背景介绍
传统电极由于电导率低、成本高、不可穿戴和缺乏柔性等缺点,已不能满足未来电极更广泛的低成本和便携性等要求。因此,随着健康监测和即时诊断的需求不断增长,具有成本效益和可穿戴的电极能够实现快速和多功能的分子检测变得越来越重要。由于传统电极的局限性,人们一直致力于纸质电化学电极的制备,以研究其在现场测试中的潜在应用。早期的工作,通过丝网印刷技术制备碳基工作电极,实现了葡萄糖和乳酸的定量检测,这是目前最常用的在各种基底上制备碳电极的方法。然而,丝网印刷碳电极的导电性仍然很差。为了提高这些电极的质量和可及性,往往需要进一步沉积贵金属纳米颗粒,这不仅提高了成本,而且使制造过程复杂化。因此,快速制备高导电纸基电极是促进纸基器件快速发展的关键。
成果简介
本研究制备了具有超高电导率的石墨烯组装薄膜,并通过简便和高度可控的激光雕刻方法定制了三电极系统。石墨烯因其优异的物理化学性质被认为是理想的电极,得益于其超高的电导率(5.65 ×105 S m-1),该三电极系统可作为直接检测多巴胺(DA),以及无需进一步金属沉积的酶基检测葡萄糖的多功能电极。DA和葡萄糖的动态范围分别为1-200 μM和0.5-8.0 mM,检测限分别为0.6 μM和0.41 mM。总的来说,石墨烯薄膜的超高导电率,易于改性,优异的力学性能以及易于量产等特点,使其具有优异的目标检测能力,不仅为各种电化学研究提供了取代传统电极的明显潜力,而且还为便携式和高性能电化学可穿戴医疗设备的开发提供了潜力。
图文导读
![Nano Res.[碳]│武汉理工大学何大平教授课题组:多功能石墨烯电极用于检测多巴胺和葡萄糖](http://www.graphene.tv/wp-content/themes/justnews/themer/assets/images/lazy.png)
图1石墨烯组装膜(GF)的制备和表征。(a) GF的高温退火和轧制压缩工艺。(b) 三维超景深显微系统拍摄的GF表面照片。(c) GF的截面SEM图像。(d) GF表面SEM图像。(e)石墨烯纳米片的TEM图像(插图:石墨烯纳米片的HRTEM图像)。(f)制备好的GF折叠成船(ⅰ)和沿着玻璃棒卷曲(ⅱ)的数字照片。(g) GF的XRD谱图(插图:GF的拉曼光谱)。
![Nano Res.[碳]│武汉理工大学何大平教授课题组:多功能石墨烯电极用于检测多巴胺和葡萄糖](http://www.graphene.tv/wp-content/themes/justnews/themer/assets/images/lazy.png)
图2基于GF的三电极系统的制作和测量装置。(a)用于制造基于GF的3电极系统的GF激光雕刻工艺示意图。(b)在PET衬底上制备好的电极阵列的数字照片。(c)便携式电化学检测用可穿戴电极示意图。
![Nano Res.[碳]│武汉理工大学何大平教授课题组:多功能石墨烯电极用于检测多巴胺和葡萄糖](http://www.graphene.tv/wp-content/themes/justnews/themer/assets/images/lazy.png)
图3 5 mM K3[Fe(CN)6]/K4[Fe(CN)6]和0.1 M KCl中GF基电极的电化学性能(a)在不同扫描速率下(a-k: 0.05, 0.75, 0.1, 0.15, 0.2, 0.25, 0.3, 0.35, 0.4, 0.45和0.5 V s−1)进行循环伏安测量。(b)峰值电流与扫描速率平方根的校准曲线。黑色和红色点分别表示阳极和阴极峰值电流。(c)在0.1 V s−1的扫描速率下记录10个循环的CV。(d)不同时间GF基电极的稳定性测试。
![Nano Res.[碳]│武汉理工大学何大平教授课题组:多功能石墨烯电极用于检测多巴胺和葡萄糖](http://www.graphene.tv/wp-content/themes/justnews/themer/assets/images/lazy.png)
图4 GF基电极在50 μM DA和0.01 M PBS中的电化学性能。(a)在不同扫描速率下(a-k:0.05, 0.75,0.1,0.15,0.2,0.25,0.3,0.35,0.4,0.45和0.5 V s−1)进行循环伏安测量。(b)峰值电流与扫描速率平方根的校准曲线。黑色和红色点分别表示阳极和阴极峰值电流。(c) GF基电极与玻碳电极的CV曲线(附图:带等效电路的GF基电极与玻碳电极的Nyquist图)。(d) GF基电极与玻碳电极电导率的比较。
![Nano Res.[碳]│武汉理工大学何大平教授课题组:多功能石墨烯电极用于检测多巴胺和葡萄糖](http://www.graphene.tv/wp-content/themes/justnews/themer/assets/images/lazy.png)
图5基于GF电极的DA检测。(a)使用基于GF的电极测量不同浓度DA时的DPV曲线(插图:低浓度DA时的DPV曲线)。(b)基于GF的电极峰值电流与DA浓度之间的校准曲线。(c) GF基电极弯曲和扭曲变形对DA电化学响应的影响。(d)利用GF基电极评估对于DA的选择性。
![Nano Res.[碳]│武汉理工大学何大平教授课题组:多功能石墨烯电极用于检测多巴胺和葡萄糖](http://www.graphene.tv/wp-content/themes/justnews/themer/assets/images/lazy.png)
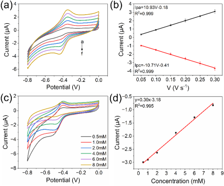
图6 Nafion/GOx/GF电极葡萄糖检测。(a)在0.05,0.10,0.15,0.20,0.25和0.30 V·s−1扫描速率下,Nafion/GOx/GF电极在0.01 M N2饱和PBS缓冲液中的循环伏安图。(b)用拟合的线性回归曲线绘制峰值电流作为扫描速率的函数。黑色和红色点分别表示阳极和阴极峰值电流。(c)不同葡萄糖浓度下,Nafion/GOx/GF电极在O2饱和PBS缓冲液中的CV曲线。(d) Nafion/GOx/GF电极阴极峰值电流与葡萄糖浓度之间的校准曲线。
作者简介
何大平,武汉理工大学理学院副院长,教授、博士生导师,同时出任武汉汉烯科技有限公司董事长,湖北省宏观石墨烯技术专业型研究所所长。主要从事功能化石墨烯材料的制备与应用,尤其是石墨烯材料的合成与结构调控及其在热管理、新能源设备、传感器及射频微波等交叉领域应用,依托所建立的相关产学研配套平台成功推动多项成果转化落地,与多家知名企业形成深度合作。共申请国家发明专利30余项,已授权10余项,以第一作者、通讯作者在Nature Communications, AdvancedMaterials, Angewandte Chemie, ACS Nano, Advanced Functional Materials等期刊发表高水平论文90余篇。主持承担科技部重点研发计划专项课题等多项课题。个人获“英国皇家学会牛顿学者”、“湖北省楚天学子”、及“武汉英才”(创业类)等多项荣誉,带领团队获“全国工人先锋号”等荣誉。
课题组链接:http://wlsys.whut.edu.cn/work/index.html.
文章信息
Ji X, Zhao X, Zhang Z, et al. Scalable fabrication of graphene-assembled multifunctional electrode with efficient electrochemical detection of dopamine and glucose. Nano Research, 2023, https://doi.org/10.1007/s12274-023-5459-7.
本文来自NanoResearch,本文观点不代表石墨烯网立场,转载请联系原作者。
