滤波电容器在日益增长的电子产品中起着至关重要的作用,以保证复杂环境中的电流稳定性。然而,目前的滤波器件由于比电容低、体积大,难以满足超级计算机、电动汽车、飞机等恶劣的温度环境和小尺寸的要求。因此,基于垂直取向的石墨烯离子凝胶电极 (GI-EC) 开发了一种超快电化学电容器,该电容器具有高达 150℃的耐热性和4 V的宽电压窗口。由于特别定向的石墨烯纳米片诱导快速离子传输,这种离子电化学电容器显示出 1784 µF V2 cm-2的高面积比能量密度,在 150℃时相位角为 -80.0°(120 Hz),大于大多数报道的电化学电容器。此外,它可以以平滑直流信号过滤任意波形,并在10至104Hz 的宽频率范围内工作良好。GI-EC 串联或并联的简单集成还可以进一步提供所需的电容或高电压。GI-EC具有高倍率性能、宽电压窗口和高温适应性,为普遍适用的滤波电容器提供了广阔的前景。

Figure 1. a,b) GI 电极的电化学制造示意图。a) 在三电极体系中,Au 基板用作工作电极(WE,负极)和对电极(CE,正极),电位称为饱和甘汞电极(SCE)。b) 溶剂置换过程的说明:rGO 水凝胶中的溶剂水被 EMImBF 4电解质代替以制造 GI 电极。c) 不同放大倍率的 rGO 片状电极的 SEM 图像。d) rGO 电极横截面的 SEM 图像。e) GO、rGO 和 rGO@GI 的 C 1s XPS。每种石墨烯材料的XPS光谱可分为五种碳键:C=C(284.8 eV)、C-C(285.5 eV)、C-O(286.6 eV)、C=O(287.8 eV)和O–C=O (289.0 eV)。

Figure 2. a-c) GI-EC 在不同扫描速率下的 CV 曲线。d) CV 测试中从 20 到 1000 V s -1的放电电流密度与扫描速率的关系图。e) GI-EC在不同电流密度下的GCD曲线。f) 作为频率函数的相位角图。g) 奈奎斯特图;插图:高频的扩展视图。h) 面积电容与频率的关系图。插图是 GI-EC 装置和与 GI-EC 容量相当的商用 AEC 的照片。i) GI-EC的循环稳定性。并且通过GCD测量在20 mA cm -2下对GI-EC进行了10 4个循环的测试。每 500 个 GCD 循环后进行电化学阻抗谱测量。

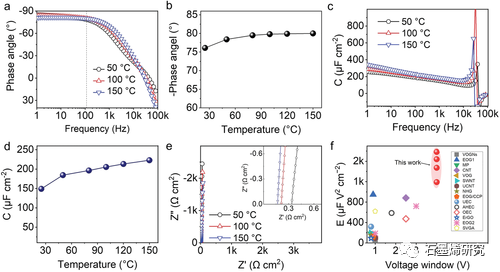
Figure 3. GI-EC 在不同温度(50、100 和 150℃)下的性能。a) 作为频率函数的相位角图。b) 不同温度下 GI-EC 在 120 Hz 时的相位角图。c) 面积电容与频率的关系图。d) 不同温度下 GI-EC 在 120 Hz 时的面积电容图。e) 不同温度下的奈奎斯特图;插图:高频的扩展视图。f) GI-EC 的E和电压窗口与报告的 AC 线路滤波 EC 的比较。

Figure 4. GI-EC在不同温度下的过滤性能。a-e) GI-EC 在室温下的滤波性能:a) 输入信号为 120 Hz 的交流信号。插图为交流滤波电路示意图:全桥整流器由四个二极管组成,GI-EC作为滤波电容,负载电阻(R)并联;b) 输入信号为 10 4 Hz 的交流信号;c) 输出信号在不同频率下的平均电压,插图为输出信号在不同频率下的方差;d,e) 输入信号 (120 Hz) 分别为方波和强噪声波。f-i) GI-EC 在 150℃ 下的滤波性能:f,g) 输入信号分别为 10 Hz 和 10 4 Hz的交流信号,插图是输出信号在不同频率下的方差;h,i) 输入信号分别为 120 Hz 的三角波和强噪声波。

Figure 5. GI-EC 的性能是串联和并联的。a) 两个串联和并联的 GI-EC 单元的相位角与频率的关系图。b) 奈奎斯特图;插图:高频的扩展视图。c) 200 V s -1时的 CV 曲线。d) 20 mA cm -2电流下的GCD曲线。e,f) 两个串联的 GI-EC 的滤波性能: e) 输入信号为 120 Hz 的正弦交变波;f) 输入信号为噪声波,插图为不同输入信号输出信号的方差。
相关研究工作由清华大学Huhu Cheng 和Liangti Qu课题组于2022年在线发表在《Small》上。原文:Graphene Ionogel Ultra-Fast Filter Supercapacitor with 4 V Workable Window and 150℃ Operable Temperature。
本文来自石墨烯研究,本文观点不代表石墨烯网立场,转载请联系原作者。
