
【文献链接】
Xu, XF., He, G., Wang, LN. et al. Graphene quantum dots modulated solution-derived InGaO thin-film transistors and stress stability exploration. Rare Met. (2023).
https://doi.org/10.1007/s12598-023-02307-y
【背景介绍】
近年来,非晶态InGaO(α-IGO)薄膜晶体管(TFT)因其高迁移率、高光学透明度和高稳定性等优异性能而受到广泛关注。α-IGO TFT用于面板显示技术的一个重要优势是IGO材料是一种宽带半导体,可见光可以通过,从而提高屏幕的亮度。然而,当α-IGO TFT被用来驱动液晶显示器(LCD)面板中的像素时,TFT会受到背光的影响。因此,当IGO TFT用于LCD面板,或底部发光的有源矩阵有机发光二极管(AMOLED)面板时,光的稳定性是非常重要的。目前在IGO中掺入一些原子,如N、Mg和纳米点,可以改善TFTs器件的电学性能和光照稳定性。因此如何提高α-IGO TFT的稳定性一直以来是科研人员关注的热点,寻找一种新型材料提高其光照稳定性也至关重要。由于多种不同能级的化学键,化学衍生的GQDs显示出非常宽的发射线宽度。GQDs具有优异的耐光性、良好的生物相容性、良好的可调控光致发光(PL)特性、优异的催化活性和化学惰性等。其最高被占分子轨道(HOMO)和最低未被占分子轨道(LOMO)之间的电子转变直接产生了紫外/可见光的吸收和PL,这种边缘结构是GQDs中诱发强烈发光的主要原因。同时边缘效应和量子结合使GQDs在光伏器件、发光二极管、光探测器等下一代电子和光电设备中具有巨大的应用潜力。

【原文摘要】
本文以溶液驱动ZrOx为栅介质,制备了石墨烯量子点掺杂InGaO(IGO)薄膜晶体管。与未掺杂IGO TFT相比,GQDs-IGO TFT的电学性能优于未掺杂IGO TFT。在GQDs掺杂量为0.3 mg/ml的条件下,GQDs修饰的IGO TFTs器件的场效应迁移率(μFE)为22.02 cm2 V-1 s-1, Ion/Ioff为7.06×10^7,亚阈值摆幅(SS)为0.09 V·Dec-1,阈值电压为0.35 V,界面陷阱态(Dit)为1.03×10^12 cm-2。此外,对优化后的GQDs-IGO-TFT进行了偏压稳定性和偏压光照稳定性测试,结果表明,优化后的GQDs-IGO-TFT具有良好的稳定性。GQDs-IGO TFTs器件在3600 s的正偏压和负偏压测试中,阈值电压偏移分别为0.12 V和0.04 V。在3600 s的正偏压光照应力(PBIS)和负偏压光照应力(NBIS)试验中,红光的阈值电压位移分别为0.27 V和0.34 V,绿光的阈值电压位移分别为0.20 V和0.22 V。蓝光的阈值电压位移分别为0.17 V和0.12 V。我们的实验结果表明,基于溶液的方法来制备GQDs-IGO TFTs为未来量子点TFTs在光电子领域的应用提供了巨大的帮助。
【本文亮点】
(1)首次采用全溶液法制备了高性能GQDs-InGaO/ZrOx TFT。
(2)提出了一种GQDs有助于提高器件电学性能的新方法。
(3)探究了不同光照条件下的器件稳定性变化,展示了其在光电探测方面潜在的应用。
【内容简介】
日前,安徽大学材料科学与工程学院的何刚教授课题组在Rare Metals上发表了题为“Graphene quantum dots modulated solution-derived InGaO thin-film transistors and stress stability exploration”的文章,运用石墨烯量子点修饰InGaO TFT器件的电学性能和稳定性。
【图文解析】

