文章亮点
(1)新型透明电极材料:研究人员开发了一种基于石墨烯氧化物(GO)和聚(3,4-乙烯二氧噻吩)-聚苯乙烯磺酸盐(PEDOT:PSS)混合溶液的高度导电透明阳极材料,这种材料通过旋涂法制备,并通过对电极界面的处理进一步提高了导电性能;
(2)能级匹配:混合电极界面处理后,最高占据分子轨道(HOMO)能级得到了改善,有助于提高器件的能量级匹配和空穴注入效率。
文章背景

有机发光二极管(OLED)技术因其在显示和照明领域的广泛应用前景而受到关注,尤其是在寻找替代传统ITO(氧化铟锡)透明电极材料方面,因为ITO存在成本高、资源稀缺等问题。研究者们探索了包括石墨烯、碳纳米管、金属纳米线和导电聚合物在内的多种材料,以期开发出性能更优、成本更低的透明电极,其中导电聚合物PEDOT:PSS因其在柔性设备应用和成本效益方面的优势而备受关注,但低导电性限制了其应用,因此本文研究了通过将石墨烯氧化物(GO)与PEDOT:PSS混合来制备新型透明电极,以期提高其导电性和光点性能。
主要内容

这个流程图展示了石墨烯氧化物(GO)的合成过程,包括准备和纯化两个主要步骤,通过这个流程图,我们可以了解到GO的制备细节,这对于理解后续实验中GO如何影响混合薄膜的导电性和光电性能至关重要。

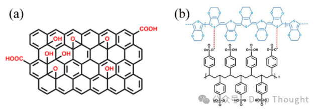
上图展示了GO和PEDOT:PSS的化学结构,有助于理解这两种材料的化学性质和它们如何相互作用,了解这些结构对于解释实验中观察到的现象,如导电性的提高和能级的变化,是必要的。

文章展示了GO/PEDOT:PSS混合薄膜的制备和界面处理的实验流程,包括旋涂形成薄膜、热处理、酸处理以及最后的退火步骤,通过这一流程,研究人员能够精确控制薄膜的形成和特性,特别是通过酸处理显著提高了薄膜的导电性,减少了方块电阻,并改善了薄膜的表面形貌。

OLED的能量级排列对于实现有效的电荷注入和复合至关重要,器件结构的优化,特别是HOMO能级的匹配,有助于降低能量势垒,提高空穴和电子的注入效率,从而提升OLED的光电性能。

图(a)显示了纯PEDOT:PSS薄膜在不同退火温度下的导电性变化,表明随着退火温度的升高,薄膜的导电性增加,并在130°C时达到峰值;图(b)展示了不同体积比的GO与PEDOT:PSS混合薄膜在退火后的导电性,发现在40%的GO比例时导电性达到最大值;(c)则显示了经过界面处理后,纯PEDOT:PSS薄膜和不同比例的GO/PEDOT:PSS混合薄膜的导电性和550nm处的透射率,其中40%的GO/PEDOT:PSS混合薄膜展现出最高的导电性和良好的透光性。

吸收光谱中,225 nm和193 nm处的吸收峰属于PSS-链的苯环取代基的吸收,界面处理后这些吸收峰的强度显著降低,表明薄膜中PSS-组分减少,拉曼光谱显示,未处理的薄膜中PEDOT+链的C=C对称伸缩振动最强峰位于1425 cm-1,界面处理后波数蓝移至1428 cm-1,表明界面处理后薄膜的晶格结构发生了变化。

这些AFM图像显示了薄膜表面形貌的变化,包括表面粗糙度的增加和PEDOT+链结构从卷曲聚集体到线性/扩展卷曲结构的转变,这些变化与薄膜导电性的提高有关。

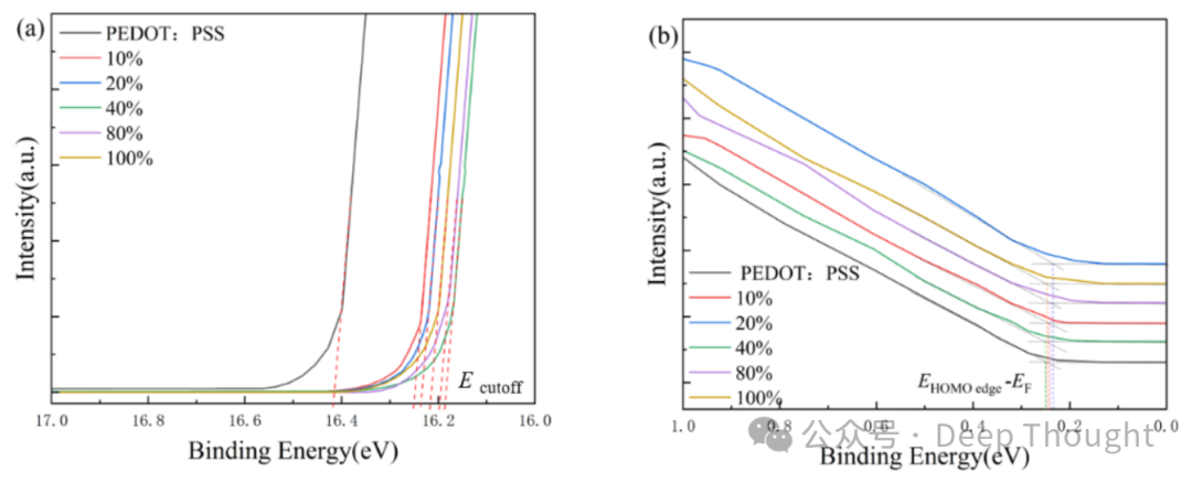
这些UPS测量结果提供了薄膜功函数和最高占据分子轨道(HOMO)能级的数据,显示了界面处理后能级的提高,这对于改善OLED的空穴注入效率和降低开启电压是有益的。

使用GO/PEDOT:PSS(特别是40%比例)作为阳极的OLED器件展现出了更低的开启电压、更高的最大亮度和电流效率,相比于纯PEDOT:PSS和ITO阳极的器件有显著的性能提升,界面修饰进一步增强了这些性能,尤其是对于GO/PEDOT:PSS(40%)混合阳极器件,其最大亮度从20223 cd/cm²提升至36271 cd/cm²,此外,所有器件的EL光谱显示出相同的峰波长,表明不同阳极材料对OLED的发光区域没有影响。

文章通过开发具有优异导电性和透光性的GO/PEDOT:PSS混合薄膜,并将其应用于OLED阳极,显著提升了器件的性能,包括降低开启电压、提高电流效率和亮度,这些成果不仅为透明导电薄膜的研究领域提供了新的材料选择,也为OLED技术的发展和商业化应用开辟了新的可能性,可能会对显示技术和照明行业产生深远的影响。
文章信息
文章的题目是《Hybrid electrode interface modification enhances OLEDs performance》,作者是来自教育部极地材料与器件重点实验室,华东师范大学电子科学系的Yangyang Guo,Xin Li,Bo Li和来自聊城大学物理科学与信息技术学院的Wenjun Wang,该文章发表于2024年4月1日发表在《Optical Materials Express》期刊上。
DOI:10.1364/OME.514680
本文来自Deep Thought,本文观点不代表石墨烯网立场,转载请联系原作者。
