背景介绍
量子点(QD)是把激子在三个空间方向上束缚住的半导体纳米结构,具有量子限域效应(可调的带隙和独特的荧光性能),在光电和生物医学等领域都具有应用前景。特别是QD具有下转换的特点,可以吸收短波长的光子,然后再发射长波长的光子。根据这一特性将QD应用到硅基太阳能电池可以实现对高能光子的有效利用和提升电池性能,因为硅基太阳能电池一般具有比较低的紫外光谱响应。但是传统的QD一般含有有毒重金属元素(Cd,Pd),并且制备方法较为复杂。而石墨烯量子点(GQD)是一种新型的纳米碳材料, 具有无毒,生物相容性好,发射光谱可调和易于溶剂处理的特点。但是在实际应用过程中,GQD容易发生团聚,从而影响它的本征光电特性,比如造成荧光淬灭。在本工作中,将GQD通过氢键作用分散于聚乙烯吡咯烷酮(PVP)基体中,从而保留GQD在固态条件下的荧光特性,并加入少量的硝酸弥补PVP的绝缘性。将上述复合薄膜应用于本课题组开发的特色纳米光电器件——碳纳米管和硅形成的异质结太阳能电池上,实现了对紫外光的有效利用(紫外波段的外量子效率明显提升)。这种借助于QD的下转换特点实现对光子进行管理的策略也适用于其他类型的光电器件。
成果简介
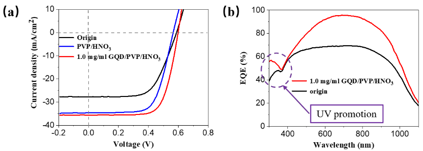
北京大学曹安源教授等制备了由GQD和PVP组成的复合薄膜,作为下转换层应用于碳纳米管/硅异质结太阳能电池。研究发现GQD和PVP之间的氢键作用有利于GQD的分散,避免荧光淬灭,从而实现固态荧光性能。得益于GQD的下转换机制和PVP的减反作用,电池紫外和可见波段的外量子效率(表征太阳能电池对单一波长的光的吸收能力)均有明显提升。通过系统研究发现,在优化的GQD浓度条件下,复合薄膜的固态荧光性能最强,同时电池在紫外波段实现了12.34%的外量子效率的提升和14.94%的电池效率。我们设计制备的这种下转换层也适用于其他硅基或硅异质结太阳能电池,用来进一步提升高效率电池的光谱响应范围和性能。
图文导读

图1.GQD/PVP/HNO3复合薄膜旋涂在碳纳米管/硅太阳能电池的结构;GQD的下转换和PVP薄膜减反机制;GQD和PVP之间的氢键作用示意图。

图2.复合薄膜光学性能表征。(a)薄膜的紫外-可见吸收光谱;(b)薄膜,GQD粉末和GQD溶液的荧光光谱比较。

图3.太阳能电池的性能表征。(a)电池的电流-电压曲线;(b)电池的外量子效率曲线。
作者简介
曹安源,北京大学教授。主要从事纳米科技与应用研究,包括碳纳米材料的可控合成、自组装、电子及光电器件、能源及环境应用等方面。课题组多年来致力于研究基于碳纳米管和其它半导体纳米材料的新型太阳能电池,提高能量转换效率并降低制造成本;开发基于碳纳米结构的功能复合材料与器件,包括三维多孔碳纳米管海绵、柔性碳纳米管导电薄膜、高强度柔性纤维等,通过负载改性等方法制备高性能的电极材料应用于能源催化等领域。
文章信息
Xuewei Zhao, Yizeng Wu, Zhiyuan Xia, Shulong Chang, Yuanyuan Shang & Anyuan Cao. A GQD-based composite film as photon down-converter in CNT/Si solar cells. Nano Research https://doi.org/10.1007/s12274-021-3311-5.

本文来自NanoResearch,本文观点不代表石墨烯网立场,转载请联系原作者。
