背景介绍
电化学CO2还原反应(CO2RR)是一种将CO2转化为碳基燃料的新兴技术,能够实现人工碳循环,从而缓解能源危机和温室效应。甲酸(HCOOH)是CO2RR中最有价值的产品之一,可以作为储氢载体和燃料电池的化学燃料。然而,CO2的热力学稳定性和不可避免的析氢反应(HER)导致CO2RR生成HCOOH的选择性和能量利用率较低。因此,开发合适的电催化剂以实现高效的CO2RR生成HCOOH至关重要。许多材料已被研究作为CO2RR生成HCOOH的电催化剂,其中In2O3由于抑制HER过程而受到广泛的关注。然而,In2O3的低电导率不利于CO2RR过程中的电荷转移。同时,In2O3纳米颗粒在合成过程中易于团聚限制了活性位点的暴露,从而阻碍了电催化性能的进一步提高。还原氧化石墨烯(rGO)具有较大的比表面积和丰富的缺陷位点,能够有效避免金属氧化物纳米颗粒的团聚。因此,将In2O3纳米颗粒与rGO复合可以最大限度地暴露出活性位点,并且利用高导电性rGO和In2O3纳米颗粒的协同效应能够促进界面电荷转移,从而显著提高CO2RR生成HCOOH的性能。
成果简介
北京化工大学相国磊和金君素团队通过利用氧化石墨烯的模板效应,并采用InBDC作为热解合成In2O3@C的自牺牲模板,克服了In2O3纳米颗粒的低导电性和团聚问题。所得的In2O3@C/rGO-600材料具有均匀锚定在rGO载体上的In2O3@C纳米立方体,这显著增强了活性位点的暴露。导电的rGO网络将In2O3@C纳米立方体相互连接,有利于促进电催化过程中的电荷转移。热解过程中产生的氧空位,结合rGO的强供电子能力,增强了CO2的吸附和活化。因此,In2O3@C/rGO-600在˗0.7至-1.0 V(vs.RHE)的宽电位窗口内表现出超过94.0%的HCOOH法拉第效率(FE),并且在-0.9 V(vs.RHE)时达到最高值97.9%。该材料在−0.7 V(vs. RHE)表现出71.6%的优异阴极能量效率(EE)。此外,在H型电解池中,In2O3@C/rGO-600的HCOOH偏电流密度和产率在−1.1 V(vs. RHE)时分别高达28.6 mA·cm−2和532.7 µmol·mg-1·h-1。这项研究为制备具有多组分协同作用的金属氧化物纳米颗粒/rGO复合材料提供了新的指导,从而实现高效的CO2RR。
图文导读
![Nano Res.[催化]│相国磊、金君素:In₂O₃@C与石墨烯纳米复合材料增强电催化CO₂还原制甲酸](http://www.graphene.tv/wp-content/themes/justnews/themer/assets/images/lazy.png)
图1 不同催化剂的结构表征。(a) In2O3@C-600和In2O3@C/rGO-600的XRD谱图。In2O3@C/rGO-600的(b)SEM,(c)TEM和(d)粒径分布图。In2O3@C-600的(e) SEM,(f) TEM和(g)粒径分布图像。In2O3@C/rGO-600的(h) HRTEM和(i)元素映射图。
![Nano Res.[催化]│相国磊、金君素:In₂O₃@C与石墨烯纳米复合材料增强电催化CO₂还原制甲酸](http://www.graphene.tv/wp-content/themes/justnews/themer/assets/images/lazy.png)
图2 In2O3@C-600和In2O3@C/rGO-600的(a)In 3d XPS光谱, (b) O 1s XPS光谱和(c) EPR光谱。(d) GO,In2O3@C-600,rGO和In2O3@C/rGO-600的Raman光谱。In2O3@C-600和In2O3@C/rGO-600的(e)N2吸附/解吸等温线和(f)CO2吸附等温线。
In2O3@C/rGO-600由于其高结晶度而表现出立方相In2O3的典型衍射峰(图1(a))。然而,在In2O3@C/rGO-600中没有检测到明显的碳峰,表明碳以无定形的形式存在。图1(b)显示InBDC晶体在热解后转化为均匀锚定在rGO载体上的In2O3@C纳米立方体。图1(c)和1(d)进一步表明,在In2O3@C/rGO-600中,这些平均粒径为36 nm的In2O3@C纳米立方体均匀分布在rGO载体上。相比之下,In2O3@C-600表现出团聚结构和不均匀分布的In2O3@C纳米颗粒(图1(e)和1(f))。这些结果证实了rGO在促进In2O3@C均匀分布方面的作用。此外,In2O3@C/rGO-600中的In2O3@C纳米立方体的平均粒径(36 nm)比In2O3@C-600中的In2O3@C纳米颗粒(66 nm)更小(图1(d)和1(g))。这表明热解过程中GO的模板效应能够有效降低In2O3@C的粒径。HRTEM(图1(h))显示In2O3@C/rGO-600中的In2O3被无定形碳层包裹。图1(h)表明In2O3@C/rGO-600中存在0.29 nm的晶格条纹,对应于In2O3的(222)晶面。元素映射图显示C在In2O3@C/rGO-600中均匀分布,而In和O的分布与In2O3@C纳米立方体的分布相关(图1(i))。
