目前没有氧化石墨烯分析的行业标准,但是William Blythe Ltd选择了在氧化石墨烯社区中享有盛誉的分析技术来表征其材料。William Blythe的氧化石墨烯研究的明确意图是对其氧化石墨烯材料进行进一步分析,其结果将随着时间的推移添加到此页面。新增内容将通过GOgraphene博客进行交流。
如果您对下面显示的分析有任何疑问,或者对此处未显示的分析技术感兴趣,请与我们联系。
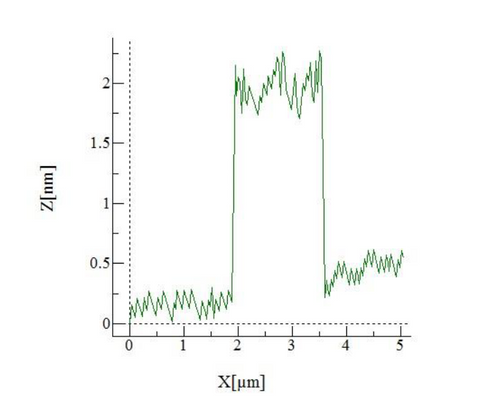
原子力显微镜(原子力显微镜)
AFM分析允许分析人员测量氧化石墨烯片的横向尺寸以及片材深度。片材深度表示每片中氧化石墨烯的层数。
通过将10 mg/mL水性氧化石墨烯分散液样品稀释至1 ppm分散液来收集结果。


测量的横向尺寸是可变的,大多数片材显示至少一个大于5微米的横向尺寸。
记录的薄片深度<2 nm。对于单个氧化石墨烯片,预期的片材深度为1nm,表明这里分析的氧化石墨烯不超过2片高。
ICP-OES(电感耦合等离子体 – 光学发射光谱)
通过ICP-OES进行分析可以定量样品中所含的痕量金属杂质。
威廉·布莱斯制造的氧化石墨烯具有痕量金属含量<0.1%。
拉曼光谱
拉曼光谱表明,William Blythe的氧化石墨烯被完全氧化,ID/IG比约为1,这对于氧化石墨烯来说是相当典型的。通过将D和G峰的面积与硅衬底峰的面积(约950 cm-1)进行比较,可以估计存在的层数。与SEM图像耦合并应用假色,已经可以说明存在大量单层氧化石墨烯。虽然存在一些2层和3+层材料,但基于片状形状和旋涂的性质,认为这些区域更有可能是片材重叠而不是多层氧化石墨烯。


扫描电镜(扫描电子显微镜)
进行SEM以检查氧化石墨烯片的横向尺寸以及观察是否存在杂质。
下面显示的结果是通过将10 mg/mL水性氧化石墨烯分散液样品稀释至0.00025%,然后在Si晶片上烘箱干燥而获得的

SEM图像,展示了横向尺寸超过5微米的片材尺寸,可以在通过GOgraphene网上商店销售的氧化石墨烯产品中使用。这与AFM分析获得的数据一致。
小白点表示存在少量金属杂质,这已通过ICP-OES定量,所有1%的水性氧化石墨烯分散体的痕量金属含量均小于0.1%。
TGA(热重分析)
TGA用于确定材料在什么温度下分解。质量的多次下降表明复杂的分解过程。

上述TGA是使用氧化石墨烯片在空气中进行的,它显示了三个分解阶段。虽然初始分解是在低温下进行的,但地块在大约 180 C 和 400 C 处的陡峭区域说明了主要的分解步骤。到600°C时,几乎没有质量残留。
XPS(X射线光电子能谱)
XPS分析是一种用于确定样品表面成分的分析技术。

上面显示的XPS分析是在冻干氧化石墨烯粉末上进行的。然后将氧和碳峰转换为百分比,该百分比已用于设置当前的氧化石墨烯组成规格。
傅里叶变换红外衰减全反射率(傅里叶变换红外衰减全反射)
FTIR光谱是一种用于通过吸收红外辐射来显示样品中化学键的技术。

| 波数 | 可能的键识别 |
| 3408.57 | O-H |
| 2976.59 | 脂肪族 C-H |
| 1727.91 | C=O 羧基振动 |
| 1627.63 | C=C |
| 1388.5 | C-O |
| 1255.43 | C-O |
| 1110.8 | C-O |
TIR分析是在我们的冻干氧化石墨烯粉末上进行的,显示了附着在氧化石墨烯片上的基团的典型键合。
请注意,本页显示的所有分析仅供说明之用。结果来自通过GOgraphene网上商店生产销售的典型批次氧化石墨烯,预计会出现一些批次之间的差异。
本文来自William Blythe Limited,本文观点不代表石墨烯网立场,转载请联系原作者。
