成果简介
柔性和可拉伸的加热器因其在可穿戴热疗治疗肌肉痉挛、关节损伤和关节炎方面的巨大潜力而日益得到认可。然而,加工时间长、制造成本高、有毒化学品参与等问题是普及医疗用可拉伸加热器的障碍。本文,多伦多大学Xinyu Liu 、 Binbin Ying等研究人员在《Mater Horiz》期刊发表名为“Kirigami-enabled stretchable laser-induced graphene heaters for wearable thermotherapy”的论文,研究采用一步可定制的激光制造方法,提出了具有基里加米图案的高性价比可穿戴激光诱导石墨烯(LIG)加热器的设计,该加热器具有多模态拉伸性和与人体周围皮肤的保形贴合性。
首先,我们开发了具有三种不同 kirigami 图案的 LIG 加热器的制造工艺,通过平面外屈曲实现可靠的拉伸性。然后,通过调整激光参数,确认中等激光功率产生的LIG可以保持机械强度和电导率之间的平衡。通过对应力、电阻和温度曲线的实验测量以及有限元分析(FEA)来优化切削间距比,我们确定在加工精度范围内更大的切削间距比将带来更好的机械、电气和加热性能。本文优化的可拉伸加热器可以承受超过100%的单向应变或超过20%的多向应变,而不会对导电性和加热性能造成重大损失。身体测试和疲劳测试在实际场景中也证明了出色的鲁棒性。皮肤加热器具有使用安全、制造简单且可定制、易于与皮肤粘合和多向拉伸性等优点,有望取代传统的加热包/包裹进行热疗。
图文导读

图1、LIG加热器的设计和表征

图2、Kirigami 设计和优化

图3、加热器的机械和电气特性

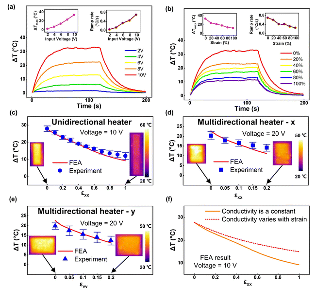
图4、电热表征

图5、在人体的不同部位对LIG加热器进行了测试
小结
一步激光生产工艺,将kirigami结构与LIG协同集成,为可拉伸电热加热器开辟了一条新途径,具有良好的安全性和可负担性,稳定的加热性能,快速直接制造。VHB 和 Ecoflex 作为覆盖材料的应用使加热器能够保形地粘附在有症状的区域并均匀地加热,同时为加热器和人体皮肤提供额外的保护。经过精心设计和优化,单向和多向加热器都可以在蒙皮变形范围内保持其导电性和先进的温度均匀性。
此外,这些加热器的轻巧特性和快速瞬态温度响应(<1 分钟)使它们在效率和便利性方面大大超过了传统的加热包/包裹。身体测试进一步验证了加热器在各种身体姿势和不同变形形式的热疗中的多功能性和有效性。1000次拉伸和放松循环也证明了加热器的良好耐用性。该加热器展示了为即时医疗用途定制原位制造的概念,可以成为医疗和日常生活中的强大工具,为未来的医疗保健解决方案提供多功能和强大的工具。
文献:https://doi.org/10.1039/D3MH01884A
本文来自材料分析与应用,本文观点不代表石墨烯网立场,转载请联系原作者。
