转角石墨烯是一种以单层或者多层石墨烯为母体、具有层间转角而堆垛形成的的摩尔超晶格结构,具有平带的关联电子体系。自从2018年魔角石墨烯(1+1)在实验上被证实以来, 转角摩尔超晶格体系中存在的关联绝缘态和超导态等奇异物性吸引了大批科学家的目光,并由此发展出了一门新的科学分支—转角电子学,成为该领域的前沿研究问题。在该领域,2020年中国科学院物理研究所/北京凝聚态物理国家研究中心纳米物理与器件实验室N07课题组以双层石墨烯母体,率先发现了一类新型的转角双层-双层石墨烯(2+2)摩尔超晶格体系,并在该体系中具有自旋极化的半填充关联绝缘态。相比于魔角石墨烯,2+2体系具有更加丰富的调控手段,其能带结构可以被位移电场调节,因而受到广泛关注。
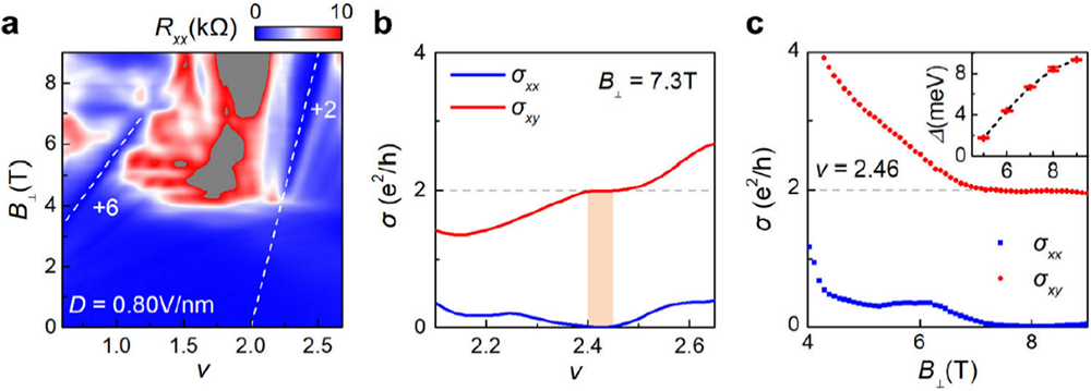
近期,该课题组杨威特聘研究员和张广宇研究员指导刘乐博士生等在转角双层-双层石墨烯中发现了新的、具有谷极化的关联绝缘态。他们发展了转移堆叠技术,制备出了高质量的转角样品,器件的测量结果显示样品的转角精度可达0.01°、位移电场高达1.5V/nm。通过引入塞曼轨道效应打破能谷对称性,观测到摩尔导带半填充处自旋极化的关联绝缘态(朗德g因子约等于2)会随着电场的增加而消失,并进一步发展成为具有谷极化的关联绝缘态(朗德g因子远大于2);同时,在摩尔价带的半填充处,随着电场增加电子输运特性也由金属态发展成为谷极化的关联绝缘态(图一所示)。通过系统研究输运测量对施加垂直磁场和位移电场的响应,发现这种输运行为的转变是由于2+2体系中自旋和能谷自由度的竞争关系而导致的(图二所示),这和Hartree-Fock近似下的理论计算结果相吻合。此外,他们还在摩尔导带半填充处发现了量子化的、陈数为2的拓扑陈绝缘体(图三所示),而在价带半填充处则拓扑平庸,发现了费米面重构现象和类似石墨烯的一系列量子化朗道能级谱(图四所示)。这些新的关联物态和拓扑属性的发现极大的拓宽了人们对转角体系的认识,这种电场高度可调的行为对其他摩尔超晶格体系具有指导意义,为进一步发现新的物态提供思路。
本研究工作获得了来自上海科技大学的刘健鹏教授、张世豪博士,北京理工大学黄元教授,日本国立材料科学研究所的Kenji Watanabe研究员、 Takashi Taniguchi研究员等合作者的帮助。该工作得到科技部重点研发计划(2020YFA0309600),国家自然科学基金委(61888102, 11834017, 1207441),中国科学院(XDB30000000,XDB33000000)等项目的资助。相关成果发表在近期的Nature Communications 13,3292(2022)。
原文链接:https://www.nature.com/articles/s41467-022-30998-x

图1. 转角双层-双层石墨烯中的谷极化的关联绝缘态。

图2. 自旋和能谷的竞争关系。

图3. 摩尔导带的谷极化陈绝缘体

图4. 摩尔价带的费米面重构和朗道能级谱
本文来自中国科学院物理研究所,本文观点不代表石墨烯网立场,转载请联系原作者。
