成果简介
探索用于氧还原和氧析出反应(ORR和OER)的经济高效且耐用的双功能氧电催化剂对于可充电锌空气电池的商业实施至关重要,但仍然是一个巨大的挑战。本文,暨南大学化学系袁定胜教授团队在《ACS Sustainable Chem. Eng.》期刊发表名为“CoNi Nanoalloys @ N-Doped Graphene Encapsulated in N-Doped Carbon Nanotubes for Rechargeable Zn–Air Batteries”的论文,研究一种简单有效的两步热解方法,将N掺杂石墨烯包裹的CoNi纳米合金嵌入到N掺杂碳纳米管中(CN@NC)。
最佳的CN@NC–2–800为ORR提供0.83V的正半波电位,在10 mA cm–2下为OER提供了400mV的小过电位,优于目前大多数非贵重双功能氧电催化剂 。预计,基于CN@NC –2–800的液态锌空气电池显示出 1.52 V 的高开路电压,172mW cm –2的大峰值功率密度,以及300小时的长循环寿命。此外,开发的全固态锌空气电池在不同程度的弯曲下也表现出显着的稳定性。这项工作提供了一种简单有效的方法来探索用于可再生能源应用的高效耐用的电催化剂。
图文导读

图1、 CN@NC催化剂合成路线示意图。

图2. (a)CN@NC –2–800 的SEM、(b) (c) TEM 和 HRTEM 图像。(d) (e) (c) 石墨烯的晶格边缘从中的标记区域获得的CoNi 合金。(f) CN@NC –2–800的EDX元素映射。

图3. (a) XRD 图,(b) 详细的 XRD 图,(c) 拉曼光谱,和 (d) 样品的氮吸附-解吸等温线和孔径分布

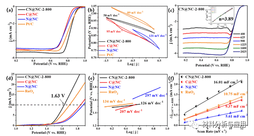
图4. (a) (b) LSV曲线和CN@NC–2–800、C@NC 、N@NC和 Pt/C的ORR塔菲尔图。(c) CN@NC –2–800增加旋转速率的 LSV 曲线和相应的 K-L 图(插图)。(d) LSV 曲线,(e) Tafel 图, (f) Cdl在1.147Vvs RHE 下获得的CN@NC –2–800、C@NC、N@NC和RuO2的OER 。测试电解液为0.1M KOH 溶液。

图5. (a) ORR 和 OER 中不同催化剂的总体极化曲线比较。(b) 液体ZAB 的示意图。(c) ZAB 的开路图。(d) 液态 ZAB 的充放电曲线和相关功率密度。(e) 比容量和 (f) 倍率放电曲线。(g) 液体 ZAB 在 10 mA cm –2 下的循环曲线。(h) 基于CN@NC–2–800的液态 ZAB驱动小风扇的照片。

图6. (a) 柔性 ZAB 的内部结构。(b) CN@NC –2–800制备的柔性 ZAB 的开路图。(c) 柔性ZAB在2mAcm –2 下的循环曲线。(d) 2 mA cm –2下不同弯曲状态下柔性 ZAB 的循环曲线。(e) 由两个柔性 ZAB 串联点亮的红色 LED 的照片。
小结
这项工作为锌空气电池的耐用和高活性非贵金属催化剂的设计提供了新的见解,以探索未来灵活、智能和可穿戴的电子产品。
文献:https://doi.org/10.1021/acssuschemeng.1c04259

本文来自材料分析与应用,本文观点不代表石墨烯网立场,转载请联系原作者。
