
图1 动态金属–石墨烯混合太赫兹表面等离激元
1. 导读
表面等离激元是沿金属和介质表面传输的具有局域电场增强和突破光学衍射极限特性的电磁表面波,在高灵敏传感、超分辨率成像、高功率光伏发电等领域存在重要应用。传统表面等离激元存在于可见光和红外频段。近年来,在太赫兹波段可以利用周期性凹槽的一维金属线结构实现与传统表面等离激元相类似的电磁波传输,即太赫兹表面等离激元。作为无源器件,金属表面等离激元结构在设计后往往具有固定的传输特性,如果想改变其传输特性就需要重新设计器件结构。如果将太赫兹表面等离激元结构与动态调控器件相结合,其传输特性就可以随应用场景的需求而改变,实现更广泛的应用。
针对此问题,近日山东大学宋爱民教授和张翼飞副教授团队在Nanophotonics发表最新文章,提出用石墨烯凹槽代替一维金属线上金属凹槽,实现低电压动态可调的金属–石墨烯混合太赫兹人工表面等离激元结构。太赫兹表面人工等离激元的色散特性由其周期性凹槽的尺寸参数决定,调节石墨烯的电导率会改变凹槽的等效槽深(见图1)。等效槽深的变化改变了人工表面等离激元的色散特性,实现了对太赫兹表面等离激元幅度、截止频率以及相位的显著调制。团队在本征模色散分析和全波仿真的基础上制备了器件并进行测试。测试中使用低于0.5 V的外加电压,实现了太赫兹表面等离激元在140~177GHz大于3 dB的幅度调节,在177~200GHz的截止频率调节,以及在195 GHz处高达112°的相位调制。实验测试结果与理论预期吻合,且传输特性动态调控趋势石墨烯直流电导率变化趋势相一致,证明了理论的正确性和实验的可行性。
本工作提供了一种在CMOS兼容电压下动态调制太赫兹表面等离激元相位和截止频率的新方法,在非互易和拓扑表面等离激元器件以及具有主动相位延迟的表面等离激元天线的波束控制等领域具有潜在应用。
2. 研究背景
太赫兹波段的人工表面表面等离激元具有低耗传输、弱耦合、易于与传统传输线相集成等优势,在6G通信、相控阵列雷达等太赫兹领域具有重要应用。然而,太赫兹人工表面等离激元的色散特性通常与其结构尺寸相关。作为无源结构,太赫兹人工表面等离激元往往拥有固定的结构,限制了其在动态调控领域的应用。
为实现动态可调的金属表面等离激元结构,相关工作者们提出将有源激励例如半导体二极管、铁电材料、相变材料等加载到金属表面等离激元结构中实现不同功能的动态调控。目前已经报道了使用可调电容的变容二极管调控谐振频率,用可调电阻的肖特基二极管调控谐振幅度,用钛酸锶钡实现主动调控工作频率,用二氧化钒实现调控宽带幅度。此外,石墨烯因为其独特的高电子迁移率、良好的光学透明、优异的热导率以及电可调电导率等特性而被视作电磁调控的优良激励源。目前石墨烯已经被用作微波和红外频段金属表面等离激元的宽带幅度调制。然而,尚未有基于石墨烯的金属表面等离激元相位和截止频率的相关研究。
3. 创新研究
针对上述研究空白,研究人员提出用石墨烯凹槽代替传统表面等离激元金属线上金属凹槽。通过改变石墨烯的电导率改变太赫兹表面等离激元的有效沟槽长度,实现对其幅度、截止频率以及相位的动态调控。研究者首先通过本征模仿真了周期性凹槽结构的色散特性,随石墨烯电导率的增加,其色散曲线远离光线,截止频率红移,慢波特性增强(见图2)。在此基础上,设计了由共面波导、阻抗转换器、金属–石墨烯混合人工表面等离激元传输线三部分组成的动态混合结构,并给出此机构在不同石墨烯电导率下的全波仿真结果。随石墨烯电导率的增加,截止频率红移,传输幅度降低。通过研究该混合结构的电场分布,可以发现其强电场区域随石墨烯电导率的增加逐渐向石墨烯边缘移动(见图3),表明石墨烯凹槽有效槽深的增加。

