研究背景
Weyl半金属(WSMs)作为一类很有前途的材料,由于其卓越的光学和电学特性而受到了相当大的关注,这些特性源于其偶然简并的Weyl节点的非平凡拓扑。此外,磁性wsm由于具有极大的光学回旋性而表现出很强的本征非互易性。因此,它们不需要任何外部磁场,就可以打破时间反转对称性,在光隔离器、非互易热辐射体,甚至NFRHT的扭致调节和热路由中都有很大的潜力。值得注意的是,它们在中红外光谱中也支持被称为Weyl SPPs (WSPPs)的SPPs,并表现出灵活的可调性。这些优点导致了最近基于磁性wsm的NFRHT取得了大量的成就。另一种众所周知的等离子体材料是石墨烯,它也是一种典型的半金属。此外,石墨烯SPPs (GSPPs)可以通过化学掺杂或栅极电压实现可调谐的等离子体色散关系,通过在其他等离子体材料(例如掺杂的Si)上覆盖单层石墨烯片,通过耦合SPPs大大增强和主动调节辐射热流通量。然而,据我们所知,磁性WSMs的GSPPs与WSPPs的耦合机制尚不清楚。
研究内容
在这项研究中,我们研究了两个石墨烯覆盖的具有不同化学势的Weyl板之间的NFRHT。计算了色散关系,证明了WSPPs、GSPPs和耦合SPPs。我们还分析了Weyl节点数和费米能级的影响。最后,考虑到异质结构通常具有较高的可调性,提出了几种典型的异质结构进行比较。
从图1(a)中,两个对称的石墨烯覆盖磁性Weyl板(称为G-Weyl)由真空间隙d分开,并保持在温度T1=(T+ΔT),T2=T。在本研究中,为了简单起见,我们根据Nielsen-Ninomiya定理考虑一个Weyl节点数目为偶数且波向间隔为2b的磁性Weyl板,并选择Weyl板的节点方向沿 z方向,即b = bz (图1(b))。因此,2b类似于施加在磁光板上的外部磁场,但完全归功于磁性wsm的内部电子结构。

图1 (a)在温度T1=(T+ΔT)和T2=T时,厚度为h、间隔为d的两块G-Weyl板之间的辐射换热示意图。(b)所考虑的磁性Weyl板的介电常数。附图显示了Weyl板的带结构,两个手性相反的Weyl节点在波矢量空间中相隔2b。
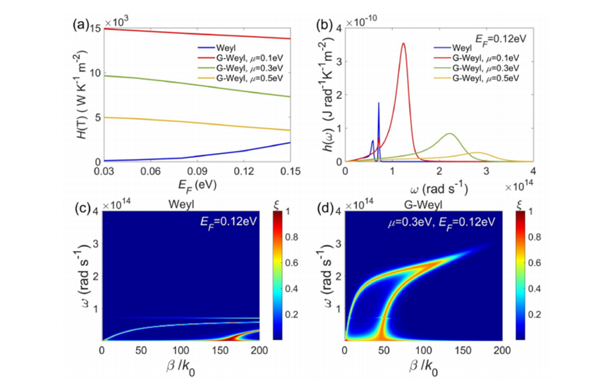
首先,我们考虑了石墨烯的化学势μ对两个G-Weyl板之间NFRHT的影响(图2(a))。间隙距离d = 20 nm, T = 300 K。为了进行比较,还给出了两个裸Weyl板和两个单层石墨烯片的总热传导系数。当μ = 0.1 eV时,两个G-Weyl板之间的总HTC达到最大值14 × 103 W m−2 K−1,是两个裸Weyl板之间的总HTC (2.1 × 103 W m−2 K−1)的7倍。随着μ的增加,总HTC单调下降,但超过两个Weyl板之间的总HTC,直到μ = 0.7 eV。换句话说,根据μ的值,添加单层石墨烯片可以抑制或增强热流密度。当μ = 0.1 eV时,两层单层石墨烯之间的总HTC值为23 × 103 W m−2 K−1,高于G-Weyl构型,但当μ > 0.3 eV时,HTC值急剧下降,变小。对于高μ,两个Weyl板之间的总HTC超过其他两种构型,例如μ = 0.9 eV,分别是两个G-Weyl板和两个单层石墨烯片之间的1.8和3.5倍。为了量化不同构型下总HTC对μ变化的调节,我们定义了α = Hmax/Hmin的调节比,发现G-Weyl和石墨烯构型的调节比分别为= 11.9和35.3。
接下来,我们将重点研究μ = 0.1, 0.3和0.5 eV下石墨烯覆盖对NFRHT的影响。图2(b)描绘了两个裸Weyl板之间和两个G-Weyl板之间的光谱HTCs,以显示传热细节。对于裸露的Weyl板,光谱HTC在ω = 0.9 × 1014 rad s – 1处具有4 × 10−10 J rad−1 K−1 m−2的明显峰值,这是由于Re(εd) = 0(图1(b))导致的epsilon-near-zero (ENZ)效应。第二个峰在0.7 × 1014 rad s−1处,其值要低得多,为0.9 × 10−10 J rad−1 K−1 m−2。当在Weyl板上覆盖μ = 0.1 eV的单层石墨烯片时,由于ENZ效应,峰保持在0.9 × 1014 rad s – 1,但明显降低到0.9 × 10−10 J rad−1 K−1 m−2,而另一个峰变得更高更宽,移至1.3 × 1014 rad s−1。这就解释了为什么两个G-Weyl平板之间的总HTC超过两个裸Weyl平板之间的总HTC。对于较大的μ, ENZ峰变得越来越不明确,而其频率保持不变,因为ENZ效应完全来自Weyl板的固有性质。另一个峰变宽,蓝移,但明显减少;因此,G-Weyl结构的总HTC随着μ的增大而减小。用散射矩阵法计算μ = 0.1 eV时的光谱HTC,与用传递矩阵法计算的光谱HTC基本重合。综合HTCs的相对误差小于4%,表明我们的结果是足够准确的。图2(c)显示了μ = 0.1、0.3和0.5 eV时两种G-Weyl板的总热传导系数随真空间隙距离d的变化规律,总热传导系数随d的增加而减小。当μ = 0.1 eV时,总热传导系数在d = 10 nm处达到26 × 103 W m−2 K−1,在d = 100 nm处降至1.3 × 103 W m−2 K−1,在d = 1000 nm处降至12.9 W m−2 K−1。尽管如此,d = 1000 nm处的所有HTCs总量仍然超过了6.12 W m−2 K−1的黑体极限4σSBT3,其中σSB为Stefan-Boltzmann常数。

