氧化石墨烯(GO)对外场刺激的响应性能使其在扩展光电器件的适用性方面具有竞争力。本文展示了GO在直流(DC)电场下的响应行为。此外,还制备了不同GO掺杂浓度的GO掺杂蓝相液晶复合材料(GO-BPLCs)。讨论了GO与BPLCs的有效结合。在给定的氧化石墨烯浓度下,GO的动态电响应、均匀色散、降低各向同性BP转变温度、BP冷却温度范围的扩展以及GO-BPLCs的透射和折射模式的静态光学显示已经得到验证。这种在BPLC中掺杂氧化石墨烯的新策略为制造宽温度范围、响应灵敏的BPLCs和多功能显示材料提供了良好的前景。

图1. GO-BPLCs制备过程示意图。在GO稳定的情况下,GO薄片的存在迫使片晶内的组装脱离偏斜。

图2. (a-c) DC电场下GOLC的交叉极化图像。(d) DC电场下GOLC的浓度与驱动电压的关系。驱动电压是使液晶结构微观取向由各向异性变为各向同性的电压。

图3. GO-BPLCs的相变行为。a. GO-BPLCs的数字图像。b, c. GO-BPLCs相变过程的极化图像(单元类型:未处理,样品厚度为100μm)。d. GO-BPLCs冷却相图。

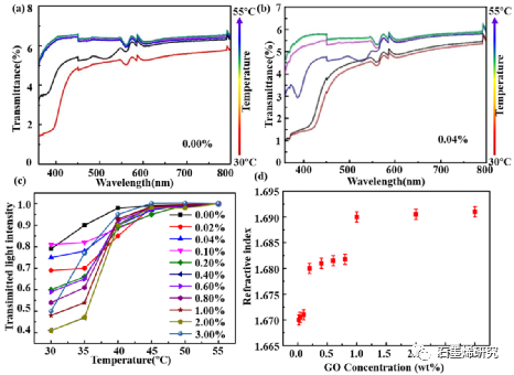
图4. a, b. 0.00% GO和0.04% GO的BPLCs的透射光谱。c.不同温度下GO-BPLCs的透光率。d.不同GO含量的GO-BPLCs的折射率。
相关研究成果由徐州工程学院材料与化学工程学院、广东工业大学材料与能源学院,广东省功能软凝聚态物质重点实验室Congcong Luo和Yingying Chen等人于2021年发表在Optical Materials (https://doi.org/10.1016/j.optmat.2022.111977)上。原文:Response behavior of graphene oxide and graphene oxide doped blue phase liquid crystal composites in external fields。
本文来自石墨烯研究,本文观点不代表石墨烯网立场,转载请联系原作者。
