研究背景
片上光学忆阻器为了实现光振幅或相位的调制并能保持调制后的状态,通常要求活性材料的折射率实部或虚部能够以非易失性的方式被调控。从未来大规模芯片集成的角度来看,其工艺流程应该尽量简单且能与标准化CMOS工艺兼容,同时具备较高的可扩展性和可靠性。相变材料在非晶态和晶态的转变过程中,表现出显著的折射率的变化,是一种极具潜力的实现片上光学忆阻器的材料平台,其可以通过物理沉积技术大规模集成到光子芯片上,并与后端CMOS工艺兼容。然而,在相变操作过程中,升至数百摄氏度的局部相变温度会不可避免地导致热串扰、材料疲劳和热平衡周期等问题。导电细丝机制已经在电学忆阻器中得到了充分研究,该机制也支持通过调控介质层的光吸收实现光学领域的非易失性状态,从而构建光学忆阻器。这一平台面临的挑战在于光与纳米尺寸导电细丝之间的耦合效率较低,只能通过利用纳米间隙中的等离子体模式来解决,但是这会引入较大的传播损耗和模式转换损耗。铁电光学材料(如BaTiO3)中的可重构极化域具有数百纳秒的非易失性持续时间,为光学忆阻器提供了另一个强大且关键的候选材料。但需要注意的是,极化域切换的触发条件由BaTiO3的特性决定,包括矫顽场、材料缺陷和晶体取向等,这增加了忆阻器的操作复杂性。此外,铁电光学材料在光子芯片中的晶圆级集成仍然面临困难。基于其他技术(如MEMS和磁光效应)的片上光学忆阻器也被提出,但这些技术需要复杂的制造工艺,并且无法实现多级操作。
石墨烯作为一种承载无质量费米子的半金属,其在室温下表现出极高的载流子迁移率,并在从紫外到太赫兹的宽光谱范围内与光发生极强的相互作用,因此被广泛认为是集成光电子的优秀活性材料。在外加电场作用下,石墨烯的载流子密度可以从1012轻松提升至4×1013 cm−2,导致其在通信波段中的折射率实部(虚部)从∼3.0(∼2.8)调制到接近零(∼0.1)。利用这一特性,如果石墨烯的载流子掺杂状态能够保持住,外加片上集成增强光与石墨烯的相互作用,有望实现一种极具前景的光学忆阻器。
成果介绍
鉴于此,西安电子科技大学的郝跃院士,刘艳教授,韩根全教授,南京大学王肖沐教授和西北工业大学甘雪涛教授合作发表了题为“On-chip optical memristors based on ferroelectric-doped graphene”的论文在Optica期刊上。该工作提出了一种基于铁电掺杂石墨烯的新型片上光学忆阻器。通过铁电薄膜聚偏氟乙烯-三氟乙烯P(VDF-TrFE)对集成在氮化硅(SiN)波导上的石墨烯进行电学栅控。在移除最初施加在铁电层上的电压脉冲后,铁电薄膜与石墨烯的界面处会保留较大的剩余极化,从而对石墨烯形成静电掺杂,使其保持一定的载流子密度和非易失性调控的折射率。因此,混合石墨烯-SiN波导的传输损耗和相位延迟的调制状态得以保持,实现了光振幅和相位忆阻器的功能。在制备的P(VDF-TrFE)栅控石墨烯忆阻器中,实现了高达∼32.5 dB的非易失性调制深度,且编程能量低至∼1.86
pJ/µm2。得益于铁电薄膜的多级极化和稳定性,还展示出半连续的多级存储状态,兼具显著的保持时间(超过10年)和可循环性(波动率<0.9%)。进一步将基于石墨烯的光学忆阻器与级联微环谐振器集成,通过模拟矩阵-向量乘法和数字逻辑门操作的实现,展示了光学并行计算和存内计算的组合功能。凭借近期发展的石墨烯光电子后端CMOS代工技术,所提出的基于石墨烯的片上光学忆阻器在未来大规模制造中具有巨大潜力,并可与硅光子学中最先进的无源和有源器件集成,用于实现高带宽神经形态计算、并行卷积处理、人工智能等应用。
图文导读

