自2004年石墨烯发现以来,由于其独特的结构特征,展现出优异的电学和光学性能,因此在众多领域有着广泛的应用。但同时由于石墨烯本身无带隙,阻碍了其在半导体电子器件中的应用。因此打开石墨烯的带隙,对基于石墨烯纳米器件的开发和应用显得尤为重要。目前主要有两种打开其带隙的方法:一种是构建石墨烯纳米带,另一种则是在具有六边形蜂窝结构的石墨烯平面中引入缺陷结构。理论模型以及实验研究表明:缺陷的引入会使石墨烯的光学、电学以及磁性发生显著的改变。从能量角度而言,成对的五元环和七元环(5-7环,薁环,也被称作奥甘菊环)具有较高的热力学稳定性,因此常被当做一种稳定的缺陷结构引入到纳米石墨烯分子当中。奥甘菊环可以看作是萘的同分异构体(图1a),但这两个分子却在光电性质上表现出截然不同的性质。因此对合成具有精准缺陷(如5-7环)的纳米石墨烯以及对其物理性质和光化学性质的研究,有助于我们进一步理解纳米石墨烯中结构对其性能的影响。

图1. (a)奥甘菊环;(b)Stone-Wales 缺陷;(c)近期报道的具有5-7环的自由基分子;(d)此工作报道的具有7-5-7序列缺陷结构的纳米石墨烯分子。
香港大学刘俊治博士(点击查看介绍)课题组一直致力于纳米石墨烯结构的精准合成以及对其物化性质的详细研究,并取得了一系列研究进展(J. Am. Chem. Soc., 2020, 142, 18293–18298; J. Am. Chem. Soc., 2020, 142, 13565–13572; Angew. Chem. Int. Ed., 2020, 59, 5637–5642; Angew. Chem. Int. Ed., 2020, 59, 23386–23401)。近期,该课题组精准构建了具有7-5-7序列缺陷结构的稳定反芳香性分子,分别为化合物1、2和3(图1),并通过X射线单晶衍射证实了它们的分子结构。
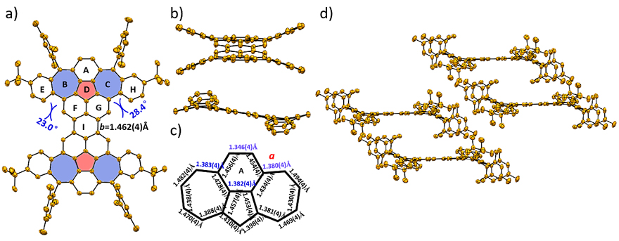
从单晶结构可以看出,化合物1呈现近乎平面的结构(图2),由于边缘大位阻的芳基取代基的存在,使1产生无有序的堆叠结构。而化合物2相较于1存在一个额外的五元环,其分子骨架表现出马鞍形的特征(图2),同时在其固态结构中也呈现出有序的分子堆叠(最小面间距为3.28 Å)。化合物3虽然可以看作是两个化合物1以“头对头”的方式结合,但其却呈现出与单独的化合物1截然不同的结构特征。如下图3所示,化合物3的分子骨架存在两个马鞍形的亚结构。
同时通过对三个化合物的键长分析发现:化合物1和3的环A表现出明显的单双键交替的特征,说明其共振结构中醌式结构的贡献较大,从而1和3表现出反芳香性的特征。然而在化合物2中,键长交替的现象并没有在环A中发现,这也使得作者猜想2可能会具有自由基的特点。通过DFT理论计算,确实,化合物2具有一定的自由基指数(y0=0.29, UHF法),但同时其较大的单重态-三重态能垒(ΔES-T = −15.1 kcal/mol)使得化合物2在基态时表现出闭壳、反芳香性的特征。

图2. 化合物1(a)和2(b)的单晶结构,侧视图和键长信息(c for 1, d for 2)以及堆积结构(e for 1, f for 2)。

图3. 化合物3(a)的单晶结构,侧视图和键长信息(b,c)以及堆积结构(d)。
最后,该团队对这三种稳定的反芳香性分子进行了详细的光化学和电化学表征以及相应的理论计算,进一步阐明了分子骨架中缺陷的引入对分子结构及其性质有着重大的影响。更重要的是,该工作为进一步合成具有缺陷的稳定的反芳香性(或自由基)分子提供了新的思路和参考。该工作近期发表在J. Am. Chem. Soc.上,文章第一作者为博士研究生费乙洋。
原文(扫描或长按二维码,识别后直达原文页面,或点此查看原文):

Defective Nanographenes Containing Seven-Five-Seven (7–5–7)-Membered Rings
Yiyang Fei, Yubin Fu, Xueqin Bai, Lili Du, Zichao Li, Hartmut Komber, Kam-Hung Low, Shengqiang Zhou, David Lee Phillips, Xinliang Feng, Junzhi Liu*
J. Am. Chem. Soc., 2021, DOI: 10.1021/jacs.0c12116
导师介绍
刘俊治
https://www.x-mol.com/university/faculty/188088
本文来自X-MOL,本文观点不代表石墨烯网立场,转载请联系原作者。