图2 (a)两层Weyl板、两层石墨烯板和两层G-Weyl板之间的HTCs总量与石墨烯化学势μ的关系。(b) μ = 0.1、0.3和0.5 eV时,两个Weyl板之间和两个G-Weyl板之间的光谱HTCs。黑色虚线表示μ = 0.1 eV时G-Weyl结构的光谱HTC,采用散射矩阵法计算。(c)两个G-Weyl板之间的总热密度随真空间隙距离d的函数。对于Weyl板,EF = 0.15 eV, g = 2。
为了揭示潜在的机制,传输系数如图3所示。对于图3(a)中的裸Weyl配置,在ω = 0.9 × 1014 rad s−1处出现一条表示ENZ效应的水平亮线。此外,由于两个Weyl板的WSPP耦合,在ω < 0.9 × 1014 rad s−1处存在两个明亮的分支,它们倾向于在更高的β处合并。虚线表示计算得出SPP耦合的低频对称模式(SM)和高频反对称模式(AM)。同样,由于GSPP耦合,两层单层石墨烯片之间的传输系数(图3(b)和(c))也具有更宽频率范围的两个分支,导致μ = 0.1 eV时总HTC高得多。当添加单层石墨烯片时,GSPPs与Weyl板的WSPPs耦合,使透射系数大大改变。与裸Weyl配置相比,GWeyl配置支持的耦合SPPs变得更强,频率范围更宽,从而产生图2(b)中高而宽的HTC峰。低频SM在低频时表现出较小的初始平行波矢量,但与石墨烯结构相同。例如,当μ = 0.1 eV时,G-Weyl和石墨烯构型在近零频率下的β/k0 = 72,而裸Weyl构型的β/k0 = 133。值得注意的是,随着μ的增加,石墨烯覆盖通过将平行波矢量压缩到更小的范围来抑制Weyl板的ENZ效应,导致光谱HTC的ENZ峰低得多。当μ = 0.5 eV时,G-Weyl组态的ENZ效应几乎消失。

图3两个裸Weyl板之间的透射系数(a),两个单层石墨烯片之间的透射系数(b)为0.1 eV和(c)为0.3 eV,两个G-Weyl板之间的透射系数(d)为0.1 eV, (e)为0.3 eV和(f)为0.5 eV。白色虚线表示SPP模式的色散关系。对于Weyl板,EF = 0.15 eV, g = 2。
一般来说,WSMs具有偶数Weyl节点,因此所有节点的总手性消失。现在我们考虑在GWeyl配置中Weyl节点数量对NFRHT的影响。图4(a)比较了有石墨烯片和没有石墨烯片的Weyl板的总HTCs。对于裸露的Weyl板,总HTC随着g的增加而增加,直到g = 16,其最大值为5.5 × 103 W m−2 K−1,是g = 2时的两倍多。石墨烯覆盖显著提高总HTC,特别是对于小g。例如,g = 2(4)的总HTC G-Weyl配置为13.8×103 W m−2 K−1 (12.5×103W m−2 K−1),这是6.5(3.3)倍的新形式的配置,应由耦合的许可证在G-Weyl配置使光谱的峰值明显HTC成为更广泛的新形式的劳动部峰值比配置(图4(b))。与Weyl配置形成鲜明对比的是,随着g的增加,G-Weyl配置的总HTC单调降低,α= 4.4。当g = 40时,两种构型的总HTC几乎相等,因为它们在图4(b)中的HTC光谱只有一个峰,在ω= 2 . 25×1014 rad s−1处差异很小。

