研究背景
过渡金属二硫化物(TMDs)等二维层状材料因其独特的光电性能而引起了广泛关注。TMDs具有诸如宽可调带隙、高载流子迁移率等特点,使其成为开发高性能光电器件的理想候选材料。在这一背景下,铂硒化物(PtSe2)作为一种窄带隙的TMDs,具有优异的环境稳定性、高载流子迁移率和良好的光吸收特性,因此被广泛研究用于中波红外(MWIR)光电检测。然而,尽管PtSe2具有很多优点,但其室温下操作的光晶体管却存在着高暗电流和背景噪声等问题。
成果介绍
为了解决PtSe2光晶体管在室温下的这些问题,安徽大学物质科学与信息技术学院韩涛博士, 单磊教授, 龙明生教授等人通过将石墨烯引入WSe2/PtSe2异质二极管器件中,并设计了一种局部浮动栅结构,科学家们试图提高器件的光增益,并改善光响应速度和光谱范围。他们设计了一种石墨烯增强的G-WSe2/PtSe2异质二极管,通过在金属电极上放置该器件,并利用石墨烯层作为局部浮动栅,成功地实现了超宽带光响应、超高的光开/关比和具有竞争力的光伏效率。这项研究为提高PtSe2基光电器件的性能提供了一种新的途径,并在理解和优化二维材料的光电性能方面取得了重要进展。以上成果在Advanced Optical Materials期刊发题为“A Self-Powered Photodetector Based on Graphene Enhanced WSe2/PtSe2 Heterodiode with Fast Speed and Broadband Response”最新研究论文。
图文解读
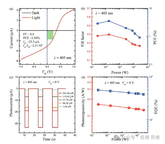
为了提高铂硒化物(PtSe2)基光电器件在室温下的性能,研究者设计了一种石墨烯(G)增强的G-WSe2/PtSe2异质二极管。首先,图1展示了该异质二极管的结构示意图及材料特性。通过拉曼光谱分析,结果显示石墨烯、WSe2、PtSe2和异质结构的特征峰,验证了材料的存在和组成。在暗条件下,典型的G-WSe2/PtSe2异质二极管器件表现出了典型的I-V曲线,进一步证实了器件的正常工作。在光照条件下,随着405 nm激光功率的增加,器件的开路电压VOC和短路电流ISC逐渐增加,表明光电流的增强。最后,输出电功率的图示出了不同405 nm激光入射光功率下的器件性能。
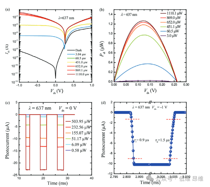
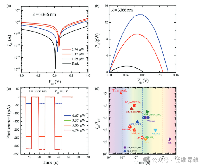
接着,图2展示了该异质二极管在可见光谱范围内的光电特性。在不同的405 nm激光功率下,器件的I-V曲线呈现出不同的特性,进一步证明了器件的光响应性能。填充因子和功率转换效率随着405 nm激光照射功率的增加而增加,表明了器件的光电性能得到了提高。在不同入射光功率下,器件的时间响应显示出不同的特性,进一步证明了器件的快速响应性能。然后,图3展示了该异质二极管在红外光谱范围内的光电特性。随着637 nm激光照射功率的增加,器件的I-V曲线呈现出不同的特性,进一步证明了器件对红外光的响应性能。器件的输出电功率随着637 nm激光入射功率的增加而增加,表明了器件在红外光谱范围内的高效光电转换性能。在不同光照功率下,器件的时间响应显示出不同的特性,进一步证明了器件在红外光谱范围内的快速响应性能。最后,图4展示了该异质二极管与先前二维材料基光电探测器的性能比较。通过调节不同3366 nm MWIR激光照射功率,器件的性能得到了进一步的验证和评估。与先前的光电探测器相比,该异质二极管表现出了更高的光开/关比和更快的响应时间,进一步证明了其优越性能。以下是相关图文信息:

图1:G-WSe2/PtSe2异质二极管的示意图和材料表征。a) 石墨烯增强的WSe2/PtSe2异质二极管器件的示意图。b) 石墨烯(蓝色)、WSe2(紫色)、PtSe2(酒红色)和异质结构(红色)的拉曼光谱。c) G-WSe2/PtSe2异质二极管器件的典型暗态I-V曲线的半对数图。d) 不同405 nm激光照射功率下G-WSe2/PtSe2器件的I-V曲线。e) 提取的开路电压VOC和短路电流ISC与照射功率的关系。f) 不同405 nm激光光功率下G-WSe2/PtSe2异质二极管器件的输出电功率。

图2:在可见光谱范围内一个典型G-WSe2/PtSe2异质二极管器件的光电特性。a) 80.3 µW功率的405 nm激光下G-WSe2/PtSe2异质二极管器件的I-V曲线。b) 提取的填充因子和光电转换效率PCE与405 nm激光照射功率的关系。c) 在0 V偏置下不同入射光功率下器件的时间响应。d) 在Vds = 0 V偏置下,R和EQE随入射光功率的依赖性。

图3:红外光谱范围内器件的光电特性。a) 不同637 nm激光照射功率下G-WSe2/PtSe2异质二极管的I-V曲线和无照射曲线。b) 不同637 nm激光功率下G-WSe2/PtSe2异质二极管器件的输出电功率。c) 在0 V偏置下,不同入射光功率下器件的时间响应。d) 在−1 V偏置下,637 nm激光照射下G-WSe2/PtSe2异质二极管器件的光响应时间。

图4:G-WSe2/PtSe2异质二极管光电探测器的带图和性能比较以及之前的2D材料基光电探测器。a) 在不同3366 nm中红外激光照射功率下G-WSe2/PtSe2异质二极管器件的I-V曲线。b) 在不同3366 nm激光照射功率下器件的输出电功率。c) 在0 V偏置下,不同3366 nm MWIR激光光功率下器件的时间响应。d) 与最先进的2D材料基光电探测器的光开/关比和响应时间的比较。

图5:密度泛函理论计算。a) (1L-1L) WSe2/PtSe2异质结构的能带结构。b) 和c) (1L-1L-1L) G-WSe2/PtSe2结构的能带结构,分别为原始石墨烯和氧等离子体处理的1L石墨烯。
结论展望
总之,作者报道了一种石墨烯增强的垂直G-WSe2/PtSe2异质二极管光电探测器。在可见光谱范围内展示了超高的光开/关比 >108,以及超快的光响应速度,上升时间τr = 0.9 µs,衰减时间τd = 1.5 µs。值得一提的是,该器件可以在可见光到中红外(405–3366 nm)的超宽带光谱范围内工作,并具有竞争性的光伏响应,光电转换效率达到3.45%。该器件展示了在中红外光谱范围内的室温光伏响应。结果表明,将薄石墨烯层放置在二维范德华异质结构上是调节光电探测器性能的有效方式。
文献信息
文献:X. Wang, S. Wang, Y. Wu, W. Wang, Z. Cao, B. Wei, T. Han, F. Li, S. Wang, L. Shan, M. Long, A Self-Powered Photodetector Based on Graphene Enhanced WSe2/PtSe2 Heterodiode with Fast Speed and Broadband Response. Adv. Optical Mater. 2024, 2400052. https://doi.org/10.1002/adom.202400052
本文来自低维 昂维,本文观点不代表石墨烯网立场,转载请联系原作者。
