成果简介
优化的石墨烯微观结构和受贻贝启发的化学相结合可能是实现高腐蚀抑制剂含量的可行策略。本文,清华大学机械工程系何永勇研究员团队在《Carbon》期刊发表名为“A smart healable anticorrosion coating with enhanced loading of benzotriazole enabled by ultra-highly exfoliated graphene and mussel-inspired chemistry”的论文,研究开发了一种用于可修复涂层的新方法,通过超高剥离石墨烯和PDA共吸附来增强抑制剂负载量(图1)。通过H2O2/KOH 催化剥离和进一步蚀刻残留 KOH的高效一锅法制备具有高SSA (1355m2 /g) 的超高剥离石墨烯。
由于高SSA和高吸附活性,这为抑制剂提供了更多的吸附位点,可以直接作为负载抑制剂的理想载体,而不是用纳米容器进行额外的修饰。PDA可以作为一种绿色缓蚀剂,通过简单的共吸附进一步促进 BTA 在石墨烯薄片上的吸附。由于其pH响应特性,PDA作为开关可以控制由腐蚀引起的pH变化触发的抑制剂的快速释放。与防水防污涂料相比,这种可修复涂料克服了基材保护的弊端,有效提高了基材的耐久性和防腐性能。由于超高剥离石墨烯的优异阻隔作用和BTA/PDA高负载量带来的双重可愈合效应,可愈合涂层的防腐性能得到显着提高。
图文导读

图1。PDA和BTA(PBG)改性的超高剥离石墨烯的合成示意图以及添加PBG(EPBG)的环氧树脂涂层的可修复性能示意图

图2。(a) (b)原始GO和PBG的TE图像;(c-f) GO、HEG-4、HEG-8和HEG-12的N2吸附-解吸等温线和孔径分布;(g) GO 和 HEG-n的BET SSA和孔隙率的比较;(h) HEG-n的XRD图谱。

图3。(a) HEG-12的SEM图像;(b) PBG 的 SEM 和 (c) TEM 图像;(d) HEG-12、BG、PBG、PBG-4和PBG-8的XPS光谱; (e-f) C1s 和 N 1s 光谱;(g) HEG-12、BG 和 PBG 的 FTIR 光谱;(h) HEG-12、BTA和PBG的DSC曲线;(i) HEG-12、BTA 和 PBG 的 TGA 曲线。

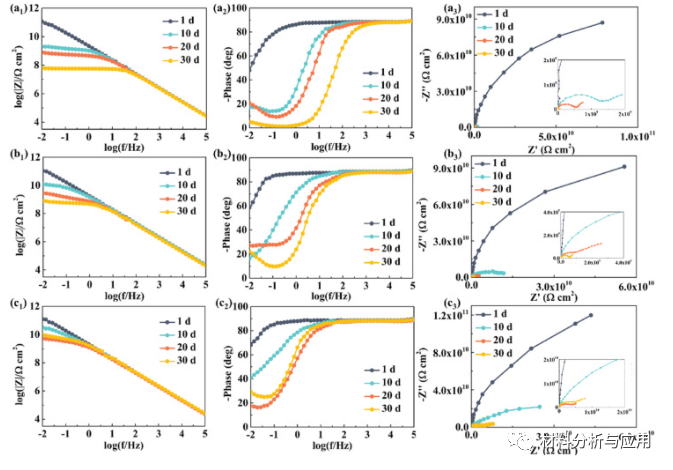
图4。(a) EP、(b) EPG 和 (c) EPBG 涂层在 3.5 wt% NaCl 溶液中浸泡不同时间后的 Bode 和 Nyquist 图。

图5。EIS 测量后钢表面在 (a) EP、(b) EPG 和 (c) EPBG 涂层下的光学和 SEM 图像;(d) 不同涂层下钢表面腐蚀产物的XRD图谱;(e) 不同涂层下钢表面腐蚀产物的拉曼光谱

图6。具有 EP、EPG 和 EPBG 涂层的钢在盐雾试验 240 小时后的光学图像。

图7 . EP、EPG、EPBG涂层防腐及自愈机理示意图。
小结
这项工作不仅展示了一种具有长期防腐性能的可修复涂层,而且还为可持续智能系统的高负载智能材料提供了有前途的设计。
文献:https://doi.org/10.1016/j.carbon.2021.11.048

本文来自材料分析与应用,本文观点不代表石墨烯网立场,转载请联系原作者。
