论文信息:
Minggang Luo, Youssef Jeyar, Brahim Guizal, and Mauro Antezza.Near-field radiative heat transfer between a nanoparticle and a graphene grating,Phys. Rev. B 110, 075423(2024).
论文链接:https://doi.org/10.1103/PhysRevB.110.075423
研究背景
近年来,近场辐射传热(NFRHT)的研究受到理论研究和实际应用的双重推动,NFRHT的理论研究已经广泛地涵盖了各种几何构型,其中一些已经被开创性的实验研究证实。特别是光栅结构中高阶衍射通道的激发可以显著影响波动现象,探索光栅几何形状和石墨烯独特的电磁特性是否能在NFRHT中诱导出传统材料无法观察到的新行为是很有趣的。最近对两个完全相同且完全对齐的石墨烯光栅之间的NFRHT的研究表明,石墨烯片的排列打开了额外的能量传递通道。此外,扭转光栅对NFRHT的影响也有研究。值得注意的是,通常用于研究衬底支撑的石墨烯条之间NFRHT的有效介质理论将石墨烯光栅视为一个均匀的整体,因此无法解释横向位移效应。所以,需要一种更精确的数值方法来处理具有横向位移的结构的NFRHT。本文研究了正常和/或横向移动的纳米颗粒与涂有带状石墨烯光栅的平面熔融硅板之间的近场辐射传热。在这项研究中,我们开发并使用了一种散射矩阵方法,该方法来源于傅里叶模态方法和局部基函数的增强。我们发现,在平板上添加石墨烯涂层已经可以提高约85%的热流密度。我们表明,通过将石墨烯片涂层排列成光栅,热流密度进一步增加,这要归功于等离子体模式从圆形到双曲的拓扑转变,这允许更多的能量传递。横向位移影响了高k模的可达范围,从而也影响了热通量。通过在石墨烯光栅上方横向移动纳米粒子,我们可以在石墨烯光栅上方获得具有强化学势依赖性的最佳热流。对于固定的石墨烯光栅周期(D = 1µm)和不太大的正移(分离d < 800 nm),观察到两种不同类型的侧向位移效应(例如,增强和抑制)对传热的影响。随着分离d的进一步增加,横向位移效应变得不那么重要。我们发现横向位移效应对几何因子d/ D很敏感。提出了两种不同的渐近状态:(1)抑制状态(d/ D<0.85),其中侧移减少了传热;(2)中性状态(d/ D≥0.85),其中侧移的影响可以忽略不计。一般来说,我们可以说几何因子d/D≈0.85是横向位移效应的临界点。我们的预测对纳米/微尺度下的辐射传热和能量管理具有重要意义。
研究内容
在这项工作中,我们探究了横向位移对纳米颗粒和覆盖石墨烯光栅的平面熔融硅板之间的NFRHT的影响(见图1)。

图1.结构图。
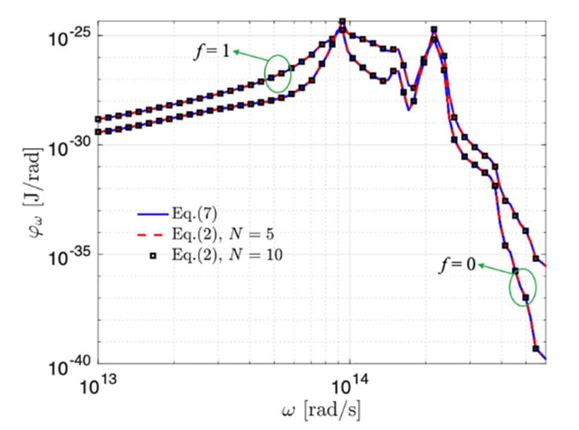
我们从一般涂层的简单极限情况开始,即(1)极限情况1:主体1是未涂层的裸露SiO2板(f = 0),以及(2)极限情况2:主体1是具有完整石墨烯片涂层的SiO2板(f = 1)。所考虑的两种极限情况的辐射热通量谱(HFS)如图2所示。两种不同的方法产生相同的结果,这意味着一般的方程(2)对极限情况f = 0和f = 1是准确的。此外,当对这些极限情况使用一般涉及光栅的方程(2)时,使用了两个截断阶N = 5和10,以表明HFS的收敛性已经达到。也就是说,对于极限情况,一个小的截断顺序就足以得到一个准确的结果。然而,由于在更一般的情况下(即f = 0和f = 1)散射细节复杂,预计其相对于截断阶具有不同的收敛行为。