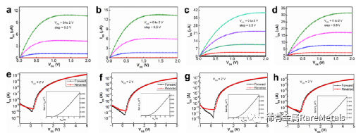
图1 器件的输出曲线 (a) GQDs-IGO-0 TFT; (b) GQDs-IGO-1 TFT; (c) GQDs-IGO-2 TFT; (d) GQDs-IGO-3 TFT; 器件的转移曲线 (e) GQDs-IGO-0 TFT; (f) GQDs-IGO-1 TFT; (g) GQDs-IGO-2 TFT; (h) GQDs-IGO-3 TFT. e-h中的插图表示转移特性曲线的平方根.
图1说明了GQDS-IGO TFT的电学性能。GQDs-IGO薄膜晶体管的输出特性曲线(图1a-d)表明,所有器件都具有典型的n沟道传导行为。此外,输出曲线线性增加表明Al电极与GQDs-IGO薄膜之间有良好的欧姆接触。GQDs-IGO-0、GQDs-IGO-1、GQDs-IGO-2和GQDs-IGO-3在2.0V下的饱和电流分别为10.69、13.31、39.75和31.48 μA。显然,随着GQDs浓度的增加,饱和电流也增加,但随着GQDs浓度的继续增加,饱和电流反而减小。图 1e-h显示了所有GQDs-IGO TFT的转移特性曲线(插图显示了转移特性的平方根)。随着GQDS浓度的增加,μFE、Ion/Ioff和VTH先增大后减小,GQDs-IGO-2 TFT的μFE值和Ion/Ioff值最大,GQDs-IGO-1 TFT的VTH值最大。GQDs-IGO-2 TFT的SS、Dit和磁滞最大。结果表明,GQDs-IGO-2 TFT的μFE 为 22.02 cm2 V-1s-1, Ion/Ioff为7.06×107, SS为0.09 V·Dec-1, Dit为1.03×1012 cm-2的最佳电学性能。可以推测,GQDs的掺杂增加了载流子浓度,从而增加了掺GQDs的IGO TFTs的μFE。石墨烯具有高的电子迁移率,掺杂GQDs有助于提高IGO TFT的载流子迁移率,从而提高μFE的值,更高的迁移率意味着器件更快的开关速度。此外,掺入GQDs的IGO TFT的Ion变化不大,Ioff显著降低,导致了较高的Ion/Ioff。我们对这一现象的解释是,掺杂一定量的GQDs降低了氧空位和自由载流子的浓度,导致了Ioff的降低。当GQDs的掺杂浓度继续增加时,TFTs界面附近的陷阱态也随之增加,进而导致器件性能下降。与GQDs-IGO-0 TFT相比,GQDs-IGO-2 TFT的SS更小,说明GQDs-IGO-2 TFT可以实现快速的开关行为,因此,GQDs在高速电子学中扮演着重要的角色,石墨烯也是如此,它具有很高的临界电流密度和饱和速率。GQDs-IGO-2 TFT的Dit值远小于GQDs-IGO-0 TFT的Dit值,说明GQDs有助于提高IGO TFT的质量。由于极小的Dit和SS,不仅提高了器件的稳定性,而且载波在高质量的接口上传输得更快更准确。因此,小的SS、Dit和磁滞表明高质量界面的形成,这无疑将提高TFT的性能参数。总之,GQDs-IGO-2 TFT较小的SS、Dit和磁滞值可能是由于GQDs降低了栅绝缘层和沟道层之间的缺陷密度。但是,当GQDs掺杂过大时,TFT的性能反而变差。这可能是由于GQDs中引入了大量的氧,作为陷阱态和陷阱运动的载体,使性能恶化。根据图的插图 1(e)-(h)时,可以得到TFT的VTH,即在有源层中形成导电沟道所需施加的最小栅极电压(VGS)。器件功耗相对较小,因为GQDs-IGO的VTH较小,可能是由于GQDs-IGO的高载流子浓度。总之,GQDs-IGO-2 TFT优异的电学性能对TFT-LCD的应用有很大的帮助。

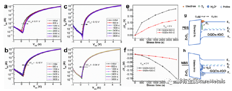
图2 (a) GQDs-IGO-0 TFT和(c) GQDs-IGO-2 TFT的PBS曲线 (b) GQDs-IGO-0 TFT和(d) GQDs-IGO-2 TFT的NBS曲线。GQDs-IGO TFT的(e) PBS和(f) NBS随时间变化的ΔVTH。GQDs-IGO薄膜晶体管在(g) PBS和(h) NBS下的偏压不稳定机制。
为了确定GQDS掺杂对器件稳定性的影响,测量了GQDS-IGO-0和GQDS-IGO-2 TFT的正偏压(PBS)和负偏压(NBS)稳定性,如图2所示。PBS测量后,GQDS-IGO-0和GQDs-IGO-2 TFT的转移曲线分别右移0.21 V(图2a)和0.12 V(图2c)。同时,GQDs-IGO-0和GQDs-IGO-2 TFT在NBS测量后,转移曲线左移0.18 V(图2b)和0.04V(图2d)。与GQDs-IGO-0 TFT相比,GQDs-IGO-2 TFT的稳定性明显提高。为了更容易看到GQDs掺杂对器件稳定性的影响,图 4e与图 4f总结了GQDs-IGO-0和GQDs-IGO-2 TFTs的VTH正负偏移。结果表明,GQDs-IGO-2 TFT具有更好的偏压稳定性,阈值电压偏移比GQDs-IGO-0 TFT小得多。电荷俘获/脱除机制的基本概念是,栅介质中净电荷的变化改变了感应电子的数目,从而产生VTH位移。如图所示图2g和2h,能带机制解释了PBS和NBS下转移曲线的变化,其中Ec代表导带,Ef代表费米能级,Ei代表中间能带,Ev代表价带。在正栅极电压下,当电子聚集在GQDs-IGO和ZrOx之间的界面附近时,能带向下弯曲(图2g)。此外,作为受体的O2分子的吸附捕获电子,导致正位移现象,对应于方程O2(gas)+e-=O2-(solid)。在负栅压(图2h)下,能带向上弯曲是由于界面附近的电子耗尽,而负移动是由于GQDS-IGO沟道层将从ZrOx栅介质中获得更多的电子。由于大量水分子在周围空气中的扩散和大量自由电子的产生,导致NBS不稳定性的机理是吸湿性,其反应方程为H2O(gas)+h+→H2O+(solid)。

