成果简介
目前,探索可在零下温度下工作同时具有抗温度干扰能力的可穿戴应变传感器仍然是一个巨大的挑战。本文,上海海事大学Shicong Niu(第一作者)、常雪婷教授/Shibin Sun/华东理工大学高阳(通讯作者)等研究人员在《ACS Appl. Mater. Interfaces》期刊发表名为“Low-Temperature Wearable Strain Sensor Based on a Silver Nanowires/Graphene Composite with a Near-Zero Temperature Coefficient of Resistance”的论文,研究提出了一种低温可穿戴应变传感器,该传感器通过将银纳米线/石墨烯 (Ag NWs/G) 复合材料结合到聚二甲基硅氧烷 (PDMS) 聚合物中来构建。
Ag NWs/G/PDMS 应变传感器在极低温度 (-40 °C) 下表现出良好的柔韧性、出色的抗疲劳性和低滞后能力,以及接近零的电阻温度系数 (TCR)。Ag NWs/G/PDMS 应变传感器在零下温度下显示出出色的传感性能,在 >36% 的应变下具有 9156 的非常高的应变系数,并且对温度(-40 至 20 °C)具有无干扰特性。Ag NWs/G/PDMS 应变传感器还证明了在室温和低温条件下监测各种人体运动的可行性,如手指弯曲、手臂挥动、手腕旋转和膝盖弯曲。这项工作启动了一种新的有前途的策略,以构建可以在极低温度下稳定有效工作的下一代可穿戴应变传感器。
图文导读

图1. (a) Ag NWs/G/PDMS 应变传感器的制造过程示意图。(b-e)、G、 Ag NWs、Ag NWs/G 复合材料和 Ag NWs/G/PDMS 应变传感器的SEM 图像。(f) Ag NWs/G/PDMS 应变传感器的 EDS 元素映射。(g) Ag NWs/G/PDMS 应变传感器上的水滴照片。(h) Ag NWs/G/PDMS 应变传感器作为连接器点亮水中 LED 的照片。

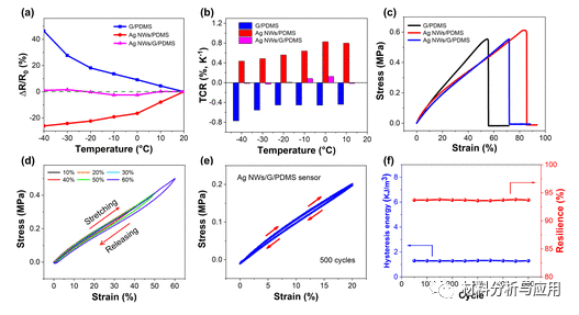
图2. Ag NWs/PDMS、G/PDMS 和 Ag NWs/G/PDMS 应变传感器的电气和机械性能

图3. (a) Ag NWs/PDMS、G/PDMS 和 Ag NWs/G/PDMS 应变传感器的相对电阻变化作为 20 °C 时施加的应变的函数。( b )Ag NWs / G / PDMS应变传感器的相对电阻变化作为在-40至20°C温度范围内施加的应变的函数。(c) 用于当前Ag NWs/G/PDMS 应变传感器和先前报道的低温应变传感器的GF。(d)-20°C下不同循环应变下Ag NWs / G / PDMS应变传感器的相对电阻变化。(e) Ag NWs/G/PDMS 应变传感器在 20% 应变下在各种循环加载频率下的相对电阻变化。(f) Ag NWs/G/PDMS 应变传感器在 -20 °C 下的响应和恢复时间。

图4. (a) Ag NWs/G/PDMS 应变传感器的传感机制示意图。Ag NWs/G/PDMS 应变传感器在特定应用应变下的表面 SEM 图像:(b, c) 0%, (d, e) 20%, (f, g) 40%, 和 (h, i) 释放到0%。

图5. 在不同条件下使用 Ag NWs/G/PDMS 应变传感器进行人体运动监测。
小结
总之,我们通过非常简单的滴涂方法和随后的封装将 Ag NWs/G 复合材料结合到 PDMS 聚合物基质中,从而构建了一种新型的低温可穿戴应变传感器。这项工作为组装低温应变传感器提供了一种新策略,并且可以扩展到开发下一代可穿戴传感器,该传感器可适用于在可变温度和极低温度等复杂条件下工作。
文献:https://doi.org/10.1021/acsami.1c14671

本文来自材料分析与应用,本文观点不代表石墨烯网立场,转载请联系原作者。
