研究背景
在宏观领域,辐射传热(RHT)遵循Stefan-Boltzmann定律和普朗克定律。这些定律定义了两个物体之间的辐射热通量的上限,称为黑体极限。由于倏逝波的存在,当两个物体相隔亚波长距离时,辐射热通量可远远超过黑体极限。在一定频率下,激发表面等离子体激元(SPPs)和表面声子激元(SPhPs)等异常电磁响应可以进一步增强RHT。基于这些特性,近场辐射传热(NFRHT)已经在热光伏、热管理、热成像和热记忆等领域展示了潜在的应用。
纳米颗粒间的RHT一直是研究的热点。当纳米粒子的尺寸远远小于热辐射的特征波长时,它们可以在计算中被建模为偶极子。基于这一近似理论,研究人员发现了纳米颗粒间RHT的许多新的物理现象,如热分裂、热路由、热霍尔效应、热超扩散和负微分热导。两个物体之间的NFRHT与光子隧穿概率和参与传热的通道数密切相关。也就是说,通过引入额外的通道或调整光子隧穿概率,可以调制两个纳米粒子之间的RHT。在纳米粒子集成中,多体相互作用会增强或抑制NFRHT,这取决于材料和结构的设计。类似地,在平面多体系统中,通过适当的设计也可以有效地调制辐射热通量。有趣的是,通过引入由板支撑的额外表面模式,预计纳米颗粒之间的热流可以被调节。
当纳米颗粒被放置在平板的一侧时,远程超普朗克传热可以用系统的反射格林函数来定义。如果纳米颗粒之间存在中间板,则能量将通过透射的倏逝场传递。具体来说,当中间结构支持弱耗散双曲模式时,传递的能量将被显著放大。以往的研究主要集中在人工超材料的性能上。然而,作为一种天然的双曲型材料,六方氮化硼(hBN)也有望实现这种增强。此外,石墨烯支持的SPPs可以与hBN的双曲声子极化子(HPPs)耦合,这有助于提高光子隧穿的概率。当石墨烯- hBN (G-hBN)异质结构扩展成多层时,堆叠的金属-介电结构可以产生更有效的双曲性质。所支持的杂化极化子包括表面等离子体-声子极化子(SPPPs)以及双曲等离子体-声子极化子(HPPPs),可以通过石墨烯的化学势和hBN的厚度来灵活调节。因此,我们在本文中研究了G-hBN多层作为中间波导存在时纳米颗粒之间的NFRHT。我们首先讨论了层数和多层厚度等几何参数对辐射热流密度的影响。通过分析G-hBN多层膜介导的纳米颗粒之间的能量传递系数,阐明了增强RHT的物理机制。接下来,我们展示了通过调整石墨烯层的化学势来动态调制RHT的可能性。最后,我们探讨了最外层石墨烯层对能量传输的影响。
研究内容
如图1所示,两个纳米颗粒被放置在G-hBN多层膜的相对两侧。热纳米粒子的能量通过多层膜传递给冷层。半径为r = 5 nm的纳米粒子p1和p2的坐标分别为(x1, y1, z1)和(x2, y2, z2)。多层膜的厚度为h,由N层厚度为t的hBN和N+1层石墨烯组成。

图1,两个纳米粒子位于G-hBN多层膜的相对两侧。(a)能量传输示意图;(b)几何参数示意图。
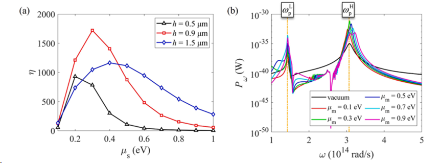
我们考虑如图1所示的系统,其中参数设为z1 = 50 nm, x1 = x2, y1 = y2, p2与多层之间的距离等于z1。温度为T1 = 310k, T2 = Tm = 300k,以保证p2接收的功率只来自p1的辐射。为了量化G-hBN多层膜增强RHT的效果,我们将增强因子定义为η = P /P0,其中上标0表示两个纳米颗粒之间的真空。图2显示了两种GSCS纳米颗粒之间的η随G-hBN多层膜厚度h和层数N的函数关系。计算中,h的取值范围为0.1 ~ 10 μm, N的取值范围为1 ~ 20。随着h的增大,η呈现先增大后减小的趋势。当h约为0.1µm时,多层膜的存在并没有显著提高RHT。当h接近1µm时,η值比真空时提高了3个数量级以上,η值> 103。η值随N的增大而增大,在h = 0.9 μm, N = 13时η值最大,为1722。