图2.两种不同方法获得的辐射热通量谱的比较。
为了看到这一点,我们考虑了图3所示的四种情况下热流φ对截断阶N的依赖:(1)极限情况1(即f = 0),(2)极限情况2(即f = 1),(3)填充分数f = 0.5和化学势μ = 0.5 eV的一般情况,以及(4)填充分数f = 0.5和化学势μ = 0.2eV的另一种一般情况。分离距离为d = 100 nm,横向位移为xA = 0 nm,石墨烯光栅周期为D = 1µm。我们可以看到,对于这两种极限情况,截断阶数N = 10足以产生收敛结果,这与图2的观察结果相对应。然而,对于一般的石墨烯光栅涂层情况,正如预期的那样,收敛速度较慢。经过多次计算实验,我们发现截断阶数N = 40足以得到收敛的结果。

图3.1和2之间的辐射热通量与截断阶数N的关系。对于体1考虑了四种构型。

图4.两种不同涂层(a)石墨烯薄片涂层和(b)石墨烯光栅(f = 0.5)涂层的SiO2颗粒和SiO2衬底的能量传输系数。这里μ = 0.5eV, d = 100 nm, d = 1µm。虚线表示色散关系。
纳米粒子和石墨烯所涉及的有限平面板的构型,将石墨烯片排列后,导致表面等离子激元极性从圆形到双曲的拓扑转变。对于对应双曲模式的石墨烯光栅情况,有更多的可达高k模式,而对于石墨烯片结构(圆形结构),可达的波域相对较小。因此,与涂有石墨烯片的板相比,涂有石墨烯光栅的板产生了更大的能量转移。
当粒子从石墨烯条区域中心(0 < xA < a)移动到裸SiO2板区域中心(a < xA < D)时,可达模式区域(图中高亮区域)的形状基本保持不变,但可达模式的能量传输系数值发生了显著变化。对于xA = 500 nm的配置,高k模式的可访问范围是所考虑的三种配置中最大的。xA = 250 nm构型(粒子位于区域1中心)的高k模式可达范围远大于xA = 750 nm构型(粒子位于区域2中心)的高k模式可达范围。无论是否存在侧移,支撑的表面等离子激元极化子始终为双曲型。石墨烯片的光栅化带来了高k模式可达范围的拓扑转变,而横向位移将影响小颗粒和石墨烯光栅涂层平面结构的高k模式可达范围,这与观察到的两个位移相同的石墨烯光栅涂层平面结构的结构相似。

图5.辐射热通量与横向位移xA的关系。主体2为SiO2小颗粒。主体1考虑三个填充分数:(1)f = 0.3,(2) 0.5,(3) 0.7。单个石墨烯条的宽度表示为点线。这里d = 100 nm, d = 1µm, μ = 0.5eV。

图6.具有三种不同横向位移(a) xA = 250、(b) 500和(c) 750 nm的SiO2颗粒和石墨烯光栅涂层SiO2衬底的能量传输系数。这里f = 0.5,μ = 0.5 ev, d = 100 nm, d = 1µm。虚线表示色散关系。
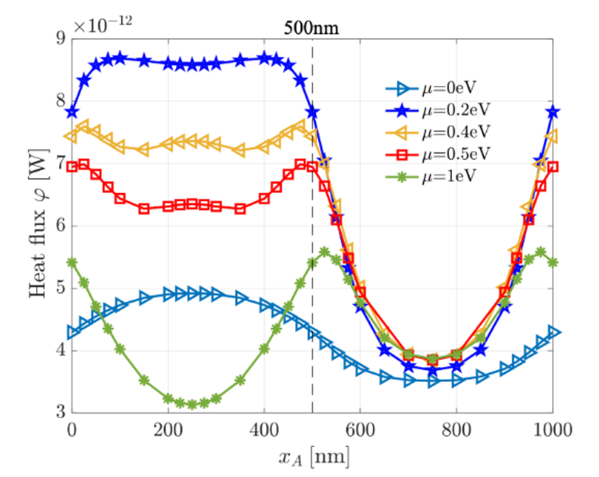
从图7中,我们可以看到热流φ (xA)对化学势μ参数的依赖。让我们考虑由值a分隔的两个区域,并分析它们中相对于μ的行为。当石墨烯条区域的横向位移xA固定时(0 < xA < a),当比较μ = 0 eV和μ = 0.2eV配置时,我们看到热流通量φ随着μ的增加而迅速增加。而当μ增大到0.4、0.5和1.0 eV时,热流通量φ逐渐减小。我们还注意到,当化学势μ ≥0.4 eV时,随着xA的增加,φ减小到谷值,然后又上升。值得注意的是,当化学势μ增加时,φ对横向位移xA的依赖性也发生了变化。在0.5 ~ 1.0 eV之间的μ组态下,谷深变化明显。此外,与μ = 1.0 eV相比,μ = 0.5 eV配置下的φ对横向位移xA的依赖性要复杂得多。

