研究背景
随着现代科技的快速发展,对材料的性能要求越来越高,特别是在航空航天、电子设备等领域,对材料的力学性能和功能性提出了更高的要求。陶瓷基复合材料因其优异的耐高温、耐腐蚀和抗氧化性能,在极端热环境中展现出巨大的应用潜力。然而,陶瓷材料的脆性限制了其广泛应用,因此提高陶瓷的韧性和可靠性成为了研究的热点。近年来,通过添加增强体来改善陶瓷的力学性能成为了一种有效手段,但增强体的不均匀分布严重限制了增强效率。此外,随着电磁波(EMW)污染的日益严重,对电磁干扰(EMI)屏蔽材料的需求也日益增长。因此,开发既具有高强高韧特性又具备EMI屏蔽功能的陶瓷材料成为了材料科学领域的一个挑战。
成果简介
在这项研究中,研究人员首先通过冷冻干燥法制备了氧化铝(Al2O3)和二氧化硅(SiO2)的层状多孔陶瓷骨架,然后通过化学气相沉积(CVD)在骨架内原位生长出缺陷石墨烯(DG),接着在氮气氛围下通过热还原SiO2直接原位合成Si3N4纳米线(Si3N4nw),构建了Si3N4nw协同DG增强网络。通过热压烧结(HPS)工艺,制备出了具有优异力学性能和EMI屏蔽效果的陶瓷材料。研究结果表明,所得陶瓷的最佳抗弯强度和断裂韧性分别达到了388.52 MPa和11.29 MPa·m^(1/2),X波段的EMI屏蔽效能高达31.77 dB。
图文导读

图1 展示了Al2O3/SiO2-G-NW的制备过程,包括Al2O3和SiO2粉末的SEM图像,层状结构和表面形貌,以及DG的TEM图像和XRD、Raman光谱分析。

图2 展示了在不同反应温度下Al2O3/SiO2-G-NW的形貌,以及Si3N4nw的TEM图像、EDS分析和XRD谱图。

图3 展示了不同反应时间下Al2O3/SiO2-G-NW的层间和表面形貌,以及Si3N4nw的提取形态。

图4 展示了烧结陶瓷的表面形貌和XRD、Raman光谱分析结果。

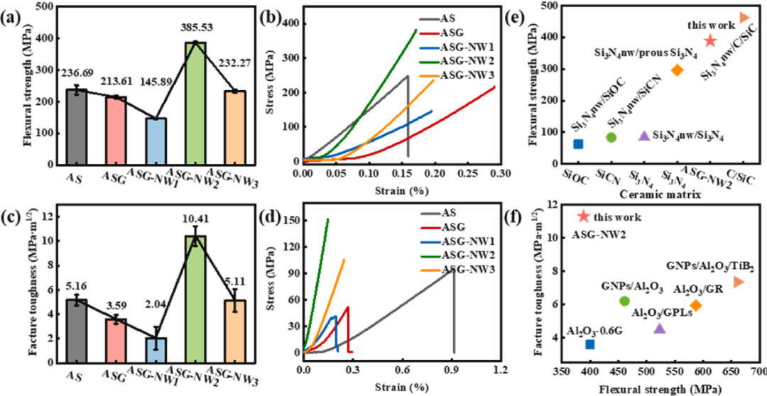
图5 展示了烧结陶瓷的力学性能测试结果,包括抗弯强度、断裂韧性以及与其他陶瓷基复合材料的对比。

图6 展示了烧结陶瓷的三点弯曲裂纹形貌和断裂形貌,以及裂纹扩展路径和断裂过程的示意图。
小结
本研究通过原位生长技术成功地将缺陷石墨烯和硅氮化物纳米线引入到氧化铝陶瓷中,显著提高了陶瓷的力学性能和EMI屏蔽效果。研究人员发现,DG和Si3N4nw的协同作用不仅能够细化陶瓷颗粒、诱导裂纹偏转和分叉,还能够在裂纹扩展过程中通过Si3N4nw的拔出消耗额外的能量,从而显著提高材料的强度和韧性。此外,DG在陶瓷基体中形成了导电网络,对EMI屏蔽效能的提升起到了关键作用。这项研究为高效强化和功能化陶瓷材料提供了新的思路,有望推动相关材料在航空航天、电子设备等领域的应用发展。
文献:https://doi.org/10.1016/j.compositesb.2024.111945
本文来自材料研究进展,本文观点不代表石墨烯网立场,转载请联系原作者。