图 1. 基于石墨烯的光学忆阻器的几何结构和工作原理。(a) 器件配置示意图。(b) 基于铁电掺杂石墨烯的光学忆阻器的工作机制。(c) 光学忆阻器中石墨烯的折射率实部(n)和虚部(k)以及由此产生的光学传输状态随VG变化的滞回响应示意图。

图 2. 片上石墨烯振幅忆阻器的演示。(a) 制备器件的光学显微镜图像。(b) 在1550 nm特定波长下,栅极电压VG在-20至20 V范围内循环扫描时,测得的波导传输和石墨烯沟道源漏电流IDS变化的滞回曲线。(c) 亚毫秒级光学忆阻器操作演示。(d) SET/RESET操作在400次切换中的可循环性。(e) 两种状态的传输保持时间。(f) 基于石墨烯的光学忆阻器的宽光谱响应。(g) 光学忆阻器的半连续非易失性的多级操作。

图 3. 片上石墨烯相位忆阻器的演示。(a) 制备的带有微环谐振器(MRR)的石墨烯忆阻器的俯视光学显微镜图像。(b) 石墨烯-MRR光学忆阻器在不同状态下的传输光谱。(c) 和 (d) 分别在1531 nm和1561 nm谐振波长附近的放大传输光谱。(e) 和 (f) 在三个特定谐振波长下,Q因子和谐振波长随循环扫描栅极电压VG的滞回响应。(g) 和 (h) 在两个谐振波长下,传输随VG变化的滞回响应。

图 4. 基于石墨烯光学忆阻器的存内矩阵-向量乘法(MVM)光子架构。(a) 为展示计算架构而制备的器件系统的光学显微图像。(b) 制备器件系统的波分复用(WDM)操作演示。(c) MVM演示。

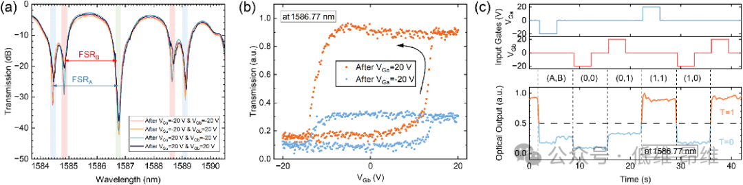
图 5. 基于两个级联石墨烯-MRR的存内逻辑门操作架构。(a) 两个石墨烯-MRR在共同谐振波长(1586.77 nm)附近的传输光谱。(b) 通过在VGa上施加20 V(橙色曲线)或−20 V(蓝色曲线)的脉冲电压将MRRa设置为两种状态后,总线波导在共同谐振波长1586.77 nm处随VGb变化的滞回传输响应。(c) 光学输出传输状态展示AND逻辑操作。
总结展望
总之,本工作作为概念验证,在实验上首次将铁电材料中的滞回响应扩展到集成光电子学领域。值得注意的是,本文提出的非易失性光学忆阻器将存储功能和电光调制功能分别赋予铁电薄膜和活性材料层。这种设计提供了更高的灵活性,因为铁电材料与活性层的组合是多样可选的。通过将石墨烯活性层替换为其他表面载流子主导的电光材料(如透明导电氧化物),同样有望实现片上光学忆阻器。结合硅光子学、石墨烯以及铁电薄膜,所提出的基于石墨烯的光学忆阻器在增强光学信号处理、存内计算、类脑架构等方面具有广阔的应用前景。
文献信息
Yong Zhang, Bing Chen, Jianguo Wang, Zheng-Dong Luo, Ruijuan Tian, Danyang Yao, Xiaomu Wang, Yan Liu, Yue Hao, Genquan Han, and Xuetao Gan, On-chip optical memristors based on ferroelectric-doped graphene, Optica 12, 88-98 (2025)
文献链接:https://doi.org/10.1364/OPTICA.543416
本文来自低维 昂维,本文观点不代表石墨烯网立场,转载请联系原作者。
