石墨有很高的锂离子储存容量,但是石墨的钠离子储存容量却很低。如果将石墨的层间距扩大,并引入适量的结构缺陷会显著提高它们的钠离子储存容量。然而目前在大尺度上精确调节石墨材料的层间距还很难实现。此外,实用的钠离子电池也需要拥有高面容量的电极。通过增加电极厚度来提高电极面容量会影响电极中的质量传递。目前通过热或者化学还原的方法,已经可以用氧化石墨烯大规模生产石墨烯纸。但是不同的还原方法会使石墨烯片层间产生不同程度的堆叠,而且石墨烯表面的功能团也会产生显著变化。这些都直接影响石墨烯纸作为钠离子电池电极材料的性能。

【工作简介】
近日,悉尼大学陈元教授课题组等人利用一种爆炸热分解的方法来精确调控热还原氧化石墨烯的层间距。首先通过原位X射线衍射建立了升温速率和温度与石墨烯层间距的关系。根据X射线衍射结果,在450 ℃和70 ℃/min的高速升温条件下合成了可自支撑的石墨烯纸。这些石墨烯纸拥有石墨烯薄片结合而成的多孔结构,表面富含环氧基团,层间距在0.38-0.39 纳米。同时石墨烯薄片间有合适的空隙提供了快速的传质路径,并使石墨烯纸在可逆钠离子嵌入时适当的膨胀和收缩。不使用粘结剂和导电剂的情况下,石墨烯纸可直接作为钠离子电池负极使用。在100 mA/g的电流密度下获得290 mAh/g的可逆容量。石墨烯纸同时具有很好的机械性能,可通过折叠或者滚转构建高面密度电极,在100 μAh/cm2的电流密度下实现了0.62 mAh/cm2的面容量。该文章发表在国际期刊Energy Storage Materials上。本文的第一作者是悉尼大学Asif Mahmood博士,通讯作者是悉尼大学陈元教授。
【核心图文】

图1. 通过原位X射线衍射研究在爆炸热分解中石墨烯纸的石墨烯层间距和温度的关系。

图2.(a)石墨烯纸的的合成示意图,(b) X射线衍射谱图,(c)小角度 X 射线散射数据及拟合,(d)用Fractal模型对小角度 X 射线散射数据拟合,(e) 拉曼光谱,(f) 碳的X射线光电子能谱,(g) 氧的能谱分析。

图3. 石墨烯纸的内部结构。(a-c)扫描电镜图片显示内部结构,(d-f) 透射电镜分析石墨烯层间距。

图4. 石墨烯纸作为负极在钠离子半电池中的性能。(a-b)不同条件制得的石墨烯纸在100 mA/g的电流密度下的可逆容量,(c) 优化的石墨烯纸的循环伏安曲线,(d)不同扫描速度下的循环伏安曲线,(e-g)电容对容量贡献的分析,(h) 在100 mA/g的电流密度下的循环寿命。

图5. (a-b)在100 mA/g的电流密度下的充电和放电的恒电流间歇滴定曲线,(c) 钠离子的扩散系数,(d)电化学阻抗谱分析,(e)不同电流密度下的钠离子存储容量,(f) 不同电流密度下的充放电行为,(g)在100 mA/g的电流密度下的循环性能。

图6. (a)电子传输在常规厚电极的石墨烯薄片间会受阻,(b)折叠或者滚转的石墨烯纸中的有效电子传输通道,(c-f)折叠或者滚转的石墨烯纸的照片和扫描电镜图片,(g-h)折叠或者滚转的石墨烯纸的钠离子存储容量比较和相对应的充放电曲线,(i)电化学阻抗谱分析。

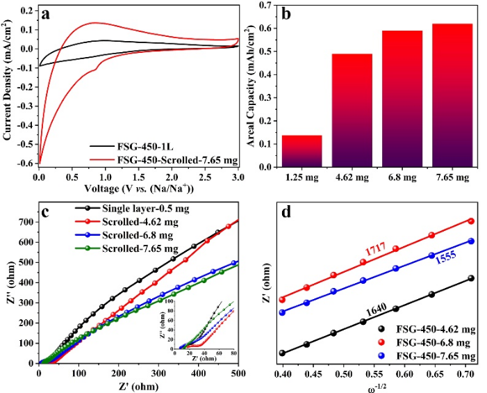
图7. 不同面质量载荷的石墨烯纸卷轴的性能比较。(a)循环伏安曲线,(b)面容量,(c-d)电化学阻抗谱分析。

图8. 循环充放电后的石墨烯纸的表征。(a-c)照片和扫描电镜图片,(d)X射线衍射谱图, (e)氧的X射线光电子能谱,(f)拉曼光谱。
【结论】
1. 石墨烯纸的层间距和表面功能团可以通过爆炸热分解的方法得到很好的控制。
2. 氧化石墨烯纸在450 ℃和70 ℃/min条件下的爆炸热分解可以急速产生气体,气体的在石墨烯片层间的快速扩散使层间距扩大到0.39 纳米左右。
3. 层间距扩大的石墨烯纸在100 mA/g的电流密度下获得290 mAh/g的钠离子可逆容量,可以保持1000次充放电循环的稳定。
4. 无需粘结剂和导电剂,用这样的石墨烯纸可以通过折叠或是滚转的方法制备高面质量载荷的钠离子电池电极。在100 μAh/cm2的电流密度下实现了0.62 mAh/cm2的面容量。
Asif Mahmood, Ziwen Yuan, Xiao Sui, Muhammad Adil Riaz, Zixun Yu, Chang Liu, Junsheng Chen, Cheng Wang, Shenlong Zhao, Nasir Mahmood, Zengxia Pei, Li Wei, Yuan Chen, Foldable and scrollable graphene paper with tuned interlayer spacing as high areal capacity anodes for sodium-ion batteries, Energy Storage Materials (2021), DOI:10.1016/j.ensm.2021.06.020
悉尼大学陈元教授课题组网站:https://yuanchenlab.org/
本文来自能源学人,本文观点不代表石墨烯网立场,转载请联系原作者。
