设计并研究了一种由连续石墨烯条和截断石墨烯条组成的石墨烯超表面简单结构,用于太赫兹的传感和慢光应用。结果表明,利用亮模和暗模之间的相消干涉,我们设计的石墨烯超表面可以产生等离子体诱导透明(PIT)。光学响应的透射光谱、反射率光谱和吸收光谱被费米能级有效调谐,数值结果与耦合模理论(CMT)的理论结果一致。此外,线偏振平面光的偏振角也可调节PIT。有趣的是,由于表面等离子体具有场增强和强色散,我们提出的石墨烯超表面显示出潜在的光学应用潜力,如传感和慢光。传感特性的灵敏度和优值(FOM)分别达到0.7928 THz/RIU和8.12。慢光效应最大群指数为511。因此,我们提出的石墨烯超表面有望在微纳光学传感和慢光器件方面做出重要贡献。

图1. (a)可调谐光学等离子体石墨烯超表面示意图。(b)单晶胞结构的俯视图。

图2. (a)不同石墨烯结构模式(Ef = 0.7 eV)下的光响应透射。(b)亮模倾角和(c)PIT峰值处的模拟电场分布。(d)等效理论耦合模型。

图3. (a)光响应透射和费米能级的关系。蓝色实线和红色虚线分别表示FDTD数值结果和CMT计算结果。(b)dip1、dip2和峰分别和费米能级的关系。(c)透射随费米能级的演化。

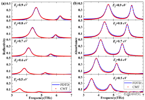
图4. 光响应的(a)反射率和(b)吸收率与费米能级的关系。

图5.石墨烯超表面的透射与偏振角(Ef = 0.7 eV)的关系。

图6.石墨烯超表面的透射谱与折射率的关系(Ef = 0.7 eV)。

图7. FOM值:(a)n = 1.35, (b)n = 1.43,(c) n = 1.525, (d)n = 1.627。

图8. 群指数和相移与费米能级的关系。
相关研究成果由延安大学化学与化工学院Yixuan Wang等人于2022年发表在Diamond & Related Materials (https://doi.org/10.1016/j.diamond.2022.108881)上。原文:Sensing and slow light applications based on graphene metasurface in terahertz。
本文来自 石墨烯研究,本文观点不代表石墨烯网立场,转载请联系原作者。
