第一作者:Shuang Lou
通讯作者:谭晶,Xiucai Sun,刘忠范
通讯单位:北京化工大学,北京石墨烯研究院,北京大学
研究背景
材料的可控和精确合成一直是学术界和工业界的核心追求。随着双电子学研究的兴起,对以原子精度合成取向可控的二维材料的需求日益增长。本研究利用密度泛函理论(DFT)和从头算分子动力学(AIMD)探讨了石墨烯在高指数基底上的生长。研究发现,在高温条件下,原子阶跃对于石墨烯的形成并不占主导地位。这说明在高指数基底上诱导石墨烯取向的内在原子阶跃的可能性被排除了。研究还利用紧密接触指数(CCI)量化了石墨烯与基底之间的界面耦合强度,发现石墨烯与高指数铜表面之间的耦合较弱,导致了石墨烯的取向分散性增加。此外,研究还扩展到了双层石墨烯(BLG),发现了石墨烯与基底界面耦合和石墨烯层间耦合之间的竞争,为控制扭曲角提供了启示。这一理论提供了对于合成取向可控的石墨烯的理论基础。
图文解析


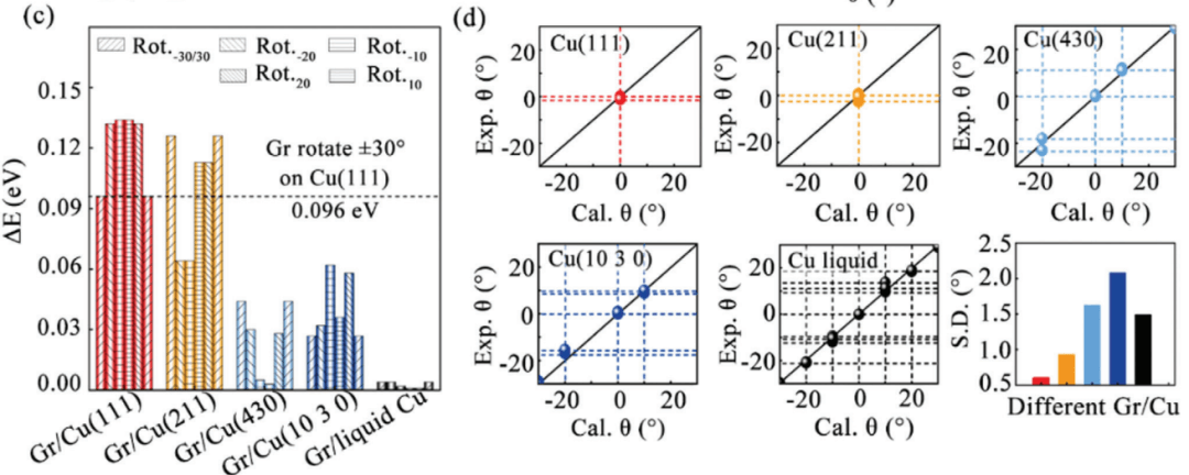
图 4. 不同铜基底上石墨烯生长取向的理论评估。a) C24H12 在高指数铜表面上的示意模型,橙色、灰色和白色球分别代表 Cu、C 和 H 原子。b) Gr/Cu(111)、Gr/Cu(211)、Gr/Cu(430)、Gr/Cu(10 3 0) 和 Gr/liquid Cu 的 Ebind 与相对角度的评估。c) 在 (111)、(211)、(430)、(10 3 0) 和液态铜表面上扭曲石墨烯与热力学稳定石墨烯之间的结合能差 (ΔE)。d) 在测试基底上石墨烯生长取向的实验观察结果与 DFT 预测值的比较,以及 DFT 取向预测值的标准偏差 (S.D.)。

图 5. a) 双层石墨烯生长模式示意图,橙色、灰色和白色球分别代表 Cu、C 和 H 原子。b) C24H12/Gr 的 Ebind 与扭转角度 (𝛼) 的关系。c) 在 Cu(111)、Cu(211)、Cu(410)、Cu(430)、Cu(10 3 0)、液态 Cu 或第一层石墨烯上,石墨烯原子核的结合能分别逐渐扭曲 10°、20° 和 30°。d) 在高指数铜表面(II-III)、[36] 多晶铜箔(IV-VI)[37,38] 和液态铜(VII-IX)基底上生长的 tBLG 扭转角测量示意图 (I) 和典型图像。经授权转载。[37] 2013 年美国化学学会版权所有。经授权转载。[38] 2016 年《Spring Nature》杂志版权所有。[39] 版权归 IOP Publishing 2017 所有。经许可转载。[40] Copyright 2024, John Wiley and Sons.
本文提出了界面耦合诱导生长理论,用于描述和预测石墨烯在高指数表面上的生长取向。研究发现,高指数表面的石墨烯总是包含一些离散的取向,这突显了现有理论的局限性。研究首先提出了“紧密接触指数”描述符来衡量石墨烯与铜基底之间的界面耦合强度,并且发现界面耦合强度与原子结构和电子状态密切相关。进一步的研究结果表明,石墨烯的生长取向主要由Gr/Cu界面耦合决定。高指数铜表面与石墨烯的耦合较弱,导致石墨烯对基底的锚定减弱,进而使石墨烯的取向分散性增加。此外,研究还将界面耦合理论扩展到双层石墨烯,指出扭转角的控制取决于Gr/Cu界面耦合和Gr/Gr层间耦合之间的竞争。该理论不仅适用于石墨烯在高指数铜表面的取向控制,还可应用于其他二维材料在不同基底上的精确控制生长。
参考文献:
S. Lou, X. Ma, Z. Wang, W. Wang, L. Song, X. Sun, Y. Ding, W. Yin, W. Yang, J. Tan, X. Sun, Z. Liu, Interfacial Coupling Induced Discrete Orientation of Epitaxial Graphene on High-Index Cu Substrates. Adv. Funct. Mater. 2024, 2415972.
DOI: 10.1002/adfm.202415972
本文来自学研云课堂,本文观点不代表石墨烯网立场,转载请联系原作者。