图2,两种GSCS纳米颗粒之间的增强因子η与G-hBN多层膜厚度h和层数N的关系。黑色三角形标记表示η最大值的位置。
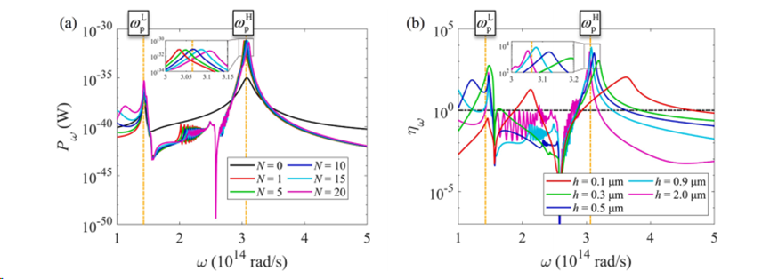
为了阐明G-hBN多层膜几何参数对两种GSCS纳米颗粒间RHT的影响,图3绘制了交换光谱功率Pω。我们在这里展示了LSRs在ωL p = 1.43 × 1014rad/s和ωH p = 3.07 × 1014rad/s的位置。当h = 0.9 μm时,Pω在ωL p和ωHp附近增强。特别是在ωH p处,谱增强系数ηω > 104。通过改变层数N,光谱可以发生频移,从而导致η的变化。如图6(b)所示,当N = 13时,ηω随着h的变化发生频移,且幅度变化明显。当h = 0.9µm时,ηω在ωH p处达到最大值。尽管ηω在h = 0.1 μm处有宽带增强,但ηω的振幅很小,并远离ωH p。

图3,(a) 对于h = 0.9 μm的G-hBN多层膜的不同层数N,两个GSCS纳米粒子之间的光谱功率交换为Pω。(b)当N = 13时,两种GSCS纳米颗粒对不同厚度的G-hBN多层膜的光谱增强因子ηω。
为了更好地理解G-hBN多层膜对RHT增强的潜在机制,我们在图4(a)- (d)中显示了β – ω空间中的传输能量传递系数。为了突出多层膜与真空的对比,我们在图4(e)-(h)中绘制了传输能量传递系数与真空能量传递系数的比值。

图4,(a) h = 0.9 μm, N = 1, (b) h = 0.9 μm, N = 13, (c) h = 0.1 μm, N = 13, (d) h = 10 μm, N = 13时的对数传递能量转移系数ξT。(e)—(h)与(a)—(d)参数相同的传递能传递系数与真空能传递系数ξT /ξ0之比。
我们通过调节G-hBN多层的化学势来研究两种GSCS纳米颗粒之间RHT的动态调节。在图5(a)中,我们绘制了h = 0.5 μm、0.9 μm和1.5 μm时不同化学势μm下的增强因子η。层数设为N = 13。可以看出,对于不同厚度的G-hBN多层膜,η随μm的增大先增大后减小。当h = 0.9µm时,η值在μm = 0.3 eV处达到最大值;当h = 0.5µm和1.5µm时,η值分别在0.2 eV和0.4 eV处达到最大值。当h = 0.5µm时,η可以通过调制μm变化数百倍。图8(b)绘制了两种纳米颗粒在不同μm上交换的光谱功率Pω。G-hBN多层膜的几何参数为h = 0.9µm, N = 13。当μm = 0.3 eV时,G-hBN多层膜的存在可使p ω 在 ωH p提高4个数量级以上。随着μm的增大,波谱变宽,但波幅不断减小。

