石墨烯等离激元可以在中红外至太赫兹的超宽光谱范围内获得高度束缚的光场模式,进而实现强烈的电场增强。这些优异的特性可用于增强光与物质之间的相互作用、构建超高灵敏度的片上光谱仪等。此外,大部分有机分子的指纹图谱普遍位于中红外光谱范围,且由于有机分子的尺寸(约10 nm)与中红外光波长(约10 μm)之间存在巨大的差别,使得中红外光与有机分子之间的相互作用非常微弱,导致有机分子的指纹图谱不容易被检测到。在这方面,石墨烯等离激元可用于增强光与有机分子之间的相互作用,从而放大有机分子的指纹信号。为了实现这个目的,首先需要确定材料和结构的参数,以确保石墨烯等离激元的共振区域能够覆盖目标分子的指纹图谱,从而起到放大有机分子指纹信号的目的。在先前的研究中(Science, 2015, 349, 165-168; Nature Communications, 2016, 7, 12334; Nature Nanotechnology, 2019, 14, 313–319; Science, 2020, 368, 1219-1223),人们普遍利用数值仿真软件(如:COMSOL Multiphysics、Lumerical FDTD)来计算石墨烯等离激元的共振特性。虽然数值仿真计算得到的结果与实验结果之间具备高度的一致性,但使用这种方法也伴随着一些问题,如:不论是在仿真计算时寻找最初的石墨烯等离激元共振峰还是随后通过改变材料和结构参数来调谐共振峰的位置,都需要耗费大量的计算时间和计算资源。因此,开发快速且低计算成本的方法来研究石墨烯等离激元的共振特性具有非常重要的科学意义和应用价值。
中山大学徐政基副教授课题组提出了一种能够支持石墨烯等离激元共振的石墨烯/电介质/金属混合结构(GDMHS),该结构由电介质隔层分开了金属衬底和石墨烯纳米带(图1a)。由于GDMHS所支持的石墨烯等离激元的色散关系(即入射光的角频率和等离激元的传播常数之间的函数关系)是线性的,因此又称之为声学石墨烯等离激元(AGP)。AGP是反对称的电磁模式,它的光场能量几乎都束缚于石墨烯纳米带和金属衬底之间的电介质隔层之中,因此具备更为显著的场增强能力。
基于经典的驻波理论,通过分析生成AGP共振的物理过程,推导了一个简化的解析公式来快速地预测AGP共振峰的位置。驻波理论认为:当AGP传播至石墨烯纳米带的边缘时将会被反射,同时产生一个反射相移φ。经历了一个来回的AGP回到出发点时满足相长干涉条件便能生成AGP共振,据此便能解出满足相长干涉条件的唯一共振波长(图1b)。此外,为了避免数学上循环迭代的求解,在此忽略反射相移φ。这虽然会导致结果的些许偏差(最大偏差不足5%),但能使物理过程更加清晰。通过求解这个解析公式,可以快速地定位出AGP的共振位置,从而大大缩减数值仿真时不停地寻找共振峰所需的时间,且能引导实验中对共振峰的追踪。

图1. (a) GDMHS的结构示意图。(b) GDMHS的横截面以及驻波形成过程的示意图。
图2a是通过远场电磁波所激发的吸收光谱。由于偶阶模式的净电偶极子的动量为零,导致它们无法与远场辐射相互作用,因此无法被远场电磁波所激发。此外,当入射光的入射角发生变化时并不影响共振峰的位置,这与驻波理论是一致的。图2a中向下的虚线箭头是使用解析公式求解的共振峰位置,它仅仅稍微地小于数值仿真计算的共振位置(这是由于忽略了反射相移所导致的)。图2b是第1阶和第3阶共振模式的电场分布。可以发现AGP的光场能量几乎都束缚于石墨烯纳米带和金属衬底之间的电介质隔层之中。此外,图2b中的电荷分布表明AGP是反对称的模式。石墨烯纳米带和金属衬底之间存在相互吸引的库仑相互作用,因此当光场束缚和增强更加猛烈时,AGP的共振波长将往长波方向漂移。

图2. (a) 通过远场电磁波激发的GDMHS的吸收光谱。(b) 第1阶和第3阶共振模式的电场分布和电荷分布。
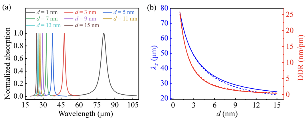
图3a是通过远场电磁波所激发的第1阶共振模式的吸收光谱。当电介质隔层的厚度减小时,石墨烯纳米带和金属衬底之间的库仑吸引力变大,光场束缚和增强更加猛烈,导致AGP的共振波长往长波方向漂移。图3b中的蓝色实线代表由数值仿真计算的第1阶共振波长随电介质隔层厚度的变化关系,蓝色虚线代表由解析公式计算的第1阶共振波长随电介质隔层厚度的变化关系。由于解析计算时忽略了反射相移,导致解析结果略小于仿真结果(最大偏差不足5%)。

图3. (a) 通过远场电磁波激发的第1阶共振模式的吸收光谱。(b) 第1阶共振波长随电介质隔层厚度的变化关系。
这份工作具有以下意义:
(1)实验和数值仿真都无法阐明生成AGP共振的物理过程,因此无法揭示AGP共振的物理规律。解析公式是基于清晰的物理过程所推导的,因此能够揭示结构和材料参数变化时AGP共振的漂移趋势。
(2)求解解析公式可以快速地定位出AGP的共振位置,从而能够大大缩减今后在设计此类结构时所需的数值仿真时间,而且能够指导实验中对共振峰的追踪。
该项研究以“Understanding and probing of sub-femtometer resolutions utilizing acoustic plasmon resonances in graphene-dielectric-metal hybrid-structures”为题发表在光学国际知名期刊Optics & Laser Technology(JCR Q1,IF 4.939)上。文章的第一作者是中山大学2021级博士研究生吴志勇,通讯作者为徐政基副教授。中山大学微电子科学与技术学院为唯一完成单位。
这份工作得到了国家自然科学基金(62105376)、广东省重大人才工程项目(2021ZT09X070; 2021QN02X488)和中山大学中央高校基本科研业务费(青年团队)(22qntd1501)的支持。
全文链接:
https://www.sciencedirect.com/science/article/pii/S0030399223001986?dgcid=coauthor
本文来自中山大学微电子科学与技术学院,本文观点不代表石墨烯网立场,转载请联系原作者。