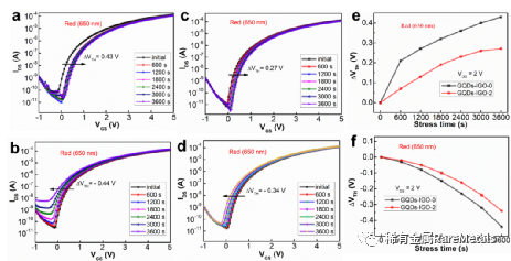
图3 (a) GQDs-IGO-0 TFT在PBIS,(b) GQDs-IGO-0 TFT在NBIS,(c) GQDs-IGO-2 TFT在PBIS,(d) GQDs-IGO-2 TFT在NBIS测试中的转移曲线变化。GQDs-IGO TFT在红色光照下(e) PBIS和 (f) NBIS随时间变化的ΔVTH。
GQDs-IGO-0 TFT和GQDs-IGO-2 TFT在红色光照下的稳定性如图3所示。GQDs-IGO-0 TFT和GQDs-IGO-2 TFT的PBIS的ΔVTH分别为0.43 V(图3a)和0.27 V(图3c)。同时,GQDs-IGO-0 TFT和GQDs-IGO-2 TFT的PBIS的ΔVTH分别为0.44 V(图3b)和0.34 V(图3d)。此外,如图3b所示,器件在3600s的偏压下很难关闭,这是因为随着光照时间的增加,过多的光照会产生电子载体,从而使光照应力引起的VTH退化更加严重。根据GQDs-IGO TFT在红色光照下PBIS(图3e)和NBIS(图3f)的ΔVTH 随时间变化,很明显GQDs-IGO-2 TFT的稳定性比GQDs-IGO-0 TFT有很大提高。

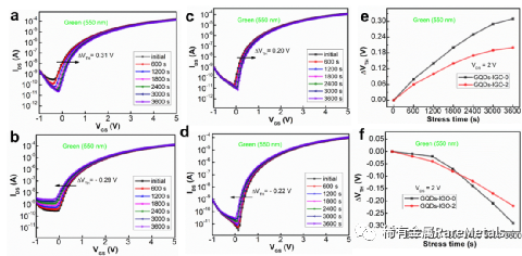
图4 (a) GQDs-IGO-0 TFT和(c) GQDs-IGO-2 TFT在绿光下的PBIS测试的转移曲线。(b) GQDs-IGO-0 TFT和(d) GQDs-IGO-2 TFT在绿光下的NBIS测试的转移曲线。GQDs-IGO TFT在绿光照射下(e) PBIS和 (f) NBIS随时间变化的ΔVTH。
如图4所示,GQDs-IGO-0 TFTs和GQDs-IGO-2 TFTs在绿色光照下的稳定性也得到了研究。GQDs-IGO-0 TFT的转移曲线随着施加的偏压时间的增加分别向右移动了0.31V(图4a)和向左移动了0.29V(图4b)。然而,GQDs-IGO-2 TFT的转移曲线分别向右移动了0.20 V(图4c)和向左移动了0.22 V(图4d)。很明显,随着光照时间的增加,GQDs-IGO-0 TFT由光照压力引起的VTH退化也很明显。根据GQDs-IGO TFTs在PBIS(图4e)和NBIS(图4f)下随时间变化的ΔVTH,可以发现,对于PBIS,GQDs-IGO-2 TFTs的稳定性比GQDs-IGO-0 TFTs大大改善。但是对于NBIS,与GQDs-IGO-0 TFTs相比,GQDs-IGO-2 TFTs的稳定性先下降后上升。

