研究背景
为了避免现实世界中的噪声和变化的影响,通常要求电子器件具有至少4个数量级的开/关比,以便在现代电子芯片中用作布尔逻辑计算的可靠开关。这实际上要求场效应晶体管(FET)器件的阈值电压(VTH)至少是其亚阈值摆幅(SS)的四倍。同时,芯片的功耗与电源电压(VDD)成正比,这个数量必须大于VTH。因此,芯片性能提升与降功耗协同优化的需求不断增长,最终要求在更低的关断电流(Ioff)下降低VTH,即要求SS值最小的理想开关。不幸的是,传统MOSFET中载流子的玻尔兹曼分布将SS在室温下的热离子极限设定为60 mV dec-1,对于未来芯片技术的发展,打破这一极限是不可避免的。在这方面已经提出了许多晶体管架构。最近,由2D材料组成的异质结器件的引入已被证明可以解决上述一些问题。由于主流芯片工艺技术仍然基于硅平台,这促使探索一种基于硅的器件架构,采用2D材料/硅异质结构漏极,既利用主要的CMOS工艺技术,又利用薄材料的性质。
成果介绍
有鉴于此,近日,复旦大学陆叶研究员,周鹏教授和万景研究员(共同通讯作者)等报道了一种由石墨烯/硅异质结漏极和硅沟道组成的垂直亚阈值摆动器件。这种结构产生了低压雪崩冲击电离(II)现象,导致硅基器件的陡开关。实验测量表明,在六个数量级的漏极电流中,平均亚阈值摆幅为16 μV dec-1,几乎没有迟滞,在室温下发生垂直亚阈值摆幅的工作电压可低至0.4 V。此外,本文实验证明了互补硅基逻辑反相器在2 V电源电压下可达到311的电压增益。文章以“High drain field impact ionization transistors as ideal switches”为题发表在著名期刊Nature Communications上。
图文导读

图1. VSFET的结构和器件表征。(a)在SOI上制作的VSFET的3D示意图。(b&c)VSFET在关断和导通状态下的能带示意图。(d&e)在VSFET的垂直方向和横向方向上DFT模拟的电场轮廓。(f)利用DFT模拟的VSFET的横向电场。(h)VSFET的俯视图伪色SEM图像。(i)VSFET的横截面扫描透射电子显微镜图像。(j)放大的图像。(k)VDS=3 V时,制备的VSFET和MOSFET的对数尺度转移特性比较。
图1a显示了n型VSFET的示意图。它由绝缘体上硅(SOI)中的顶部p–掺杂硅作为沟道和单层p型石墨烯作为漏极组成。HfO2用作栅极电介质,Ti/Au用于栅极电极和源极/漏极接触。沟道宽度为5 µm,沟道长度为3 µm。该器件包含一个Gr-Si异质结漏极、一个硅沟道和一个硅P-N结源级。实现VS的主要机制被认为是利用强电场在Gr-Si异质结中促进II过程和雪崩现象。在关断(图1b)和导通(图1c)状态下,VSFET的能带示意图如图1所示。在关断状态下,器件被负顶栅电压(VTG)偏置,从源极注入的电子被抑制。石墨烯是一种零带隙2D半导体,其费米能级可以通过静电栅控来调节。随着VTG增加,石墨烯逐渐从p型掺杂转变到n型掺杂,导致Gr-Si异质结的耗尽宽度变宽。同时,Gr-Si异质结处的电场急剧增大。此外,硅沟道的能带逐渐向下移动。随着沟道内注入势垒的减小,电子更容易从源极注入到Gr-Si异质结中,如图1c所示。因此,载流子在强电场作用下可以获得足够的动能,在耗尽区产生电子-空穴对,导致雪崩倍增。这主要是因为载流子的II速率随着电场增大呈指数增长。此外,II形成的空穴在SOI中积累,提高了电位,进一步降低了沟道势垒高度(图1c)。这诱导了一个反馈回路,从源极注入更多的电子,并在Gr-Si异质结处产生更多的II空穴。最终,这种正反馈回路有助于突然打开器件,并表现出接近VS的现象。
