通过实验表征和第一性原理计算,考虑官能团、碳纳米管(CNT)的手性和CNT与氧化石墨烯(GO)的接触面积的影响,研究了CNTs与GO之间的相互作用。结果表明,氧化石墨烯可以有效地改善碳纳米管的分散性。氧化石墨烯浓度越高,碳纳米管的分散性越好。环氧基是首选官能团,Eint值最高,其次是羟基。C p-O p 轨道之间的杂化形成离子键是增强CNT与环氧基团之间粘附力的主要相互作用。对于羟基和羧基,碳纳米管与官能团之间的相互作用归因于C-H共价键。GO对ac-CNT的分散作用比zz-CNT更明显。与官能团相比,氧化石墨烯与碳纳米管的接触面积对相互作用的影响更为显著。增加接触面积有利于改善碳纳米管与氧化石墨烯的相互作用。

图1. 不同浓度比例的CNTs/GO混合溶液的显微照片((a) CNTs/GO=1:0;(b) CNTs/GO = 1:1;(c) CNTs/GO = 1:5;(d)CNTs/GO = 1:10)。

图2. 不同浓度比例的CNTs/GO混合溶液的微观形貌((a) CNTs/GO=1:0;(b) CNTs/GO = 1:1;(c) CNTs/GO = 1:5;(d)CNTs/GO = 1:10)。

图3. 不同氧化度的GO的(a) XRD、(b) FTIR和(c)拉曼光谱。

图4. 不同氧化度的氧化石墨烯的C1s XPS光谱。

图5. CNTs和GO混合溶液的光学显微结构。(a) GO-1, (b) GO-2和(c) GO-3。

图6. 具有不同官能团的初始伪AB-型堆积结构。(a) ac-CNT/GO-COOH, (b) ac-CNT/GO-OH, (c) ac-CNT/GO-O 。

图7. CNT与GO交互前后的DOS。

图8. CNT手性不同时CNTs -GO复合物弛豫后的PDOS。(a)ac-CNT / GO-COOH, (b) ac-CNT /GO-OH,(c) ac-CNT /GO-O,(d) zz-CNT / GO-COOH (e) zz-CNT/GO-OH,(f) zz-CNT/GO-O。

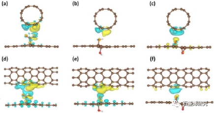
图9. CNT与GO与不同官能团相互作用的电子密度差。(a)ac-CNT / GO-COOH, (b) ac-CNT /GO-OH,(c) ac-CNT /GO-O,(d) zz-CNT / GO-COOH (e) zz-CNT/GO-OH,(f) zz-CNT/GO-O。

图10. 不同曲率时ac-CNT与GO之间的初始伪AB-型堆积结构。(a) 0 nm-1,(b) 0.25 nm-1,(c) 0.37 nm-1。

图11. 不同曲率时ac-CNT与GO之间相互作用的电子密度差。(a) 0 nm-1,(b) 0.25 nm-1,(c) 0.37 nm-1。
相关研究成果由重庆大学航空航天学院Youzhi Gao等人于2022年发表在Surfaces and Interfaces (https://doi.org/10.1016/j.surfin.2022.101836)上。原文:Experimental and first-principles study of the interactions between graphene oxide and carbon nanotube。
本文来自石墨烯研究,本文观点不代表石墨烯网立场,转载请联系原作者。
