
成果介绍
近日,瑞士日内瓦大学Alberto F. Morpurgo和Giulia Tenasini(共同通讯作者)等报道了通过双层石墨烯(BLG)/三卤化铬(CrX3;X=Cl,Br,I)范德华界面传输的实验研究。在所有情况下,都会发生从BLG到CrX3的大量电荷转移(达到超过1013 cm-2的密度),并产生垂直于界面的电场,从而在BLG中打开带隙。本文确定了电导率活化能的差距,并发现与最新理论非常一致,该理论解释了σ带对BLG介电敏感性的贡献。进一步研究表明,对于BLG/CrCl3和BLG/CrBr3,可以从低温电导率的栅极电压依赖性中提取带隙,并利用这一发现来细化带隙对磁场的依赖性。本文的研究结果允许将BLG的电子性质与理论预测进行定量比较,并表明占据CrX3导带的电子是相关的。
图文导读

图1. BLG/CrX3界面中的带隙打开。

图2. BLG/CrX3异质结中平方电导的温度演变

图3. BLG/CrX3界面中带隙的电场依赖性。

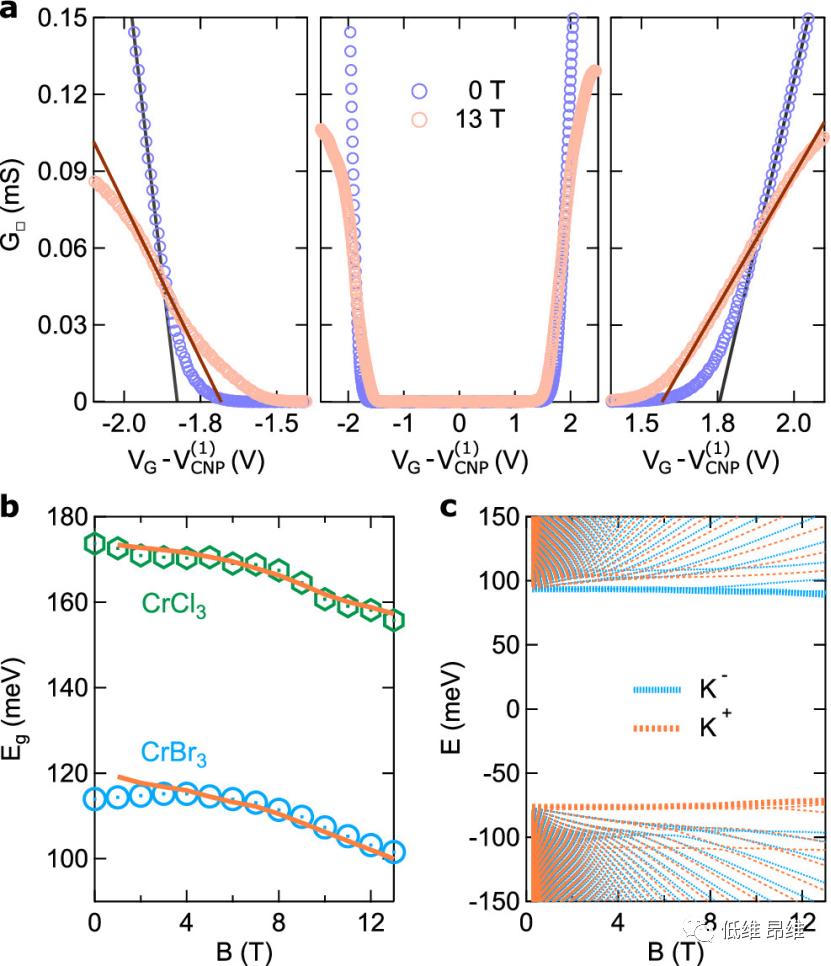
图4. BLG带隙的磁场依赖性。
文献信息
Band Gap Opening in Bilayer Graphene-CrCl3/CrBr3/CrI3 van der Waals Interfaces
(Nano Lett., 2022, DOI:10.1021/acs.nanolett.2c02369)
文献链接:https://pubs.acs.org/doi/10.1021/acs.nanolett.2c02369
本文来自低维 昂维,本文观点不代表石墨烯网立场,转载请联系原作者。