图7.之间的辐射热通量对横向位移xA的依赖关系。这里f = 0.5, D = 1µm, d= 100 nm,考虑了体1化学势μ = 0、0.2、0.4、0.5和1.0 eV的5种情况。虚线表示条带宽度a = fD = 500 nm对应的位置。

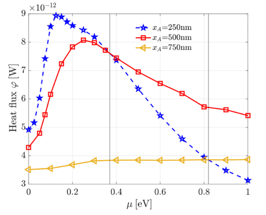
图8所示.辐射热通量与化学势μ的关系。这里f = 0.5, d = 100 nm,考虑了三种不同的横向位移(xA= 250、500和750 nm)。垂直线(μ = 0.37和0.82 eV)表示交叉点的位置。
为了理解在临界点μ≈0.37 eV附近的跃迁行为,我们在图9中给出了两种不同化学势(μ = 0.2eV和0.6eV)配置下的HFS。对于图9(a)中μ = 0.2 eV组态,在两个主峰之间,xA= 250 nm组态的曲线高于xA = 500 nm组态的曲线,这说明了xA= 250 nm组态的热通量高于xA = 500 nm组态的原因。然而,对于μ = 0.6 eV的结构,情况正好相反。此外,在整个角频率范围内,xA = 750 nm配置的曲线低于其他两种配置,这证实了图8的观察结果。

图9.两种不同化学势(a) μ = 0.2和(b)0.6 eV下的辐射热通量谱。这里f = 0.5, d = 100 nm,考虑了三种不同的横向位移(xA = 250、500和750 nm)。
结论与展望
我们利用FMM-LBF研究了纳米颗粒与涂有石墨烯光栅的有限厚度平面熔融硅板之间的正向位移和横向位移对NFRHT的影响。在平板上涂覆石墨烯片可使热流密度提高约85%。通过将石墨烯薄膜涂覆成光栅,热流密度将进一步增加约6%(例如,f = 0.5,μ = 0.5 ev, d = 100 nm, D= 1µm),这是由于可达模式的拓扑转变,从圆形模式到双曲模式,允许更多的能量传递。当纳米颗粒在一个周期内横向移动时,根据横向移动对热流密度的影响,我们观察到两个区域:(1)石墨烯带区域(热流密度减少14%,见图5中f = 0.3的配置)和(2)裸SiO2板区域(热流密度减少50%)。这两个区域的侧向移动引起的热通量变化在不同情况下是不同的。横向位移显著影响能量传输系数的值,但不影响高k模式可达区域的形状,从而影响热流密度,不像石墨烯片的光栅图案会带来高k模式可达范围的拓扑转变。一般来说,化学势对热流通量的影响显著,但每次横向位移对热流通量的依赖程度不同。当纳米粒子在前一区域横向移动时,我们可以通过调整化学势来获得最优(峰值)热流,其峰值位置随xA的变化而变化。当纳米粒子在第二区域横向移动时,化学依赖性变弱,热流趋于恒定。
对于固定的石墨烯光栅周期(D = 1µm)和不太大的法向位移(分离d< 800 nm),横向位移对传热的影响表现为增强和抑制两种类型。当进一步增加分离d时,横向位移效应变得不那么重要。我们还发现,对于固定的法向位移(d = 100 nm),当改变光栅周期时,热通量的侧向位移依赖是不同的。到目前为止,我们在最近的工作中已经研究了两种相同光栅结构构型下的横向位移对NFRHT的影响,以及两种不同结构(纳米颗粒和光栅)的构型。当它遇到不同的材料时,构型的散射细节会发生明显变化,变得更加复杂。了解不同材料在这种构型下的横向位移效应是很有趣的。
本文来自热辐射与微纳光子学,本文观点不代表石墨烯网立场,转载请联系原作者。
