本文要点:
- 通过滴铸和低温干燥工艺来合成并入有柔性H3PO4的PI /PVA复合膜。
- 在激光直接写入过程中,实现了同步原位P掺杂和H3PO4激活。
- P掺杂多孔石墨烯具有更高的孔隙率和更好的亲水性。
- 优化的P掺杂MSC表现出55.5mFcm -2的优异面积电容,显着提高电化学性能。
1、成果简介
碳电极的杂原子修饰是提高其电化学性能的有效途径。本文,重庆大学Yifan Rao(第一作者)与 陈显平教授(通讯作者)在《Carbon》期刊发表名为“One-step Laser Fabrication of Phosphorus-doped Porous Graphene Electrodes for High-performance Flexible Microsupercapacitor”的论文,研究通过激光直写的方法,从柔性H3PO4掺入聚酰亚胺(PI)/聚乙烯醇(PVA)复合膜制备磷掺杂(P掺杂)三维多孔石墨烯电极。
得益于H3PO4引起的同步P掺杂和激活,最优的P掺杂多孔石墨烯基微型超级电容器(MSC)呈现出令人印象深刻的55.5 mF cm -2的表面积电容。良好的长期可循环性(10000次循环后具有约85%的电容保持率),出色的机械灵活性以及出色的串联和并联模块化集成能力。此外,还进行了密度泛函理论(DFT)计算,以证明P掺杂可以增强对碳表面上电解质离子的亲和力,从而改善电化学性能。特别地,由于PVA的高度亲水性和良好的成膜性,其他掺杂剂也可以很好地溶解在PI / PVA浆料中以合成掺有掺杂剂的PI / PVA复合膜。因此,该方法提供了方便且潜在的方法来制备自立式杂原子掺杂的多孔石墨烯电极,其在各种柔性/可穿戴电子设备中具有广阔的应用前景。
2、图文导读

图1。(a)制作P掺杂电极的示意图。(bd)PI-P20胶片的照片。(e)PI-P20图案胶片的照片。

图2。LIG-P x的形态表征。

图3。拉曼光谱与XRD图

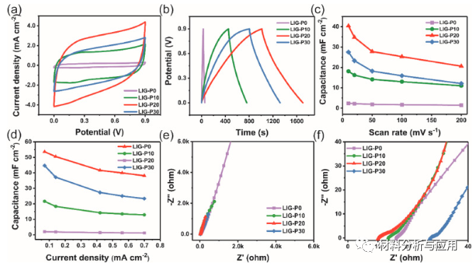
图4、(a)LIG-P x MSC在100 mV s -1的扫描速率下的CV曲线。(b)在电流密度为0.07 mA cm -2的情况下,LIG-P x MSC的GCD曲线。(c)LIG-P x MSC在10、20、50、100、200 mV s -1的不同扫描速率下的面电容。(d)在0.07、0.14、0.42、0.56和0.70 mA cm -2的不同电流密度下,LIG-P x MSC的面电容。(e)奈奎斯特图和(f)LIG-P x MSC的奈奎斯特图。

图5。从1到3个设备分别以(a)串联和(b)以100 mV s -1并联的LIG-P20 MSC的CV图。从1到3个设备的LIG-P20 MSC的GCD曲线分别以(c)串联和(d)以0.14 mA cm -2并联。(e)由三个串联的LIG-P20 MSC供电的红色指示灯点亮。插图显示LED在40秒后仍亮着。(f)一个LCD计时器,由三个串联的LIG-P20 MSC供电。插图显示LCD在17分钟后仍在工作。(g)在不同弯曲半径下,LIG-P20 MSC的CV曲线和(h)相应的电容保持率。(i)LIG-P20 MSC和其他MSC在以前的文献中的Ragone图。

图6。(a)原始石墨烯和(b)P掺杂石墨烯的俯视图和侧视图。(c)-(d)分别吸附在原始石墨烯和P掺杂石墨烯上的H +最稳定构型的俯视图和侧视图。(e)-(f)分别吸附在原始石墨烯和P掺杂石墨烯上最稳定构型的SO 4 2-的俯视图和侧视图。
3、小结
总之,本研究提供了一种新的策略,该方法通过在掺有H3PO4的自组装PI / PVA复合膜上进行激光直接写入来制备基于P掺杂多孔石墨烯的高性能柔性MSC 。这种方法提供了一种简单,有弹性和高效的方法来定制碳材料的表面特性,这在各种柔性电子产品以及智能储能模块的应用中具有巨大的潜力。
文献:

本文来自 材料分析与应用,本文观点不代表石墨烯网立场,转载请联系原作者。