图5,(a)当N = 13时,两种GSCS纳米颗粒对不同化学势μm的G-hBN多层膜的增强因子η。(b)当h = 0.9µm, N = 13时,两种GSCS纳米颗粒在不同μm上的光谱功率交换Pω。
为了解释上述现象,我们在图6中绘制了μm = 0.1 eV, 0.5 eV, 0.7 eV和0.9 eV, h = 0.9µm, N = 13时的透射能量传递系数ξT。改变μm可以显著影响β−ω空间中ξT的分布。当μm = 0.1 eV时,HPPPs分支在II型双曲区合并,并与高频LSR发生解耦。随着μm的增大,第一分支向高频和小波方向移动,其他分支逐渐减弱。从图4(f)和图6(f)-(h)的能量传递系数比值可以看出,ω Hp处的增强随μm的变化而变化。当μm = 0.3 eV时,G-hBN多层膜支持高达60 k0的杂化极化。随着μm的增大,HPPPs在ω Hp处的波长减小,当μm = 0.9 eV时,其波长仅为30k0左右。这意味着允许通过GhBN多层传输的能量数量减少,导致这种增强效应减弱。

图6,对数传递能转移系数ξT为(a) μm = 0.1 eV, (b) μm = 0.5 eV, (c) μm = 0.7 eV, (d) μm = 0.9 eV。(e)—(h)与(a)—(d)参数相同的传递能传递系数与真空能传递系数ξT/ξ0之比。
我们考虑了多层表面材料对两个纳米颗粒之间RHT的影响。石墨烯作为一种具有优异光学性能的二维材料,常被用于覆盖结构表面以增强RHT。为了考察最外层的影响,我们考虑了两种情况,一种是由G-hBN-G细胞堆叠形成的多层,另一种是由hBN-G-hBN细胞形成的多层。当h = 0.9µm时,相应的增强因子如图7(a)所示。对于每一个N, G-hBN-G细胞堆叠多层的增强效果几乎优于hBN-G-hBN细胞。当N = 4时,G-hBN-G细胞的η值约为hBN-G-hBN细胞的1.63倍。图7(b)显示了N = 4时两种GSCS纳米颗粒之间的光谱功率交换Pω。可以看出,不同电池的η值差异主要是由Pω 在ω Hp的强度引起的。G-hBN-G电池和h = 0.9µm、N = 4时的hBN-G-hBN电池的能量传递系数和真空能量传递系数ξT/ξ0的比值如图7 (c)-(d)所示。可以看出,G-hBN-G细胞在β – ω空间的比值明显强于hBN-G-hBN细胞。也就是说,对于G-hBN多层,石墨烯在最外层的存在激发了更强的HPPPs。

图7,(a)两种GSCS纳米颗粒对不同层数的G-hBN-G和hBN-G-hBN细胞多层膜N的增强因子η。多层膜厚度h = 0.9µm。(b)两种GSCS纳米粒子与G-hBN-G或h = 0.9µm、N = 4的hBN-G-hBN细胞形成的多层膜之间的光谱功率交换Pω。(c) G-hBN-G电池和(d) h = 0.9µm, N = 4时hBN-G-hBN电池的透射能传递系数与真空能传递系数ξT/ξ0之比。
结论与展望
在这项工作中,我们研究了放置在G-hBN多层膜两侧的两个GSCS纳米颗粒之间的NFRHT。通过弱耗散双曲模式,热纳米粒子的能量可以有效地传递给冷纳米粒子。主要结论如下:
1)当G-hBN多层膜的厚度和层数合适时,两种纳米颗粒之间的RHT增强因子可超过1000。这主要是由于石墨烯的SPPs和hBN的HPPs与GSCS纳米粒子的高频LSR耦合形成的HPPs模式匹配,使得k能量传递系数很高。
2)通过调整石墨烯层的化学势,双曲区外的杂化极化子发生了显著的变化,导致纳米颗粒之间的RHT发生了调谐。例如,当厚度为0.5µm时,调整化学势可以使增强因子的值变化数百倍。
3)我们发现由G-hBN-G细胞组成的多层膜的增强因子约为hBN-G-hBN细胞的1.63倍。结果表明,最外层的石墨烯层对增强G-hBN多层膜的能量传递起着重要作用。
论文信息:
Kun Zhang , Bo Zhang , Zixue Luo , Jinlin Song , Qiang Cheng . Enhancement and modulation of near-field radiative heat transfer between nanoparticles by a graphene-hBN multilayer, International Journal of Heat and Mass Transfer ,Volume 236, Part 1, January 2025, 126288
论文链接:https://doi.org/10.1016/j.ijheatmasstransfer.2024.126288
本文来自热辐射与微纳光子学,本文观点不代表石墨烯网立场,转载请联系原作者。