本文利用密度泛函理论(DFT)和非平衡格林函数(NEGF)计算了Gr-Si异质结处的电场分布,从而确定了增强II的存在。VDS为1 V时,晶体管的垂直和横向电场轮廓分别如图1d和e所示。垂直电场和横向电场都在石墨烯和硅异质结漏极附近达到峰值。在Gr-Si异质结处的垂直电场强度达到17.6 MV cm-1,比靠近源侧无异质结处的垂直电场强度高4.3倍以上,如图1f所示。这种增强归因于石墨烯的高载流子浓度和凹边。此外,VSFET的横向电场峰值出现在Gr-Si异质结漏极的硅区,达到12.1 MV cm-1,比普通硅源极P-N结高出6.5倍以上,如图1g所示。该器件的布局显示在伪色SEM图像中(图1h),说明了石墨烯漏极与金属电极和硅沟道的连接。图1i显示了典型的VSFET的TEM图像。此外,通过EDS获得的详细元素成像显示,在硅表面有均匀的碳层,证实了石墨烯在硅表面的均匀分布。图1j为放大后的TEM横截面图像。石墨烯和硅之间的界面表现出原子级光滑特性,不含杂质,缺陷最小化,表明了高质量的Gr/Si界面,杂质和原子缺陷可以忽略不计。与在类似工艺条件下制造的Si MOSFET(图1k)相比,VSFET具有陡峭的SS,并且两种器件的Ion在0.75 V栅极偏置时达到相同的水平。VDS=3 V时,该晶体管的双极性特性显著降低,电流开/关比>106。

图2. VSFET的室温电学表征。(a)n型VSFET的转移特性。(b)偏置电压为1.5~3 V时n型VSFET的转移特性。(c)30个代表性n型VSFET的SS与输出电流IDS的关系。(d)电压扫描步长为0.1 mV时n型VSFET的转移特性。(e)背栅电压为0~20 V时p型VSFET的转移特性。(f)漏极偏置电压为-2 V至-3 V的p型VSFET的转移特性。
该器件的电学特性如图2a-d所示。图2a显示了在不同背栅电压(VBG)下n型晶体管的转移特性。通过在负方向增加VBG,提高了器件电流的VTG可控性。此外,当VBG为-10 V时,器件的电学特性表现出VS行为。这些现象主要归因于以下机制。一方面,负向VBG的增加提高了底部硅沟道的势垒高度,使得电子难以跨越并到达Gr-Si异质结,从而降低了器件的Ioff。另一方面,它增强了Gr-Si异质结处的电场,当VBG达到特定阈值时,会激活器件中载流子的雪崩倍增,导致器件突然从关断状态切换到导通状态。此外,随着VBG进一步增加,器件的Ioff也会增加。这种增加可归因于Gr-Si异质结处耗尽宽度的减小,这反过来又有利于扩散电流容易通过异质结。当VBG固定在-15 V时,在各个VDS下,60 mV dec-1以下的陡峭SS一致。随着VDS增大,Ion逐渐增大(图2b)。这种优越的Gr/Si异质结电场即使在低VDS(0.4 V)下也能实现陡SS。图2c显示了30个n型VSFET的SS统计分布。所有器件显示SS低于10 mV dec-1,表明制造器件的可重复性。器件的最小平均SS在6个数量级上接近16 μV dec-1(图2d),是所有现有硅基FET中最低的值。将离子注入处的n型掺杂替换为p型掺杂,可以实现p型VSFET。器件的转移特性如图2e和f所示。与n型VSFET相比,p型VSFET表现出相似的电学特性,只是Ion相对较弱,这可能是由于空穴载流子迁移率较低和/或p型器件的制造工艺未优化。

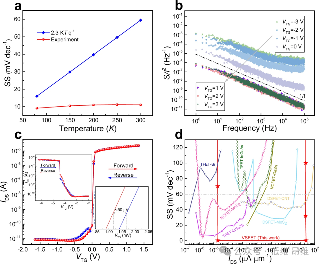
图3. VSFET的性能。(a)SS与温度的关系。(b)室温下不同顶栅极电压的正常噪声功率谱密度与频率的关系。(c)VSFET的正向和反向转移特性曲线。(d)n型VSFET与其他最先进陡坡晶体管技术的基准测试。
