相邻的两对五-七元环是石墨烯材料中Stone-Wales缺陷的关键结构,其对其电荷传输等具有影响显著。然而,石墨烯材料中的五-七元环缺陷难以精准构筑。纳米石墨烯是石墨烯材料的分子级片段,具有优异的光、电等性质,进一步与螺旋单元稠合后可得到结构精确的螺旋纳米石墨烯,可以获得手性光学响应。而若五-七元环引入到螺旋纳米石墨烯分子,是否能对其手性光学响应进行调控和优化仍鲜有相关报道。

图1 螺旋纳米石墨烯分子1-5的合成路线
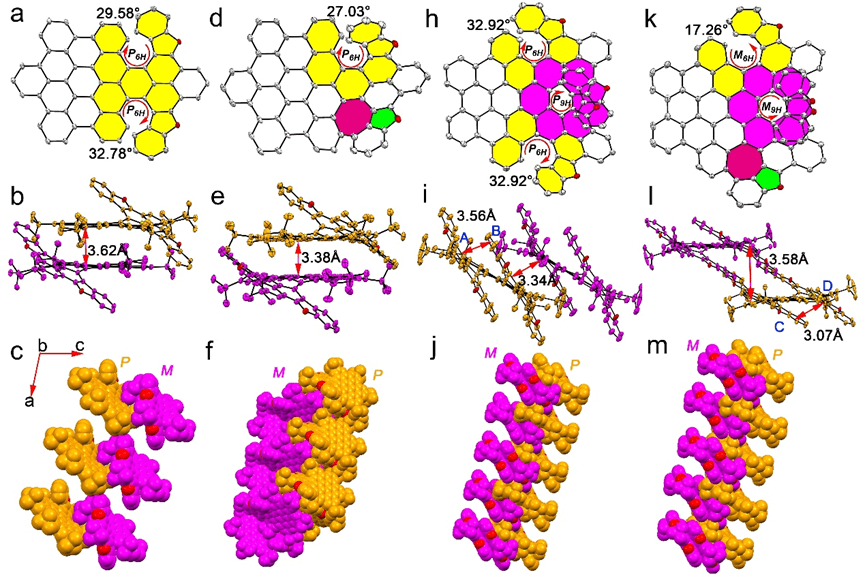
为此,厦门大学谭元植、香港大学刘俊治及深圳市第二人民医院转化医学研究院张斌等人合作,通过调控Scholl反应的反应时间,控制[6]螺烯逐步脱氢环化,实现了含有五-七元环的螺旋纳米石墨烯分子2,4和5的可控合成(图1),并通过质谱、核磁和单晶X射线衍射(图2)等手段精确表征了分子1-5的结构。

图2 螺旋纳米石墨烯分子1-4的单晶结构(a, d, h, k)分子1-4的晶体主视图;(b, e, i, l) 分子1-4的晶体俯视图;(c, f, j, m) 分子1-4晶体堆积图
随后,团队对分子1-5的光学和电化学性质进行了深入研究,发现随着五-七元环的形成,其吸收和发射光谱均发生明显红移,同时量子产率急剧下降,氧化电势也逐渐降低。理论计算表明,分子1-5均具有高度稳定的构型和优异的热稳定性,为其手性拆分及手性光学性质的研究提供了可能。分子1-5的圆二色谱(CD)和圆偏振发光光谱(CPL)均呈现出完美的镜像对称(图3),随着五-七元环的逐步引入,其发射不对称因子glum及CPL信号逐渐增大。

图3 螺旋纳米石墨烯分子1-5的CD(a, c)和CPL(b, d)谱图
综上,该工作通过逐步的[6]螺烯脱氢环化过程,实现了可控合成含有五-七元环螺旋纳米石墨烯,并且发现五-七元环的引入可有效的调控其电化学和光学性质,尤其能显著增强其CPL性能。该工作为含有五-七元环螺旋纳米石墨烯的设计和构筑提供了参考。
论文信息
Helical Nanographenes Bearing Pentagon-Heptagon Pairs by Stepwise Dehydrocyclization
Yang-Yang Ju, Huan Luo, Ze-Jia Li, Bing-Hui Zheng, Jiang-Feng Xing, Xuan-Wen Chen, Ling-Xi Huang, Prof. Dr. Guo-Hui Nie, Dr. Bin Zhang, Dr. Junzhi Liu, Prof. Dr. Yuan-Zhi Tan
Angewandte Chemie International Edition
DOI: 10.1002/anie.202402621
本文来自WileyChem,本文观点不代表石墨烯网立场,转载请联系原作者。
