成果介绍
近日,北京理工大学吴汉春教授和国立台湾大学吴育任教授(共同通讯作者)等合作系统地研究了石墨烯/SnS2范德华光电探测器的制造及其光电特性。结果表明,干法转移的石墨烯/SnS2范德华异质结具有从紫外(365 nm)到近红外(2.24 μm)的宽带传感范围,响应率和光电探测率分别提高至7.7×103 A/W和8.9×1013 Jones(470 nm)以及2 A/W和1.8×1010 Jones(1064 nm)。此外,当光电探测器被能量分别大于和小于SnS2带隙的光子源照射时,观察到正负光电导效应。光响应率(R)与入射功率密度(P)的关系遵循经验法则R∝Pinβ,β>-1表示正光电导效应,β<-1表示负光电导效应。基于Fowler-Nordheim隧穿模型以及泊松和漂移扩散模拟,定量地表明,异质结光电探测器的势垒高度和势垒宽度可以通过激光和外部电场利用界面处俘获的载流子产生的光浮栅效应控制,可用于调节光生载流子的分离和输运。本文的研究结果有望有助于设计高性能范德华异质结光电探测器。
图文导读

图1. (a)SnS2/石墨烯异质结转移过程的示意图。(b)转移的SnS2/石墨烯异质结的光学图像。

图2. (a)基于石墨烯/SnS2范德华异质结的光电探测器的示意图。(b)光学图像。(c)IDS-VDS特性。(d)异质结能带弯曲的示意图。(e)正漏极偏置下少数载流子扩散的示意图。(f)各种栅极电压的IDS-VDS特性。(g)IDS-VG。(h)正VG下能带弯曲的示意图。(i)计算的隧穿势垒高度与VG的关系。

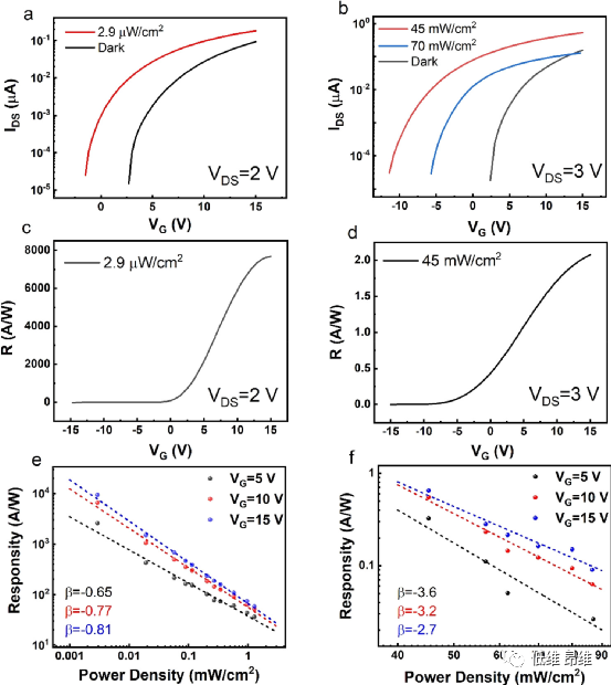
图3. (a)有无470 nm激光照射测量的IDS-VG转移特性曲线。(b)有无1064 nm激光照射测量的IDS-VG转移特性曲线。(c&d)响应率与栅极电压的关系。(e&f)响应率与入射功率的关系。


图4. (a)不同功率密度470 nm激光照射下的IDS-VDS特性。(b)在470 nm激光照射下重新绘制的IDS-VDS特性。(c&d)计算的势垒高度和势垒厚度与功率密度的关系。(e&f)计算的势垒高度和势垒厚度的比较。(g)不同栅极电压下,区域III中的电阻与激光功率密度的关系。

图5. (a)在VG=10 V的470 nm激光照射下模拟的IPC-VDS特性。(b)不同入射功率下沿石墨烯/SnS2范德华异质结模拟的陷阱空穴密度分布。(c)在VG=10 V的1064 nm激光照射下模拟的IPC-VDS特性。(d)电子俘获密度与功率密度的关系。
文献信息
Graphene/SnS2 van der Waals Photodetector with High Photoresponsivity and High Photodetectivity for Broadband 365-2240 nm Detection
(ACS Appl. Mater. Interfaces, 2021, DOI:10.1021/acsami.1c11534)
文献链接:https://pubs.acs.org/doi/10.1021/acsami.1c11534
本文来自低维 昂维,本文观点不代表石墨烯网立场,转载请联系原作者。