图4 (a)裸Weyl和g -Weyl构型的总HTCs随g的变化。(b)当g = 4,16和40时,两种构型的光谱HTCs。计算中μ = 0.1 eV, EF = 0.15 eV。
图5显示了裸Weyl和G-Weyl配置的传输系数。对于两种配置,SPPs的SM和AM分支(包括WSPPs和耦合SPPs)都随着g的增加而向更高的频率移动,而相应的平行波矢量则随着g的增加而减小。水平亮线表示的ENZ效应在g = 40时逐渐减弱并消失,这解释了为什么HTC光谱中只存在一个峰。因此,对于裸Weyl构型,随着g的增大,辐射换热由ENZ为主转变为WSPPs为主。与裸Weyl结构相比,添加石墨烯片显著地产生了更强的耦合SPPs,频率范围更广,特别是在g = 4和16时。因此,当g = 4时,ENZ分支可以穿过耦合SPPs的两个分支。当g = 16时,ENZ和耦合的SPPs分裂,使HTC光谱显示两个可比较的峰。当g = 40时,ENZ分支消失,类似于没有石墨烯的情况。对于G-weyl结构,g的增加抑制了耦合的SPPs和ENZ,从而减弱了NFRHT。

图5 当g = 4,16和40时,两块裸Weyl板之间的透射系数(a) – (c)和两块G-Weyl板之间的透射系数(d) – (f)。计算中μ = 0.1 eV, EF = 0.15 eV。
由于wsm的载流子浓度很容易耗尽,费米能级(EF)与温度有很强的依赖性,磁性WSMs通过电门控和热调谐表现出极好的EFS可调性,从而显著影响介电常数。为了揭示EF对NFRHT的影响,我们在图6(a)中给出了裸Weyl和G-Weyl构型的总HTCs作为EF的函数。随着EF的增加,裸Weyl结构的总HTC增大,为= 17.8,而G-Weyl结构的总HTC减小,α值小得多,μ = 0.1和0.5 eV时,α值分别为1.1和1.4。我们以EF = 0.12 eV为例,在图6(b)中绘制了相应的HTC光谱。与图2(b)相比,EF = 0.15 eV时,EF = 0.12 eV时Weyl板的ENZ峰红移并变得低得多,从而使得尽管低频时WSPPs的SM β较高,但ENZ效应主导的总HTC较少,例如,图6(c)中EF = 0.12 eV时接近零频率时β/k0 = 155。对于G-Weyl构型,与图3(e)和图6(d)的透射系数相比,EF的变化对NFRHT的影响较弱。

图6 (a)裸Weyl和G-Weyl构型总HTCs随EF的变化关系。(b) EF = 0.12 eV时两种构型的光谱HTCs。当EF = 0.12 eV时,两个Weyl板(c)和两个G-Weyl板(d)之间的透射系数。计算中,Weyl板的g = 2。
异质结构通常比单细胞结构具有更高的可调性,可以通过改变层厚度、填充率等来实现。因此,我们比较了几种典型的异质结构,包括G-Weyl板的一个、两个和五个单元(称为单细胞、双细胞和五细胞),以及由两侧覆盖石墨烯片的Weyl板组成的夹层结构。从图7(a)和(b)中可以看出,在这些构型中,单细胞结构由于耦合的spp具有最宽的显峰,从而导致其他结构中最大的总HTC。

图7 (a)裸Weyl、单芯、夹层、双芯和五芯结构的总热通量随μ的变化,以及(b) μ = 0.1 eV时相应的光谱热通量。(c) – (e) μ = 0.1 eV时夹芯、双芯和五芯结构(插图)下的透射系数。计算中,Weyl板的EF = 0.15 eV, g = 2。
结论与展望
我们研究了具有不同石墨烯化学势的G-Weyl板之间的NFRHT,并分析了Weyl节点数g和费米能级EF的影响。对于裸露的Weyl板,ENZ效应主导着NFRHT而不是WSPPs。添加单层石墨烯片在GSPPs和WSPPs之间产生强耦合SPPs,并通过压缩平行波矢量抑制ENZ效应,使HTC显著改变。对于G-weyl构型,g的增加抑制了SPP耦合和ENZ效应,从而减弱了NFRHT,其值为= 4.4。随着EF的增加,G-Weyl构型的总HTC值略有下降,α值小得多,μ = 0.1 eV时α值为1.1,而裸Weyl构型的总HTC值为17.8。考虑到异质结构一般具有较高的可调性,本文还提出了几种典型的异质结构,包括双胞结构、五胞结构和夹层结构进行比较。结果表明,单细胞结构由于具有耦合的SPPs,其峰值最宽,导致总HTC比其他结构最大。这些发现将有助于深入了解表面等离子体耦合辐射传热,并为基于WSM系统的纳米级能量收集和热管理提供机会。
论文信息:
JinLin Song, XinJie Yao, Lin Jin, Lei Chen, HaiLong Zhao & Qiang Cheng.Surface plasmon-coupled radiative heat transfer between graphene-covered magnetic Weyl semimetals,Science China Technological Sciences,2024
论文链接:https://doi.org/10.1007/s11431-023-2598-1
本文来自热辐射与微纳光子学,本文观点不代表石墨烯网立场,转载请联系原作者。