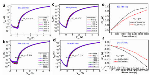
图5 蓝色光照下,(a) GQDs-IGO-0 TFT在PBIS,(c) GQDs-IGO-2 TFT在PBIS,(b) GQDs-IGO-0 TFT在NBIS,(d) GQDs-IGO-2 TFT在NBIS测试下的转移曲线。GQDs-IGO TFT在蓝光下(e) PBIS和(f) NBIS随时间变化的ΔVTH。
最后,GQDs-IGO-0 TFT和GQDs-IGO-2 TFT在蓝色光照下的稳定性如图5所示。随着偏压时间的增加,GQDs-IGO-0 TFT的传输曲线分别向右移动了0.19 V(图5a)和向左移动了0.18 V(图5b)。同时,GQDs-IGO-2 TFT的转移曲线分别向右移动了0.17 V(图5c)和向左移动了0.12 V(图5d)。根据GQDs-IGO TFT在PBIS(图5e)和NBIS(图5f)下的时间依赖性ΔVTH,我们发现GQDs-IGO-2 TFT明显表现出更好的偏压光照稳定性,它显示出比GQDs-IGO-0 TFT更小的阈值电压偏移。

图6 GQDs-IGO TFT的光诱导电离VO相关陷阱状态的示意图,以及(b) PBIS和(c) NBIS在光照下栅极电介质中固定电子的积累。
为了进一步解释PBIS和NBIS下的转移特性的变化,图6中显示了一个示意图。根据公式:E=hc/λ,红色(λ=650)、绿色(λ=550)和蓝色(λ=450)照明的光能Ered、Egreen和Eblue分别被计算为~1.91、~2.26和~2.76eV。如图6a所示,中性VO在价带最大值以上的深层状态形成,它在概念上说明了光诱导的VO电离。此外,VTH的转变与VO电离的活化能密切相关,这个数字使我们更容易理解光照影响器件稳定性的原因。VO转变为VO+和VO2+的能量分别为~2.0和~2.3 eV ,很明显,在绿色和蓝色的光照下,VO转变为VO+或VO2+的电离被激活,因为它需要2.26 eV和2.76 eV的电压来激发。在PBS测试中,在栅极正偏压下,电子迁移到栅极绝缘体和有源层之间的界面,并被捕获在界面或栅极绝缘体上。然而,在PBIS测试中,由光提供的VO+或VO2+通过栅极的正偏压迁移到后沟道区域,并被捕获在钝化层或活性层和钝化层之间的界面(图6b)。与黑暗中相比,更多的正电荷可以被截留在后通道区域,因此,与PBS相比,更多的正电荷有助于诱发驼峰现象。如图6c所示,深层的氧空位[VO]可以被光子能量激发到浅层状态,形成双电荷[VO2+],并在导带中产生脱域电子,因此,阈值电压可以通过这些脱域电子转移到负方向。当持续施加负电场时,能带会持续弯曲,由不同波长的光子能量诱导的空穴在沟道表面聚集,并在栅极绝缘体和活性层之间的界面以及绝缘体的体区被捕获。因此,可以说[VO]的状态密度决定了NBIS条件下VTH的程度。简而言之,VTH的负偏移是由于光产生的孔和带正电的VO都可以被吸引。此外,由光产生的孔有可能通过隧道进入栅极介质,从而产生固定的正电荷,尽管随着NBIS的局部内置电场的增加,空穴注入的速度减慢了,但由于光照引起的氧空位的不断电离,该器件的退化并没有停止。GQDs-IGO-0 TFTs在光照下Ioff的增加可以解释为光照激发效应超过了PBIS中偏置电压的捕获效应,因此电子质量在沟道层中被传输,器件不能有效地关闭。
【全文小结】
1.提出一种基于全溶液法制备GQDs-InGaO薄膜晶体管。
2.GQDs有助于提高InGaO薄膜晶体管的电学性能。
3.GQDs-InGaO薄膜晶体管具有良好的偏压稳定性和偏压光照稳定性。
【作者简介】

何刚,安徽大学材料科学与工程学院“皖江学者”特聘教授,博士生导师,安徽省学术和技术带头人,合肥市专业技术拔尖人才。2006年获中国科学院合肥物质科学研究院固体物理研究所凝聚态物理博士学位,2007~2011曾先后在日本东京大学、日本国家材料研究所从事科学研究。长期从事高k栅介质材料的设计与制备、界面调控和场效应器件构筑及输运优化等研究工作,主持多项国家/省部级项目。在Progress in Materials Science、ACS Nano、IEEE Electron Device Letters、IEEE Transactions on Electron Devices、ACS Applied Materials & Interfaces、Advanced Electronic Materials等学术刊物发表学术论文260余篇,引用近5000余次,H指数35,主编英文专著(High-k Gate Dielectrics for CMOS Technology, Wiley-VCH)。获安徽省自然科学奖等各级奖励多项。
本文来自稀有金属RareMetals,本文观点不代表石墨烯网立场,转载请联系原作者。
