热整流(TR)作为一种有效的热管理手段,在各种复杂的非对称或异质结构中得到了广泛的研究。由于实验条件的原因,许多复杂的结构不易实现,远低于室温的低温热浴温度也不符合设备的实际应用环境。在本文中,我们研究了由SiO2和GaN交替组成的异质基底支撑的石墨烯内部的热整流。热流更容易从覆盖在SiO2侧的石墨烯转移到GaN侧。当冷浴温度保持在300k时,只改变了高温热浴的温度,最大TR率约为52%。TR率可由热源温度和尺寸调节,当热源尺寸为2 nm,温度在450 K以上时,TR率最高。声子态密度和参与率揭示了基底和位置对石墨烯中声子输运的影响。此外,能量密度谱分析证实了基底效应导致石墨烯弯曲声子模的移动和声子谱的重构,与PDOS吻合,进一步解释了TR散射率和局部化程度的基本机制。

图1. 仿真模型示意图。

图2. 在热源温度为360 K时,石墨烯与基底对应的不同热流方向典型温度分布。

图3. 不同热源温度下的TR率。

图4. 石墨烯在不同热源温度(400、460、500、540K)下的典型温度分布。

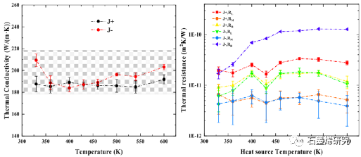
图5. (a)石墨烯的导热系数(b) RL、RM、RR的热电阻。

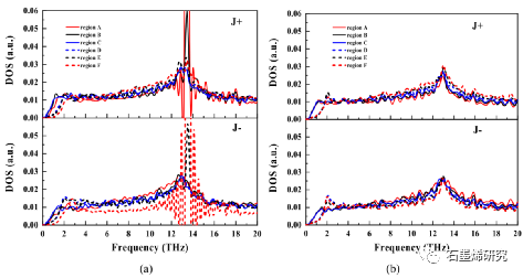
图6. 热源温度为(a)400 K和(b)540 K的6个区域的PDOS。

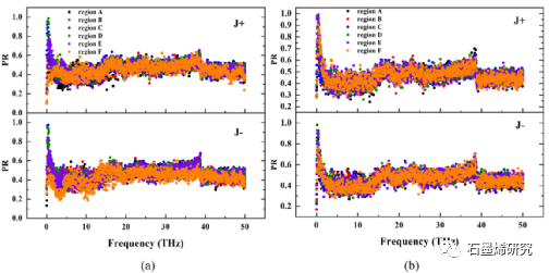
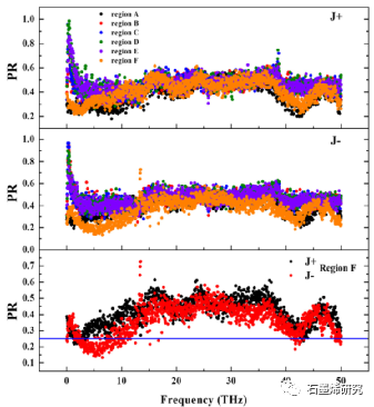
图7.六个区域两个方向的声子参与率(PR)谱。

图8. 不同热浴尺寸下的TR率。

图9. 不同热浴尺寸下石墨烯的典型温度分布。

图10. 热源长度为(a)1 nm和(b)5 nm的6个区域的PDOS。

图11. 热源长度为(a)1 nm和(b)5 nm的6个区域的PR。

图12.(a)300k和(b)600k时悬浮石墨烯的SED谱,(c)300k和(d)600k时石墨烯在SiO2上的SED谱,(e)300k和(f)600k时石墨烯在GaN上的SED谱。
相关研究成果由中国石油大学能源与动力工程系Guofu Chen等人于2022年发表在Carbon (https://doi.org/10.1016/j.carbon.2022.01.012)上。原文:Thermal rectification effect of pristine graphene induced by vdW heterojunction substrate。
本文来自石墨烯研究,本文观点不代表石墨烯网立场,转载请联系原作者。
