背景介绍
石墨烯以其卓越的机械、电学和热学性能,成为材料科学焦点。化学气相沉积(CVD)法虽是主流制备技术,但传统金属基底(如铜、镍)存在转移损伤缺陷。玻璃纤维(GFF)因其轻质耐高温特性,成为直接生长石墨烯的理想基底,形成兼具功能性与结构强度的新型复合材料。然而,非催化性GFF对碳源选择及生长参数极为敏感,现有研究证实甲烷、二氯甲烷等碳源可制得高导电性GGFF。目前学界亟待攻克三大机理难题:碳氢化合物的分解温度、碳含量及反应活性如何影响石墨烯在GFF上的生长机制与性能,这对优化实验设计及实现可控生长具有重要意义。
成果简介
本研究以α-SiO2(001)为模型基底,理论探究了玻璃纤维表面石墨烯的生长机理。本研究聚焦三个关键反应过程:(i)裂解、(ii)成核及(iii)边缘拼接生长。研究发现乙烯/乙炔衍生的C2/C2H及丙烷衍生的C3/C3H是驱动石墨烯生长的关键活性物种,其中C2H和C3凭借优异的迁移能力主导成核过程。氢钝化表面模型计算表明,C2H的生长能垒最低。实验验证乙炔、乙烯与丙烷可作为理想碳源,其协同作用有效促进石墨烯合成。该发现揭示了石墨烯包覆玻璃纤维(GGFF)的合成机制,为绝缘基底上石墨烯的可控生长提供了理论支撑,对新型结构-功能一体化复合材料的开发具有重要科学参考价值。
图文导读
![Nano Res.[碳]│多碳源驱动破解石墨烯在玻璃纤维上的高速生长密码](http://www.graphene.tv/wp-content/themes/justnews/themer/assets/images/lazy.png)
示意图:乙炔(C2H2)、乙烯(C2H4)和丙烷(C3H8)被证实是玻璃纤维织物表面直接化学气相沉积(CVD)生长石墨烯的理想碳源。研究聚焦于三个核心反应阶段:(i) 碳源裂解、(ii) 成核机制及 (iii) 边缘拼接生长过程。
![Nano Res.[碳]│多碳源驱动破解石墨烯在玻璃纤维上的高速生长密码](http://www.graphene.tv/wp-content/themes/justnews/themer/assets/images/lazy.png)
图1 乙炔(C2H2)、乙烯(C2H4)和丙烷(C3H8)最可能的裂解路径及其对应分子结构示意图。(a) C2H4(红色箭头标注)与C2H2(紫色箭头标注)的裂解路径;(b–d) C3H8的裂解机制。图中红色与紫色箭头分别表示路径中与C2H4及C2H2裂解过程相吻合的区域。
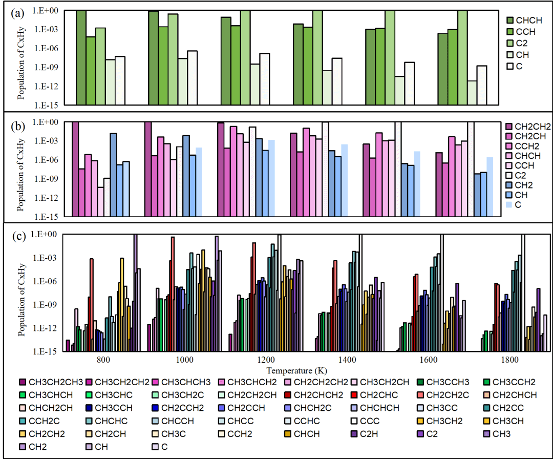
![Nano Res.[碳]│多碳源驱动破解石墨烯在玻璃纤维上的高速生长密码](http://www.graphene.tv/wp-content/themes/justnews/themer/assets/images/lazy.png)
图2 (a) C2H2、(b) C2H4 和 (c) C3H8作为碳源在SiO2基底表面裂解生成的活性物种分布。
![Nano Res.[碳]│多碳源驱动破解石墨烯在玻璃纤维上的高速生长密码](http://www.graphene.tv/wp-content/themes/justnews/themer/assets/images/lazy.png)
图3 活性碳物种成核特性分析 (a) C2H、C2、C3及C3H的扩散能垒;(b, c) 基底表面分别吸附C2与C2H活性物种的差分电荷密度分布,等值面设定为0.01 eV/Bohr3,蓝色与黄色区域分别表示电子富集与电子耗散;(d) 石墨烯成核晶粒尺寸、(e) 成核能垒及(f) 成核速率随SiO2表面化学势变化的规律。
![Nano Res.[碳]│多碳源驱动破解石墨烯在玻璃纤维上的高速生长密码](http://www.graphene.tv/wp-content/themes/justnews/themer/assets/images/lazy.png)
图4 不同碳源在碳原子引入量相同条件下,石墨烯于GFF基底上的生长速率对比。(a) 原始GFF的SEM形貌; 以(b)CH4、(c)C3H8、(d)C2H4、(e)C2H2为碳源生长的GGFF微观结构。生长参数:Ar/H2/CH4混合气流量比为400/300/30 sccm,温度1000℃,时长60分钟。(f) 不同碳源体系中石墨烯厚度随生长时间的变化曲线。对应生长参数:Ar/H2/CH4混合气流量比为400/300/60 sccm,温度1050℃。
作者简介
石建建,成都工业学院电子工程学院副教授,主要从事结构调控及电催化性能相关研究工作。以第一作者或通讯作者发表SCI论文10余篇,授权发明专利3项。
于朝杰,山东师范大学物理与电子科学学院与北京石墨烯研究院联培学生,2024级博士研究生,学科方向为原子与分子物理。
文章信息
Shi J, Yu C, Liu R, et al. Growth mechanism of graphene-skinned glass fibre fabrics driven by various carbon sources. Nano Research, 2025, https://doi.org/10.26599/NR.2025.94907578.
本文来自NanoResearch,本文观点不代表石墨烯网立场,转载请联系原作者。
