
【论文链接】https://doi.org/10.1016/j.jece.2022.109234
【作者单位】圣彼得堡国立大学
【论文摘要】
锂离子电池产量的增加最终会导致有毒废物的产生。如今,废旧锂离子电池的回收利用变得极为重要,正极材料的回收也备受关注。石墨回收由于经济效益低、材料清洗成本高、循环稳定性低等问题而受到较少关注。事实上,采用低成本技术再生石墨对于解决废石墨的回收利用和环境污染问题具有重要意义。本文介绍了一种使用低成本等离子溶液处理(小于 28 kWh⋅kggraphite−1)的石墨回收变体,从而产生一种电容性强的材料。
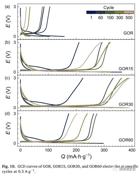
基于再生石墨的电池在0.3 A⋅g−1下循环500次,具有出色的稳定性和高容量 (392 mAh⋅g−1),这大于石墨的理论容量,这是由于形成了来自表面石墨层的氧化石墨烯。处理时间不影响所得石墨的晶面间距。长循环显示电荷曲线的形状随着石墨烯分数的增加而变化。对于所有样品,还评估了动力学特性:扩散系数、SEI 电阻和电荷转移电阻对电势和嵌入速率常数的依赖性。

【实验方法】
标准样品的制备(前处理):
为了确定加工阳极碳材料的方法的效率,有必要对碳材料的电化学特性进行评估和表征。在运行过程中,电活性颗粒被电解液分解产物覆盖,里面含有嵌入的锂。因此,加工的第一阶段是将电极浸泡在蒸馏水中以去除可溶性成分。
电池在充气手套箱中打开,并将石墨负极和含氧化物阴极分开。用无水碳酸二乙酯清洗阳极,在室温下真空干燥一天。可以看到,电极上覆盖着各种杂质,并且有金色的区域,这表明石墨中存在嵌锂(图2a)。此示例被命名为GOR0。当将干燥的阳极放置在装有50毫升蒸馏水的容器中时,观察到大量的气体生成和液体起泡。继续浸泡电极,直到反应结束10min。
然后拔掉铜电流引线。可以看出,碳涂层几乎完全分散(图2 b)。样品离心后,用50ml的水量洗3次,直到pH为中性。将生成的沉淀物在80℃真空下干燥5h。
活性材料制备:
等离子体辅助电解是在基于三颈烧瓶的定制装置中进行的。电解质 (100 ml) 由 5% H2O2水溶液组成。在搅拌下将参考石墨粉添加到溶液中。钨丝(1 毫米直径)用作阴极和阳极。使用硅胶隔片调整电极的位置。将阴极浸入溶液中,将阳极放置在距电解质表面 5 mm 且垂直于电解质表面的位置。微等离子体在阳极端在真空中被点燃,并由正偏压直流电源维持。在实验过程中,微等离子体撞击电解质的 0.5 cm2表面。恒定放电电流为 50 mA,电压为500-600 V。电解在恒定搅拌下持续 15、30 和 60 分钟。将最终产物沉淀、洗涤并在90℃下真空干燥 24 小时。未经等离子处理的石墨粉标记为 GOR,处理时间为 15、30 和 60 分钟的样品标记为 GOR15、GOR 30 和 GOR60。
电极制备:
将获得的粉末分别与炭黑“Super P”和 PVDF 粘合剂以 90:5:5 的重量比在 N-甲基吡咯烷酮。通过刮刀将所得粘性浆料浇铸到铜箔(MTI,中国)上,间隙为 100 µm,产生约 2 mg•cm-2活性材料负载。电极在90 ℃下真空干燥24小时并进行辊压。
【图文摘取】















【主要结论】
用蒸馏水清洗后,废电池上的铜箔和石墨涂层成功分离。嵌入的锂与水的反应导致大量放气和涂层与铜的分离。在过氧化氢溶液中进行简单且低能耗的等离子体电化学处理,从电解质分解产物中纯化和改性获得的石墨粉。
其结果是石墨与氧化石墨烯的复合材料,由石墨的上层形成,具有优异的电化学特性:500次循环的稳定容量为392 mAh⋅g−1,充放电率高。获得了所有样品的扩散系数对电位的依赖性,其范围为10–9 – 10–10 cm2⋅s−1。随着处理时间的增加,过程开始时嵌入和脱嵌的表观速率常数(peak A)增加数倍。
因此,可以说,通过低成本等离子体溶液处理所提出的石墨回收变体对于进一步阐述和潜在实施都是有希望的。
本文来自碳碳碳友会,本文观点不代表石墨烯网立场,转载请联系原作者。