与In2O3@C-600相比,In2O3@C/rGO-600的In 3d5/2峰发生了0.3 eV的负移(图2(a))。这归因于rGO强大的供电子能力,增加了In原子的电子密度。电子密度增加的In原子能够促进电子快速转移到CO2中,从而增强CO2的活化。EPR光谱(图2(c))表明,In2O3@C/rGO-600表现出比In2O3@C-600更高的信号强度,表明其氧空位浓度更高。In2O3@C/rGO-600的比表面积(152.3 m2·g−1)明显大于In2O3@C-600(37.2 m2·g−1),表明rGO载体能够增加催化剂的比表面积(图2(e))。因此,In2O3@C/rGO-600可以暴露出更多可接近的活性位点,从而提高CO2RR性能。
![Nano Res.[催化]│相国磊、金君素:In₂O₃@C与石墨烯纳米复合材料增强电催化CO₂还原制甲酸](http://www.graphene.tv/wp-content/themes/justnews/themer/assets/images/lazy.png)
图3 电催化性能表征。(a)rGO,In2O3@C-600和In2O3@C/rGO-600在N2和CO2饱和的0.5M KHCO3溶液中的LSV曲线。rGO,In2O3@C-600和In2O3@C/rGO-600的(b) HCOOH FE, (c) HCOOH偏电流密度,(d) HCOOH产率和(e) EE。(f)与文献中报道电催化剂的FE比较(插图:与报道催化剂的EE比较)。(g) In2O3@C/rGO-600在-0.9 V下的稳定性测试。稳定性测试后In2O3@C/rGO-600的表征:(h) SEM和(i) In 3d XPS光谱。
In2O3@C/rGO-600在−0.7至−1.0(vs.RHE)的范围内显示出超过94.0%的HCOOH FE,并在−0.9 V(vs. RHE)时达到最高值97.9%(图3(b))。在相同电位下,In2O3@C/rGO-600的HCOOH偏电流密度高于其他两种催化剂(图3(c))。在−1.1V(vs.RHE)时,In2O3@C/rGO-600的HCOOH偏电流密度为28.6 mA·cm−2,是In2O3@C-600(9.5 mA·cm−2)的3倍和rGO(0.3 mA·cm−2)的95倍。由于较好的HCOOH偏电流密度,In2O3@C/rGO-600在−1.1V(vs.RHE)的HCOOH产率为532.7 µmol·mg-1·h-1,远高于In2O3@C-600(176.4 µmol·mg-1·h-1)和rGO(4.7 µmol·mg-1·h-1)(图3(d))。此外,In2O3@C/rGO-600表现出高达71.6%的EE(图3(e))。In2O3@C/rGO-600能够在−0.9V(vs.RHE)稳定运行18 h,并且HCOOH FE始终高于94.0%(图3(g))。稳定性测试后对催化剂的结构和元素价态进行表征,从而揭示稳定性下降的原因。图3(h)显示In2O3@C仍然分布在rGO载体上,表明rGO在抑制纳米立方体团聚方面发挥了有效作用。然而,In2O3@C的立方体结构被重构为颗粒状,而且rGO表面出现了一些孔隙。同时,In2O3@C/rGO-600的In 3d光谱在443.5和451.1 eV处出现两个新峰,对应于In0(图3(i))。这意味着部分In2O3在CO2RR过程中被还原为In0。
![Nano Res.[催化]│相国磊、金君素:In₂O₃@C与石墨烯纳米复合材料增强电催化CO₂还原制甲酸](http://www.graphene.tv/wp-content/themes/justnews/themer/assets/images/lazy.png)
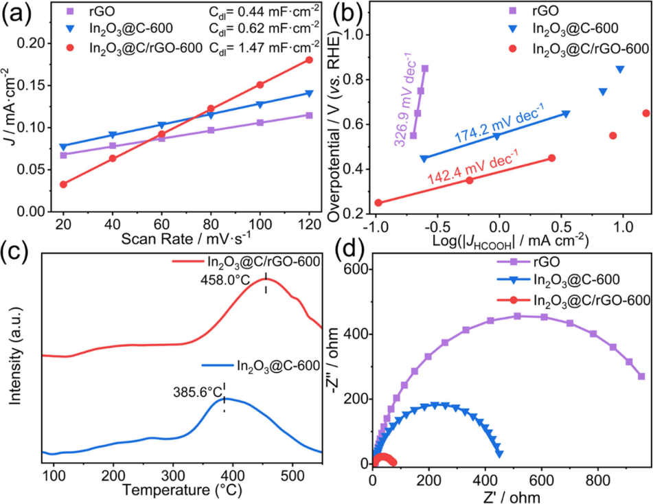
