近日,南京大学物理学院高力波课题组在研究氢分子穿透石墨烯晶格中取得了重要进展,首次发现氢分子在石墨烯层间可以长期稳定存在,同时发现随温度的升高,该夹层氢气气压反而降低。相关研究成果以“Trapping hydrogen molecules between perfect graphene”为题于8月7日在线发表在《Nano Letters》。[J. Xu et al., Nano Lett.DOI: 10.1021/acs.nanolett.3c02321]
由于原子尺度的限制,二维层状材料中的层间空间可以用于研究离子、原子和分子在限域空间中的异常行为,如无摩擦输运、毛细凝聚和异常极化等。这其中,两层石墨烯之间的空腔是揭示新现象的理想平台之一。理论上,氢分子是最简单的插层分子之一,而研究石墨中的氢可以深入了解层间氢的稳定性和传输特性,甚至可以揭示小分子在限域空间中驻留和移动时的非凡量子效应。然而,由于其分子质量小,需要具有高灵敏度的复杂实验技术来表征,使得研究限域空间中的氢分子具有极大的挑战性。目前对被限制在二维材料层间空间的氢分子物理性质的认识主要来自理论模拟。
氢分子在限域空间中的一种特殊呈现方式,是以气泡形式存储在层状材料的夹层之中,这有利于进一步表征分析,并为研究气体分子在限域空间中的运动以及由应变引起的物性变化提供了一个很好的平台。目前为止,在无缺陷和无氢化的完美石墨烯层间实现限域的氢分子存储尚无报道,这限制了对层间氢分子传输性质的研究。
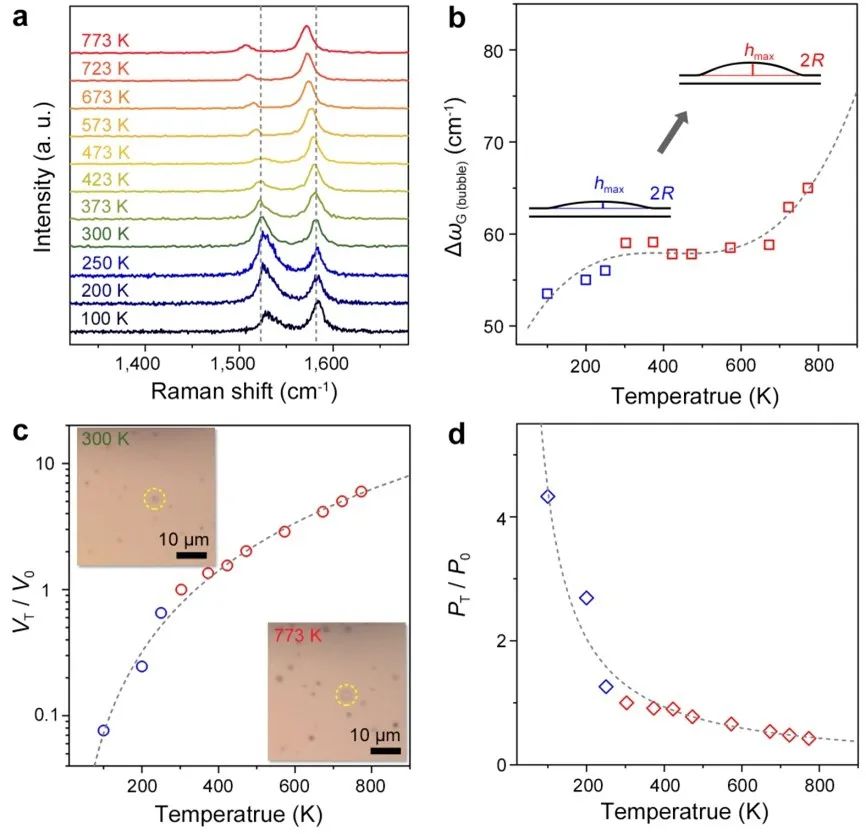
高力波课题组利用质子辅助法成功在完美石墨烯的层间实现限域空间中氢分子存储,并深入研究层间氢分子的稳定性和其在层间的传输性质。首先,他们在石墨烯层间控制制备出不同密度和尺寸的氢分子气泡,并发现这些氢分子不能在无缺陷的石墨烯晶格之间扩散,也不能从石墨烯晶格中逸出,并且在高达400 ℃的高温时气泡仍能保持稳定(图1)。之后,他们对不同二维材料层间的单个氢分子气泡的形状特点和气泡穹顶内应变进行了详细研究(图2),并通过调控注入质子的动能实现了氢分子气泡穹顶的层数(图3)。他们还研究了气泡内氢分子的内压与温度的关系,发现其内压随着温度的升高反而降低(图4)。最后,他们还估算了在特定的等离子体功率时质子对石墨烯晶格的穿透率(图5)。该工作为层状材料夹层中储存氢气提供了一种有效的方法,同时为研究限域空间中氢气的非平凡量子效应和氢催化反应提供了一个理想的研究平台。

图1:(a) 质子辅助法制备石墨烯层间氢气的示意图。(b, c) AFM同位置表征氢分子气泡的生长过程。(d) 石墨层间插层氢分子气泡的光学照片。(e) 和 分子填充在hBN层间的拉曼特征峰。(f) 不同尺寸氢分子气泡的室温稳定性。(g) 不同尺寸气泡的高温稳定性。

图2:(a) 石墨烯氢分子气泡的 AFM图。(b, c) 石墨烯、hBN和MoS2气泡截面比较及其统计的长径比。(d) 石墨烯的拉曼G峰与气泡径向距离r的关系。(e) 气泡穹顶应变随气泡径向距离r的关系。(f) 不同尺寸石墨烯气泡的拉曼光谱。

图3:(a) 石墨上大量破裂气泡的SEM照片。(b) 理拟合石墨烯、氢化石墨烯、hBN和MoS2不同尺寸氢分子气泡的内压。(c, d) 不同层数气泡破裂的AFM图和相应高度剖面图。(e) 石墨、hBN和MoS2气泡的穹顶层数统计。(f) 调控等离子体功率实现可控的石墨烯气泡穹顶层数。

图4:(a) 石墨烯气泡在100 ~ 773 K范围内的变温拉曼光谱。(b) 气泡穹顶的拉曼G峰偏移量随温度的变化关系。(c) 不同温度下气泡体积(VT/V0)的变化。(d) 不同温度下气泡内压的变化。

图5:(a, b) 控制制备的 气泡的密度和尺寸。(c) 不同条件下制备气泡高度的统计图。(d, e) 质子与氘核在相同条件下的光学照片,存在明显的同位素效应。(f) 石墨中 的生成速率图,最大速率约为470 s-1μm-2。
该工作由南京大学高力波课题组、奚啸翔课题组和王雷课题组合作完成。南京大学高力波教授负责课题的总体构思、实验设计以及样品的制备和表征,奚啸翔教授负责文章中低温拉曼部分,王雷教授负责文章中石墨和hBN样品的制备。南京大学物理学院副研究员徐洁、博士研究生刘伟林和唐文娜为论文的共同第一作者,南京大学物理学院高力波教授和博士后袁国文为论文的共同通讯作者。该工作感谢固体微结构物理国家重点实验室、人工微结构科学与技术协同创新中心的大力支持,以及国家自然科学基金委的经费资助。
论文链接:https://pubs.acs.org/doi/10.1021/acs.nanolett.3c02321
本文来自南京大学物理学院,本文观点不代表石墨烯网立场,转载请联系原作者。
