从甲烷和轻烃中高效分离氢用于清洁能源的应用,仍然是膜科学的一个技术挑战。在此,来自日本信州大学的KatsumiKaneko等研究者解决了上述这个问题,制备了一种石墨烯包裹的MFI(G-MFI)分子筛分膜,用于氢气与甲烷的超快速分离,其渗透率达到5.8×106,气体选择性为245,混合气体选择性为50。相关论文以题为“Ultrapermeable 2D-channeled graphene-wrapped zeolite molecular sieving membranes for hydrogen separation”发表在Science Advances上。
论文链接:https://www.science.org/doi/10.1126/sciadv.abl3521

H2是清洁能源发电和密集减排CO2的重要工业目标,主要通过天然气的蒸汽重整生产。从含H2、CH4和轻烃的炼厂流中节能回收H2的最终目标是持续减少二氧化碳排放。在能耗和减少CO2排放方面,膜分离法从炼厂气中回收H2比蒸馏法更有利。天然气的蒸汽重整过程,在大约1000k的高温下进行;因此,热稳定膜是节能过程的首选。
沸石膜具有良好的热稳定性和稳定性,在蒸汽重整工艺中具有广阔的应用前景。然而,孔隙小的沸石是一个挑战,因为它们的孔隙尺寸比CH4的分子尺寸大。MFI沸石孔径均为0.55 nm,是制备膜的合适材料,并已被广泛研究用于高效分离过程。最近的膜研究报道了利用剥落的MFI纳米片,制备无裂纹MFI膜的MFI沸石膜的进展。然而,MFI膜的孔径大于目标H2和CH4的分子尺寸;因此,H2/CH4的选择性限制在25。虽然层状沸石膜路线的发展,解决了沸石膜中的裂纹问题,但节能分离技术的建立需要一种新型的热稳定的沸石基膜,能够快速和选择性地分离H2和CH4或其他气体。
因此,开发优秀的沸石基膜用于H2辅助构建绿色技术是一个积极的挑战。MFI沸石通道的内表面改性降低了通道的有效尺寸,在300 K下H2/CH4选择性为74,H2渗透率为4.9×10−8 mol m−2 s−1 Pa−1;在723 K下H2/CO2选择性为25,H2渗透率为1.28×10−7 mol m−2 s−1 Pa−1。由沸石和其他多孔填料组成的混合基质膜(MMMs),已被探索为高性能膜。在300 K下,MFI – MMM在渗透率为 ~10-8 mol m−2 s−1 Pa−1时,H2/CH4选择性为180。然而,MMMs的性能仍然不足,开发高渗透性和并发高选择性的膜是至关重要的。与聚合物基膜相比,无机多孔膜可以达到上述性能。本文重点研究了沸石基膜作为一类无机膜的发展。
一种有前景的解决方案,包括使用一种由小沸石晶体制成的膜,膜上包裹着带有纳米尺度孔(纳米窗)的胶体石墨烯片。目标气体通过纳米窗口渗透并进入石墨烯和沸石晶体表面之间的界面空间。由于石墨烯结构中密集的碳原子,石墨烯-石墨烯之间的吸引力相互作用在每千克中最强。因此,石墨烯包裹的沸石颗粒,通过面对面和/或通过范德华相互作用的边共享接触相互粘附,通过简单的压缩方法提供无裂纹的膜。凹凸不平的沟槽结构的沸石晶面,提供了石墨烯-沸石界面空间,可根据气体的分子大小筛分气体。
如果纳米窗口足够大,可以容纳目标H2分子,且石墨烯与沸石表面之间的界面空间只适合H2分子,则H2可以选择性地穿透界面空间。通过这些石墨烯-沸石界面通道的渗透率,大于内部三维互联MFI通道的渗透率。
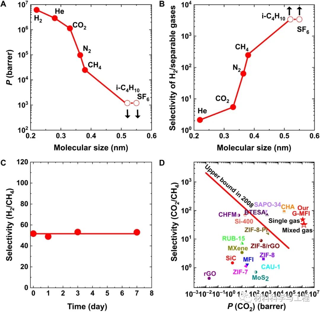
在此,研究者实验观察证实,MFI无裂纹膜的H2渗透率为3.6×10-7 mol m-2 s-1Pa-1, H2/CH4选择性为1.41,然而石墨烯-MFI界面通道化膜的渗透率为1.3×10-5mol m-2 s-1 Pa-1, H2/CH4的选择性为245。因此,包裹过程可以形成亚纳米级石墨烯-沸石界面通道,其尺寸小于本征沸石通道(MFI为0.55 nm),有利于节能超快分离。通过控制石墨烯包覆沸石颗粒的聚集结构,在膜中引入层次化孔结构,增强了膜的渗透性。沸石晶体尺寸越小,形成的通道越短;因此,界面空间的渗透率进一步增加。石墨烯包裹的MFI (G-MFI)膜的表观厚度达到数百微米。然而,具有较大晶间孔隙率的G-MFI膜具有较高的渗透性;石墨烯-MFI界面的有效渗透长度决定了渗透速率,与G-MFI膜的表观厚度相比,应该是非常小的。此外,石墨烯包裹的沸石膜提供了足够的热稳定性,因为从氧化石墨烯(GOs)中生成的胶体石墨烯在600 K时仍然稳定。
G-MFI膜的层次性孔隙结构使其具有快速的渗透性,为高效节能的工业气体分离提供了一条有前景的超快速分离氢/甲烷和二氧化碳/甲烷的途径。(文:水生)

图1 采用G-MFI分离H2/CH4的效率较高。

图2 G-MFI膜的孔隙率由N2在77k的吸附测定。

图3 G-MFI膜的气体分离性能。

图4 通过G-MFI晶体棒膜模型研究渗透机理。

图5 G-MFI的渗透率和选择性。
本文来自材料科学与工程,本文观点不代表石墨烯网立场,转载请联系原作者。
