钾基阳极由于具有较大的理论容量,在钾离子电池(PIBs)中具有不错的应用前景。但由于其电子导电性差、易自聚集、循环过程中体积变化大等原因导致的储钾性能不佳,制约了其实际应用。现在,我们将Sn4P3纳米颗粒浸透在多层石墨烯薄片(Sn4P3/MGS)中,作为PIBs的阳极材料,大大提高了其储钾性能。具体而言,石墨烯片能够有效抑制Sn4P3纳米粒子的聚集,提高电子导电性,并维持结构的完整性。此外,大量的Sn4P3纳米粒子浸透在MGS中,为电解液提供了较大的可达区域,从而减小了K+和K+上插入/提取电子的扩散距离,提高了速率能力。因此,在0.1和1 A g-1的条件下,优化的Sn4P3/MGS含80 wt% Sn4P3 (Sn4P3/MGS-80)的可逆容量分别为378.2和260.2 mAh g-1,在0.5 A g-1时,第1000次循环后仍能76.6%的大容量保持率。

图1. Sn4P3/MGS-80合成过程示意图。

图2. Sn4P3/MGS-80杂化物的(a)XRD图,(b) SEM图,(c和d) TEM图,(e-g) HRTEM图,(h-k)对应的能量色散X-射线(EDX)元素映射。

图3. (a) Sn4P3/MGS-80的全测量扫描XPS光谱。(b)Sn、(c)P和(d)C的高分辨率XPS图谱。

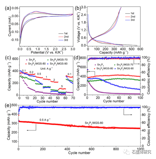
图4. Sn4P3/MGS-80电极的(a)CV曲线和(b)恒流放电/充电曲线。裸电极Sn4P3、Sn4P3/MGS70、Sn4P3/MGS-80和Sn4P3/MGS-90的(c)速率性能和(d)循环性能。(e) Sn4P3/MGS-80电极的延长循环性能。

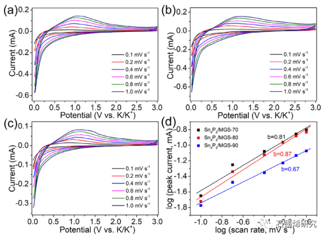
图5. (a)Sn4P3/MGS-70,(b)Sn4P3/MGS-80,(c)Sn4P3/MGS-90阳极在递增的扫描速率下的CV曲线,以及(d)对应的log(i)和log(v)曲线。

图6. (a)Sn4P3、Sn4P3/MGS-70、Sn4P3/MGS-80和Sn4P3/MGS-90电极在100 kHz ~ 0.1 Hz范围内的Nyquist曲线。(b)不同放电/充电状态下Sn4P3/MGS-80电极的非原位XRD谱图。

图7. Sn4P3/MGS-80阳极在0.1 A g-1时循环100次后,(a和b) FESEM图谱、(c) TEM图谱、(d) STEM照片和相应的(e)C, (f)K, (h)Sn, 和(g)P的EDX映射。

图8. KVPO4F//Sn4P3/MGS-80全电池的(a)充放电电压曲线,(b)速率能力,(c)长期循环性能及相应的CEs。
相关研究成果由南京师范大学化学与材料科学学院、江苏省新型动力电池重点实验室、江苏省生物医药功能材料协同创新中心Yichen Du等人于2021年发表在Journal of Energy Chemistry (https://doi.org/10.1016/j.jechem.2021.08.043)上。原文:Sn4P3 nanoparticles confined in multilayer graphene sheets as a high-performance anode material for potassium-ion batteries。
本文来自 石墨烯研究,本文观点不代表石墨烯网立场,转载请联系原作者。
