
研究背景
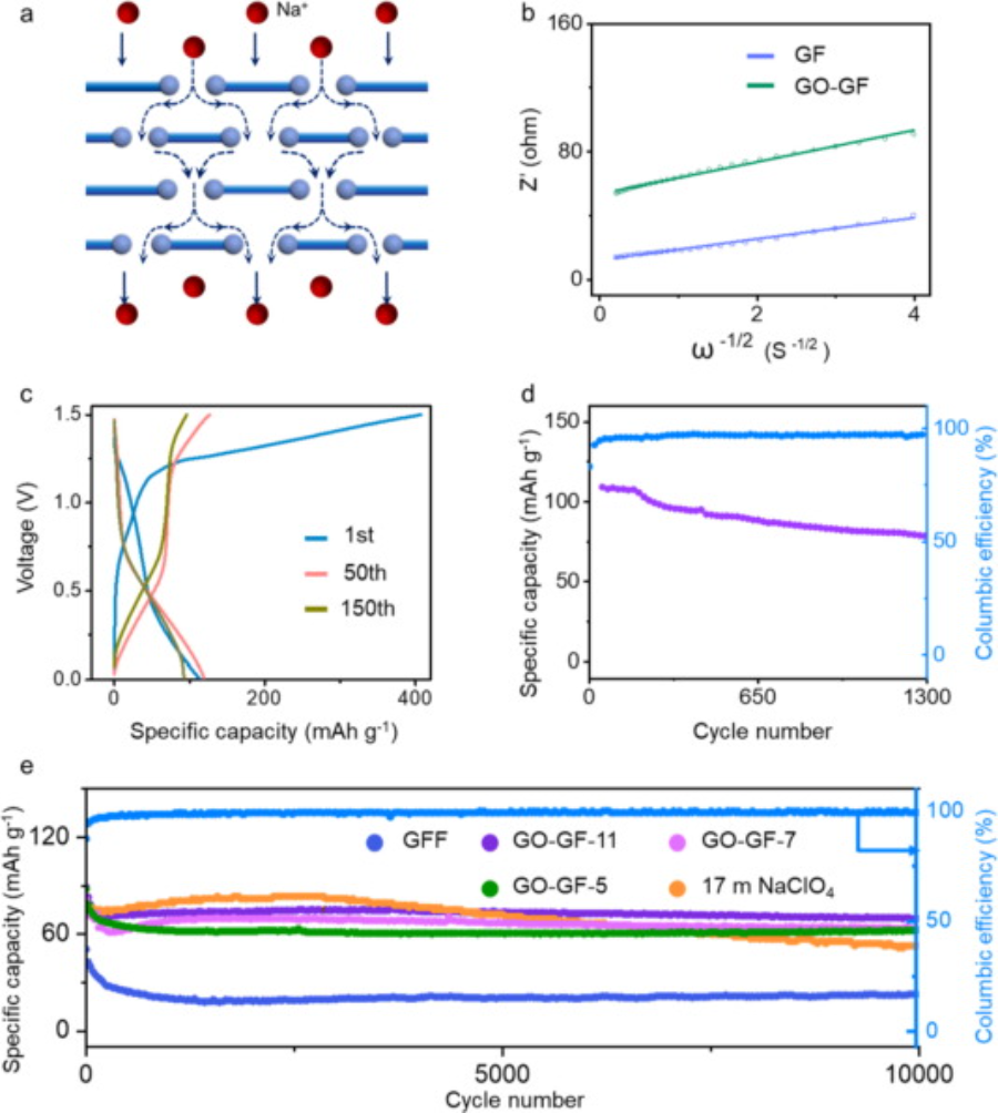
水系电池作为大规模储能领域最有希望的候选者之一,以其高安全性和低成本而受到广泛关注。然而,它们较差的寿命主要是由于水的高溶剂能力和高质子活性导致的不希望的副反应和载流子传输。近日,中科院理化技术研究所Mianqi Xue团队开发了一种基于隔膜设计的策略来提高水系电池的循环稳定性。通过这种方式,引入组装的氧化石墨烯(GO)薄膜对玻璃纤维隔膜进行改性,该隔膜只能让碱金属离子通过,而多价阳离子的拦截。基于该设计,抑制了钠普鲁士蓝 (PB-Na) 的溶解和破坏,从而实现了长寿命水系钠离子电池 (SIB),在电流密度下 10000 次循环后具有 78.76% 的高容量保持率2.0 A g−1。此外,组装的 GO 薄膜还实现了一种新颖的串联结构,该结构具有双极板电容器和电池的组合机制,可提供双电层电容器 (EDLC) 的额外容量。独立于电极和电解质的优化,基于隔膜设计的策略将为提高电化学储能系统的性能提供新的视角。
其成果以题为 “Selective Ion Transport in Assembled Graphene Oxide-Modified Separator and the Novel Intra-Series Architecture for Improved Aqueous Batteries” 在国际知名期刊 Chemical Engineering Journal 上发表。
研究亮点
⭐氧化石墨烯组装玻璃纤维隔膜可以实现对金属离子的离子选择性。
⭐离子选择性隔膜是为减弱电极的衰减而设计的。
⭐“串联架构”可以提供基于双电层效应的额外容量。
⭐该电池在低电流密度下表现出改善的循环寿命。
图文速读
图1. GO-GF隔膜的制备和表征.

图2. 使用 GO-GF 和 GF 隔膜的电池的电化学性能.

图3. GO-GF隔膜的离子选择性示意图及表征.

图4. 器件内架构结构示意图及表征.

研究结论
总之,作者开发了一种新的简单、低成本的隔膜设计策略,通过自组装方法在 GF 表面制造 GO 薄膜以提高 ASIB 的性能。PB-Na/GO-GF/AC 电池在 2 A g−1 的电流密度下循环 10000 次后具有 78.8% 的高容量保持率。GO薄膜的离子选择性渗透性和表面配位选择性有效地保证了正极和电解质之间微环境的构建,从而为PB-Na提供了极好的保护并获得了显着的稳定性。同时,GO薄膜还可以与交流阳极形成电容器系统,形成串联内架构结构,为容量输送提供了贡献。此外,自组装GO薄膜还具有密度低、厚度极薄的优点,不会对电池系统的体积/重量能量密度产生太大影响。此外,构建离子选择性隔膜的策略为克服电极稳定性低的局限性开辟了一条新途径,不仅促进了 ASIBs 的进一步发展,也为其他水系电池提供了新的设计方法。
文献信息
Huanrong Zhang, Xinlei Ma, Ruoqi Chen, Xusheng Wang, Hui Ma, Yuqiao Chai, Tianqi Cao, Wei Rao, Jitao Chen, Junhui Ji, Nan Zhu, Mianqi Xue*, Selective Ion Transport in Assembled Graphene Oxide-Modified Separator and the Novel Intra-Series Architecture for Improved Aqueous Batteries, Chemical Engineering Journal
https://doi.org/10.1016/j.cej.2022.138061
本文来自水系储能,本文观点不代表石墨烯网立场,转载请联系原作者。
