研究背景
超表面和超材料因其亚波长设计和不同成分的介电响应组合形成的不同寻常的光学特性,已被提出作为控制NFRHT的一个平台。以周期性亚波长结构为特征的超材料,如多层材料、纳米线和纳米孔阵列,在宽频带表现出以超普朗克热辐射为特征的双曲线行为。双曲型超材料也代表了一个有吸引力的系统,其中电磁模式的ENZ特性可以通过其几何参数和介电参数的合理组合来提高NFHRT。由二维球形纳米颗粒阵列(NPs)制成的超表面也证明了它们通过调节系统的有效极化响应来调整辐射热交换的能力。此外,对于NPs的二维有限系综,研究了多体相互作用对远场和近场辐射换热的影响。对于蜂窝晶格的NPs,拓扑效应对辐射热通量的影响已经得到证实。在这项工作中,我们详细研究了排列在二维方形晶格中的两层GCNPs单层之间的NFRHT。我们表明,系统的不同自由度所提供的灵活性允许被动和主动定制热流,与在均匀NPs阵列中观察到的相比,使用德鲁德材料制成核心的GCNPs提高了88%,使用SiC制成核心的GCNPs提高了226%。
研究内容
我们的系统由两个相同的超表面组成,每个超表面都由介电衬底上涂有石墨烯的球形纳米颗粒的二维方形阵列组成。GCNPs浸泡在介电常数εM = 1.0的真空基质中。各衬底的介电常数εS = 1.46。GCNPs方形阵列的几何参数为晶格周期p、球形纳米粒子半径R和石墨烯层厚度wg。超表面放置在不同的温度下:T1 = 320 K和T2 = 280 K,并由距离L满足L≪λth的真空间隙分隔。两个板平行于x-y平面,如图1所示。

图1,该系统由两个超表面组成,每个超表面由半径为R的单层石墨烯包覆纳米颗粒组成,排列在晶格参数为p的二维方形晶格中,并支撑在介电常数εS = 1.46的半无限玻璃衬底上。在一种情况下,纳米颗粒芯由中红外等离子体频率的德鲁德型材料组成,而在另一种情况下,芯由极性介电SiC制成。为简单起见,我们假设纳米颗粒阵列浸泡在真空矩阵中,εM = 1.0。超表面温度分别为T1 = 320 K和T2 = 280 K,真空间隙为L = 50 nm。
我们研究了两个由GCNPs组成的相同超表面之间的NFRHT,这两个超表面排列在二维方形晶格中,分别放置在T1 = 320 K和T2 = 280 K的不同温度下,真空间隙L = 50 nm。总热流密度Q作为纳米颗粒半径R和填充分数PF(定义为PF≡R/p的比值)的函数,如图2中的多色表面所示。正如预期的那样,对于所有粒径的粒子,Q随着PF的增加而增加,因为更密集的填料有利于纳米粒子模式的耦合,从而有利于激发新的晶格模式。另一方面,在PF固定的情况下,随着纳米粒子半径的增加,Q的增加没有我们观察到的那么明显。这种意想不到的行为表明,在这种情况下GCNP大小本身与形成辐射传热有关,我们将在下面讨论。与未涂覆均匀NPs(绿色表面)的超表面相比,当NPs被石墨烯覆盖时,Q值增强。两个GCNP超表面(QGCNP)之间的热流密度相对于两个齐次NP阵列(QHNP)之间的热流密度的相对变化(QGCNP/QHNP−1)× 100用柱状图所示的色标度表示。我们预测,当最大封装PF = 0.5时,GCNPs的超表面之间的热流密度增加了76%。

图2,二维有序GCNPs(彩色表面)和均匀NPs(绿色表面)之间的总热流密度Q是纳米颗粒半径R和填充分数R/p的函数。
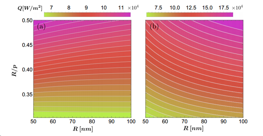
为了阐明NP半径对超表面之间传热的影响,我们在图3中给出了图2中所示的每个表面的等高线图。图3a显示,当PF值为 0.36时,均匀NP的超表面之间的热交换不随NP半径的变化而变化,即Q仅依赖于PF。随着阵列填充密度的增加,可以观察到对半径的轻微依赖。另一方面,当纳米粒子被石墨烯包裹时,超表面之间的热流密度对纳米粒子的尺寸变得非常敏感。另外,注意到对于GCNPs,超表面之间的热流随R的增加而增加,而对于具有致密堆积的均匀NPs,小颗粒达到最大Q。即使超表面被描述为均匀各向异性介质,具有源自EMA的有效介电特性,NFRHT对NP尺寸敏感的原因也可以通过观察纳米粒子极化率对核壳结构的显式R依赖来理解。