为了进一步验证VSFET的输运机制,本文对陡坡转移特性进行了变温试验,提取的SS如图3a所示。典型的MOSFET由于玻尔兹曼分布(2.3 kT q-1)而表现出线性温度关系,与之相反,VSFET的SS对温度变化相当不敏感,这证实了亚阈值输运不是来自热离子发射。此外,在-3 V至3 V的不同VTG下测量电流噪声密度谱,归一化噪声功率谱密度S(f)/I2如图3b所示。所有谱密度均表现出典型的1/f行为。研究还发现,导通状态下的归一化噪声功率密度低于关断状态。当大量载流子被激活时,该器件迅速打开,产生大量电流。器件打开后,其归一化噪声功率密度趋于饱和,并保持不变,无论在VTG的变化。这表明器件内部的载流子已经稳定,不再受到载流子倍增的影响,有利于器件的可靠性。图3c显示了器件的正向和反向转移特性曲线,它显示了一个非常小的迟滞窗口(大约50 µV),这得益于石墨烯和硅之间的高质量界面。本文器件表现出无迟滞窗口的事实表明,它的工作原理超越了纯粹的反馈器件机制,这使得VSFET在低功耗逻辑系统中更加可行。图3d基准测试了室温下SS与归一化漏极电流的关系。VSFET的平均SS值在6个数量级以上保持较低水平(<<1 mV/dec-1),并且在整个亚阈值区域存在最陡的范围,表现出理想的电流开关行为。此外,VSFET显示出优越的I60电流(亚阈值SS等于60 mV dec-1时的电流)密度(~26 μA μm-1),高于任何报道的TFET技术。

图4. 以VSFET为n型FET,传统MOSFET为p型FET制作互补反相器。(a)反相器的3D示意图和电路结构。(b)n型VSFET和p型MOSFET的转移特性。(c)反相器在VDD=1.5 V和2.0 V下的电压传输特性和增益。(d)反相器增益与VDD关系的基准。
本文利用p型MOSFET和n型VSFET的组合完成了互补反相器的表征。相应的电路图如图4a所示。p型MOSFET和n型VSFET的转移特性如图4b所示。此外,图4c表示了反相器的电压传输特性,以及电压增益(Vgain),分别显示了电源电压(VDD)为1.5 V和2 V时的输入电压(VIN)。输入电压(VIN)低(逻辑“0”)时,输出电压(VOUT)高(逻辑“1”)。随着VIN增加(逻辑“1”),VOUT被拉到一个较低的水平(逻辑“0”)。这说明了该反相器的逻辑操作。高VOUT值接近VDD,低VOUT值接近0.1 V,说明两个器件的VTH匹配良好。Vgain随着VDD增加而增加,当VDD为2 V时达到311的峰值,与任何现有的硅基MOSFET反相器相比,这要高得多。此外,随着VDD增大,转变电压(VM)呈现向正VIN右移的趋势。图4d是Vgain与VDD关系的基准,它不仅高于其他陡坡开关器件,而且与报道的2D半导体CFETs和硅基CFETs相比也具有优势。
总结与展望
本文展示了一个具有接近垂直亚阈值摆幅的硅基VSFET。由于Gr-Si异质结漏极,靠近漏极端的硅中的电场显著增强,这大大提高了II速率。利用这一主要优势,可以在低至0.4 V的电源电压下观察到尖锐的开关行为,并且该器件在6个数量级漏极电流下的平均SS为16 μV dec-1,并且在室温下几乎无迟滞(<50μV)。此外,本文还实验展示了一种由传统的MOSFET和VSFET组成的高性能互补FET反相器。该反相器在2 V电源电压下的电压增益高达311。这项研究为开发节能电子器件中的硅基器件铺平了道路。
文献信息
High drain field impact ionization transistors as ideal switches
(Nat. Commun., 2024, DOI:10.1038/s41467-024-53337-8)
文献链接:https://www.nature.com/articles/s41467-024-53337-8
本文来自低维 昂维,本文观点不代表石墨烯网立场,转载请联系原作者。