图2 周期性凹槽结构的色散特性和混合结构的全波仿真模型

图3 混合太赫兹表面等离激元结构在不同石墨烯电导率下的电场分布
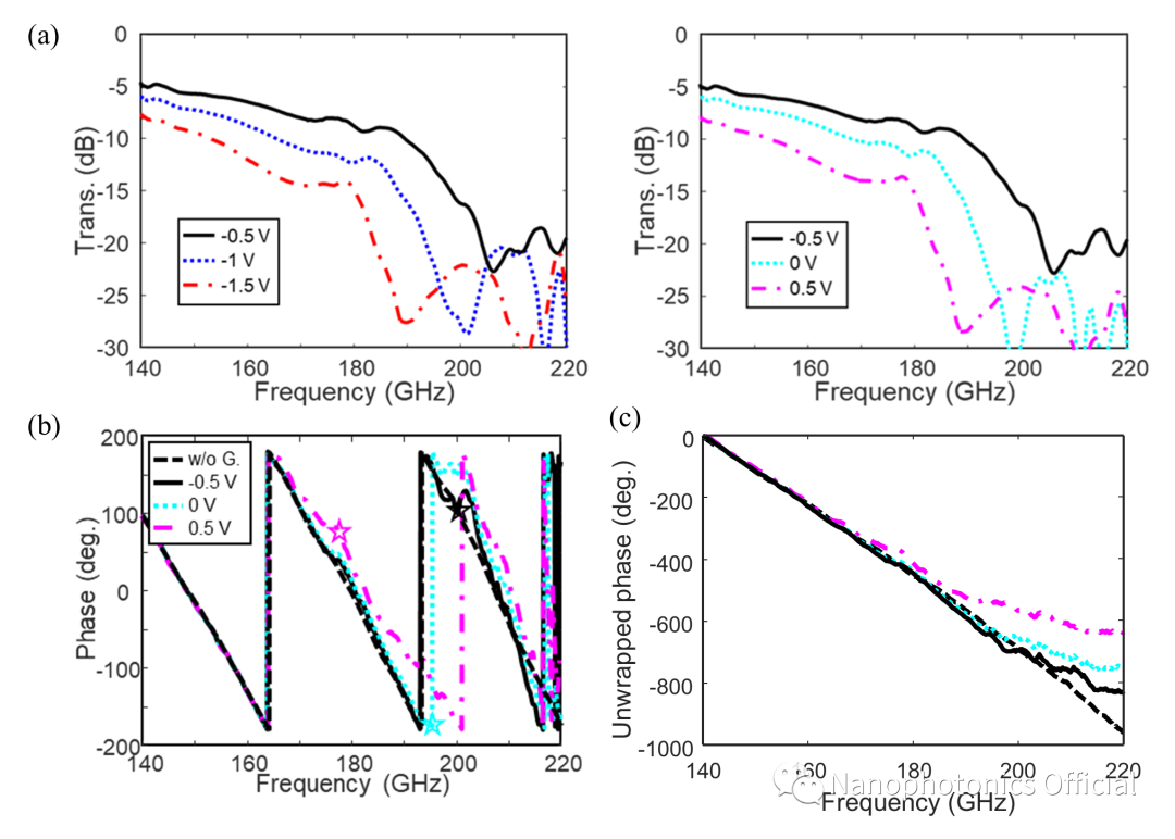
为验证仿真设计,研究人员用微纳加工工艺制备了相应的动态器件,利用离子液体形成双电层电容器结构来给石墨烯施加偏置电压,同时利用矢量网络分析仪记录器件的传输特性。当偏置电压从-1.5V升高至-0.5V,器件的传输参数增加,截止频率蓝移,这是由于石墨烯电导率减小,有效槽深减小;当电压从-0.5V继续升高至0.5V,器件的传输参数减小,截止频率蓝移,只是由于石墨烯电导率增大,有效槽深增大。同时,研究人员首次在实验中观察到太赫兹人工表面等离激元的相位变化(见图4),由于太赫兹表面等离激元慢波特性会随石墨烯电导率升高而变明显,因此会出现明显的相位延迟,研究人员也根据相位延迟推断出截止频率的频点。团队又给出了传输特性的幅度变化与石墨烯直流特性的对比,两者趋势吻合较好。

图4 透过率和相位动态调控的测试结果
4. 应用与展望
研究团队提出了一种具有显著相位动态调制能力的金属–石墨烯混合太赫兹人工表面等离激元结构。该结构由金属线和周期石墨烯凹槽组成,其中凹槽的有效槽深可以通过偏置电压改变石墨烯电导率而被动态控制。当石墨烯电导率增加,有效槽深增加,太赫兹表面等离激元截止频率红移,且慢波效应明显,因此观察到显著的相位调制。此结构揭示了一种在太赫兹范围内主动调制非互易和拓扑表面等离激元的新方法,在非互易器件、相位延迟器件、以及表面等离激元天线的波束控制等领域都有应用前景。
该研究成果以“Active metal-graphene hybrid terahertz surface plasmon polaritons”为题在线发表在Nanophotonics。
本文作者分别是Mingming Feng, Baoqing Zhang, Haotian Ling, Zihao Zhang, Yiming Wang, Yilin Wang, Xijian Zhang, Pingrang Hua, Qingpu Wang, Aimin Song, Yifei Zhang,19级硕士生冯明明及20级博士生张葆青为本文共同第一作者,宋爱民教授和张翼飞副教授为共同通讯作者,隶属于山东省高性能微纳器件与芯片集成工程技术研究中心、山东大学纳电子工程研究中心和微电子学院。
本文来自Nanophotonics Official,本文观点不代表石墨烯网立场,转载请联系原作者。