图3,总热流密度面等值线图如图2所示。这里(a)对应于二维有序齐次np阵列的情况,(b)对应于GCNP元曲面。每条等高线代表恒定Q的曲线。
有趣的是,石墨烯涂层还改变了两个超表面之间腔内电磁模式的局部密度,从而改变了光谱能量密度S(ω)。在图4中,对于由GCNPs (a)和均匀NPs (b)组成的超表面,我们将S(ω)表示为归一化频率ω/ω0和纳米颗粒尺寸的函数。这里ω0 = 1014 rad / S。由于NP阵列在我们考虑的条件下表现为有效的单轴材料,因此两种模式可以促进热流:表面波(SWs)和双曲波(HWs),它们可以分别在Re ε⊥< 0,Re ε|| < 0和Re ε⊥≷0,Re ε||≷0的频率范围内激发。(a)和(b)的对比表明,当纳米粒子被石墨烯包裹时,SWs和HWs被激发的区域会变宽。此外,对于GCNPs阵列,S(ω)的最大值随着R的增加而向低频移动,这与单个NPs谐振频率的红移一致。另一方面,对于均匀NPs阵列,S(ω)的最大值实际上不随R变化,除了在低频范围内区分两个最大值的小半径,但随着R的增加,它们在频率上重叠。这可能是由于纳米颗粒层的有效宽度随着R的增加而增加,使最外层界面的表面模式解耦。在图4c和图d中,我们分别绘制了GCNP超表面和均匀NP阵列的光谱热通量与填充分数PF的关系。在这两种情况下,我们的观察结果表明,随着PF的增加,SWs频率区域变宽,同时HWs区域变窄。这预测了在PF ~ 0.47附近的超表面的各向同性响应。此外,我们发现GCNP元表面允许在所有PF值的更宽频率范围内激发SWs和HWs(比较(c)和(d))。注意,在低PF极限下,当纳米粒子之间的分离抑制了整个阵列的等离子体模式耦合时,均匀纳米粒子和石墨烯包覆纳米粒子的热流分别在ω/ω0≈0.58和ω/ω0≈1.24处定位在单个纳米粒子表面等离子体共振附近。

图4,光谱热通量S分别与归一化频率ω/ω0和NP半径R(a)和(b),填充分数R/p(c)和(d)的函数关系。
通过对比图5a和图b中分别由GCNPs和均匀NPs组成的超表面之间的能量传输系数,可以说明石墨烯涂层对腔持续模式色散的影响。在这里,我们绘制了归一化面内波向量κc/ω和频率ω/ω0的函数,参数R = 100 nm, PF = 1/3。由于我们认为NP核是由类德鲁德材料制成的,所以石墨烯涂层不会像极性电介质制成的核那样诱发新的等离子体模式的出现。相反,石墨烯外壳显著地改变了已经存在的模式的色散:它复制了可以激发HWs(阴影区域)和SWs(两者之间的频带)的频率窗口,并拓宽了所有这些模式的线宽。后者是模态阻尼增加的结果,这也反映在它们的平面波矢量最大值的减小上。另一方面,对称SWs的上分支的一部分和hw的部分区域落在ε⊥分量显示ENZ行为的频率范围内。这种ENZ行为意味着这些模式沿z方向表现出强大的电场增强。

图5,由两个GCNPs阵列(a)和均匀NPs阵列(b)组成的系统,p极化波的能量传输系数随归一化频率ω/ω0和平行波矢量κc/ω0的函数。
此外,使用石墨烯作为NPs的涂层材料,通过化学势µ调节石墨烯介电常数εg,为系统中的传热提供了额外的自由度。图6显示了µ对GCNPs超表面间总热流密度的影响。当GCNP的核心由具有德鲁德模型给出的介电响应的等离子体材料制成时,GCNP超表面之间的热流密度(红点)超过了两个均匀NP阵列之间的热流密度(水平红线),在化学势µ< 0.35 eV的低值时,热流密度增加了88%。上面的插入图像显示了由均匀NPs(左)和GCNPs(右)组成的系统的Tp系数,该系统具有一个类似drude的核心。后者是用紫色点表示的Q最大值与最佳值µ= 0.1 eV相关联来计算的。石墨烯涂层拓宽了系统不同模式被激发的频率范围,从而增加了系统的热流密度。正如预期的那样,随着µ的进一步增加,SW和HWS区域向更高的频率移动,热光子更难进入,导致Q低于均匀NPs获得的热通量。另一方面,对于由极性介电SiC(蓝点)制成核心的GCNPs,与均匀NPs阵列之间获得的热流相比,Q增加了约µ≈0.45 eV,超过226%,即使在更高的µ值下也继续超过它。下图比较了两组有(右)和没有(左)石墨烯涂层的SiC NPs阵列之间的Tp系数。对于极性介电NPs,石墨烯涂层不仅拓宽了超表面表面模式的频率窗口,而且在低频处还导致了新的等离子体模式的存在,这与均匀NP阵列相比,在大范围的化学势值下提高了系统的NFRHT。

图6,GCNP超表面之间的总热流密度Q与石墨烯涂层化学势µ的函数关系。
结论与展望
我们在这项工作中表明,由涂有石墨烯的纳米颗粒装饰的衬底组成的超表面为控制NFRHT提供了额外的可能性。特别是,与由均匀纳米颗粒组成的两个相同的超表面之间的热流密度相比,这种超表面之间的热流密度对纳米颗粒半径更加敏感。由于石墨烯涂层的影响,纳米粒子半径的增加不仅会作为几何参数调节每个NP在整个晶格中的模式杂交,而且还会使其局部表面模式的共振频率红移,使热光子更容易接近它们。热通量的光谱分析揭示了这一效应,它也显示出由腔所维持的模式可以被激发的频率范围的显着拓宽。此外,使用石墨烯作为NPs的涂层材料,通过其化学势调节石墨烯介电常数,为系统中的传热提供了额外的自由度,从而实现了NFRHT的显著增强。用石墨烯包覆纳米颗粒所实现的可调谐光学特性,为获得能够主动控制NFRHT的动态超表面提供了可能,并拓宽了传热工程的视野。这也有助于研究具有可调光学、电学或热性能的光学、电子、光子和光电子器件的超表面。
论文信息:
Castillo-López, S.G., Cortés-López, S. & Castillo-López, D.N. Control of the near-field radiative heat transfer between graphene-coated nanoparticle metasurfaces. Sci Rep 14, 18316 (2024)
论文链接:https://doi.org/10.1038/s41598-024-69023-0
本文来自热辐射与微纳光子学,本文观点不代表石墨烯网立场,转载请联系原作者。