图4 CO2RR的机理分析。rGO, In2O3@C-600和In2O3@C/rGO-600的(a)Cdl和(b) Tafel斜率。(c) In2O3@C-600和In2O3@C/rGO-600的CO2-TPD图。(d)rGO,In2O3@C-600和In2O3@C/rGO-600的EIS图。
与In2O3@C-600(0.62 mF·cm−2)和rGO(0.44 mF·cm−2)相比,In2O3@C/rGO-600具有最高的Cdl(1.47 mF·cm−2),表明它能够最大限度的暴露出活性位点(图4(a))。这归因于rGO有效防止了In2O3@C纳米立方体的团聚。图4(b)显示In2O3@C/rGO-600的Tafel斜率为142.4 mV·dec−1,接近118 mV·dec−1,这意味着第一次电子转移形成CO2•—是其决速步骤。此外,In2O3@C/rGO-600的Tafel斜率最小,表明其形成CO2•—的反应动力学最快。CO2-TPD(图4(c))表明,与In2O3@C-600(385.6 °C)相比,In2O3@C/rGO-600显示出更高的CO2化学解吸温度,为458.0 °C。这主要归因于In2O3@C/rGO-600中的氧空位浓度较高,并且In2O3的d带中心随着更多的氧空位而上移,从而有利于CO2在催化剂表面的吸附。rGO的强供电子能力增强了In原子的电子密度,进而促进了吸附CO2的活化。先前的研究表明(Angew. Chem. Int. Ed. 2022, 61, e202200552),含有氧空位的In2O3能够有效抑制COOH*的合成,同时促进*OCHO的形成。In2O3@C/rGO-600在三种催化剂中表现出最小的电荷转移电阻(图4(d))。这主要归因于rGO在In2O3@C纳米立方体之间构建的导电网络,加快了反应过程中的电荷转移速率。
![Nano Res.[催化]│相国磊、金君素:In₂O₃@C与石墨烯纳米复合材料增强电催化CO₂还原制甲酸](http://www.graphene.tv/wp-content/themes/justnews/themer/assets/images/lazy.png)
图5 In2O3@C/rGO-500的(a) SEM,(b)TEM和(c)粒径分布图。In2O3@C/rGO-700的(d)SEM,(e)TEM和(f)粒径分布图。(g) In2O3@C/rGO-500,In2O3@C/rGO-600和In2O3@C/rGO-700的EPR光谱。(h) In2O3@C/rGO-600中CO2RR的过程示意图。
作者简介
相国磊博士,北京化工大学化学学院副教授。2014年博士毕业于清华大学化学系;2014-2017年在剑桥大学化学系开展博士后工作。2017年入职北京化工大学,开展纳米表面化学与催化等领域基础与应用领域独立研究工作,致力于探索纳米表界面化学电子结构原理的实验表征方法与理论模型。近几年研究成果发表在Nano Research, Nano Letters, Nature Communications, Chemical Science, Chem Comm, Inorganic Chemistry等期刊。
金君素博士,北京化工大学化学工程学院教授。2005年获得北京化工大学化学工程专业工学博士学位。现任教于北京化工大学化学工程学院,主要研究方向包括新型传质与分离技术、天然产物加工精制、气体分离与转化以及光、电催化等。主持和参与多项国家自然科学基金、省部级基金和教育部重点项目的研究工作。近年研究成果发表在Chemical Engineering Journal, Applied Energy, ACS Applied Materials & Interfaces,Separation and Purification Technology, Journal of Alloys and Compounds等期刊。
文章信息
Li W, Gao S, Yang C, et al. Enhanced electrocatalytic CO2 reduction to formic acid using nanocomposites of In2O3@C with graphene. Nano Research, 2024, https://doi.org/10.1007/s12274-024-6517-5.
本文来自NanoResearch,本文观点不代表石墨烯网立场,转载请联系原作者。
