有助于降低热应力差。(4)FG分布层间热应力低于均匀分布,表明其在热环境下更稳定。
论文通讯作者为南京工业大学冯闯教授和王曙光教授,论文第一作者为南京工业大学土木工程学院博士研究生杭子彦,澳大利亚悉尼大学沈鲁明教授以及英国曼彻斯特大学Cise Unluer教授为本文的共同作者。该研究得到了江苏省双创计划、国家留学生基金委员会以及南京工业大学优秀博士生项目的共同资助。
原文链接:https://doi.org/10.1016/j.cemconcomp.2024.105740
作者简介

杭子彦
博士研究生
南京工业大学土木工程学院2021级博士研究生,研究领域为智能复合材料与结构。以第一作者已发表SCI论文3篇,中文核心2篇,合作发表SCI论文十余篇。荣获南京工业大学2021年度“校长奖学金”和“新生奖学金”,获得第七届土木建筑与结构工程国际学术会议最佳口头报告奖,国家留学基金委员会资助的联合培养博士项目以及南京工业大学优秀博士生培育项目,现于曼彻斯特大学土木工程学院Cise Unluer教授课题组做联合培养博士。
作者简介

冯闯
教授
博士生导师,国家级青年人才。从事高性能/智能工程材料与结构的研究,发表SCI论文70余篇。主要发表在Cement and Concrete Composites, Computer Methods in Applied Mechanics and Engineering, Composites Part A, Composites Part B, Construction and Building Materials, Journal of Building Engineering, Engineering Structures和Composite Structures等权威主流期刊。论文谷歌引用次数3000余次,h指数27,自2020年,连续四年入选斯坦福大学全球前2%顶尖科学家名单。获得了多项科研项目、奖励与荣誉,包括国家级人才、江苏省双创计划、南京市留学人员科技创新、南京市高层次举荐人才、澳大利亚研究理事会优秀青年基金、澳大利亚教育部的奋进研究奖、澳大利亚复合材料结构协会唯一年度最佳论文奖、日本学术振兴会JSPS研究奖、春晖杯海外留学生创新创业大赛二等奖和高科技服务组优胜奖、国家优秀自费留学生奖以及加拿大西安大略大学的学术成果奖和研究生论文研究基金奖等。
本文来自力学人,本文观点不代表石墨烯网立场,转载请联系原作者。
