辛娜,2018年获得博士学位,师从北京大学郭雪峰教授。毕业后在英国曼彻斯特大学当博士后,其合作导师为诺奖获得者Andre Geim教授。

辛娜博士长期致力于探索后摩尔时代新型低维电子元器件,通过充分利用低维材料的性能优势和灵活多样的原位调控策略,揭示微纳尺度内电荷输运机制,并构建出一系列性能优异的功能化器件。迄今以第一(含共同第一)作者身份发表Nature 1篇,Science 2篇,Nature Reviews Physics 1篇,JACS 1篇,Angew 2篇,Nature Communications 2篇,Chem 1篇,Nano Letters 1篇等;获授权中国发明专利4项和美国发明专利1项。曾获中国高等学校十大科技进展、中国科学十大进展、北京大学优秀博士论文等奖励。




Andre Geim教授, 1958年10月21日出生于俄罗斯索契,拥有荷兰和英国双重国籍,物理学家,中国科学院外籍院士,英国皇家学会院士,美国国家科学院外籍院士,诺贝尔物理学奖获得者,英国曼彻斯特大学Regius教授、英国皇家学会研究教授。安德烈·海姆于1987年获得俄罗斯科学院固体物理研究所博士学位;1994年任荷兰奈梅亨大学副教授;2001年任曼彻斯特大学物理系教授;2007年当选为英国皇家学会院士;2010年获得诺贝尔物理学奖;2012年当选为美国国家科学院外籍院士;2017年当选为中国科学院外籍院士。2004年,安德烈·海姆(Andre Geim)率先剥离出石墨烯,并对其电学、光学性质等进行了开创性研究,发现了石墨烯中的载流子表现出二维狄拉克费米子特性,具有半整数量子霍尔效应、室温量子霍尔效应等一系列新奇物理现象;2010年,研究发现石墨烯及其独特性质;开展了其他二维原子晶体的研究,开辟了二维原子晶体研究领域,引领和带动了世界范围内对二维原子晶体的研究,并引领探索了二维原子晶体在分子、离子、质子、同位素分离等领域的应用;开创了基于二维原子晶体的范德瓦尔斯异质结构材料新方向。
近日,曼彻斯特大学Andre Geim教授团队辛娜博士又在Nature上发表其最新研究进展,高迁移率石墨烯中的狄拉克等离子体显示出异常磁传输和巨磁阻,在室温下、低磁场中巨磁阻超100%!
石墨烯新发现:巨磁阻效应

在磁场下能改变其电阻率的材料在各种应用中备受青睐,例如,每辆汽车和每台电脑都包含许多微小的磁传感器。这样的材料是罕见的,大多数金属和半导体在室温和实际可行的磁场中,其电阻率的变化只有极小的几分之一。为了观察强烈的磁阻反应,研究人员通常将材料冷却到液氦温度,这样里面的电子散射就会减少,并能遵循回旋加速器的轨迹。
石墨烯的电子光谱中最容易识别的特征是它的狄拉克点,有趣的现象往往聚集在它周围。在低温下,这一体系的内在行为往往被电荷的不均匀性所掩盖,但热激发可以在高温下克服无序性,并创造出狄拉克费米子的电子-空穴等离子体。狄拉克等离子体表现出不寻常的特性,包括量子临界散射和流体力学流动。然而,人们对该等离子体在磁场中的行为知之甚少。
曼彻斯特大学的Alexey I. Berdyugin教授、Andre Geim教授联合兰开斯特大学的L. A. Ponomarenko教授共同报告了一个发现:在过去20年里被广泛研究的好的石墨烯,显示出令人难以置信的强烈反应。在六方氮化硼封装的超高质量石墨烯器件中,观测到了创历史新高的非饱和巨磁阻效应:在室温下,0.1 T 磁场下MR > 100 %,10 T磁场下MR~104 %。
作者表明,这种行为是单层石墨烯所特有的,是由其无质量的频谱和超高的迁移率所支撑的。随着朗道量化的开始,在几特斯拉的磁场中,电子-空穴等离子体完全停留在第二朗道水平,巨大的线性磁电阻率出现了。它几乎与温度无关,并且可以被近距离屏蔽所抑制,这表明它是一个多体的起源。与奇异金属中的磁传输以及为Weyl金属预测的所谓量子线性磁阻有明显的相似之处,这为利用这个定义良好的量子临界二维系统进一步探索相关物理学提供了一个有趣的机会。本文第一作者为辛娜,James Lourembam和 Piranavan Kumaravadivel。
非量化领域的巨型磁阻 (MR)
主要器件是由六方氮化硼(hBN;图1a)封装的MLG制成的多端霍尔条。在低温度下,它们的流动率超过106 cm2 V-1 s-1,其特征载流子密度约为1011 cm-2。图1b显示了ρxx作为栅极诱导密度n的函数的典型行为。如果将相同的曲线重新绘制在对数刻度上(图1c),就会发现ρxx只在依赖于T的某个n以上才对栅极电压做出反应。这种行为通常被量化,如图1c,d所示,其中δn标志着导致ρxx明显变化的栅极诱导密度。在高T时,ρxx(n)的峰值变宽。在低温度下,由于残余电荷的不均匀性,δn通常在大约1010 cm-2时饱和。Dirac等离子体对小场的反应如图1e所示。作者可以看到,在NP的纵向电阻率与B2成比例地增加。然而,在这个T范围内,ρNP的变化是出乎意料的大。

图1:石墨烯狄拉克等离子体中的电子传输
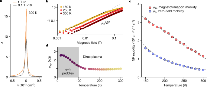
图2提供了e-h等离子体的进一步特征。它表明,在特征密度n≈nth时,Δ迅速减少,远离NP(图2a)。图2c显示了提取的μB作为T的函数。在室温下,迁移率超过100,000 cm2 V-1 s-1,并在150 K以下增长到300,000 cm2 V-1 s-1以上。

图 2:狄拉克等离子体的超高迁移率
将发现的μB与零场迁移率μ0进行比较是有意义的。图2d显示,从液氦温度到100K左右,ρNP随着T的增加而迅速下降,但是,随着狄拉克等离子体的建立,ρNP几乎变得与T无关,在150K以上有一个大约1kΩ的恒定值。
极端量子极限中的线性 MR
在高B中,狄拉克等离子体中的磁传输表现出深刻的变化,因此,在几特斯拉以上,ρNP(B)从抛物线演变为线性(图3)。这种线性MR的斜率在所有研究的装置中都是相似的(图3b,插图),而且几乎与T无关。抛物线和线性依赖之间的交叉是以曲线上出现的扁平部分为标志的,该部分在T低于200K时出现。

图 3:量化场中的线性 MR
小结
石墨烯中的狄拉克等离子体在低场和高场中都表现出在液氮温度以上观察到的最高的MRs之一。在低B中,只有采用自旋隧穿或使用四探针几何的铁磁设备才允许对磁场有更强的电子反应。与后者的现象相反,石墨烯的巨大MR源于其磁电阻率ρxx(B)。作者的观察也与表现出普朗克散射的奇怪金属的物理学有关。奇异金属显示出其电阻率著名的线性T依赖性,与作者的情况明显不同。然而,这种差异只是因为奇异金属有一个固定的载流子密度,而狄拉克等离子体中的载流子密度和有效质量随T增加,导致常数ρNP的出现。此外,奇异金属也表现出线性的MR,与T弱相关。
本文来自高分子科学前沿,本文观点不代表石墨烯网立场,转载请联系原作者。
