研究背景
近场辐射换热(即当换热介质的分离间隙小于或与热波长相当时)可以超过远场黑体极限几个数量级,并且是准单色的。当换热介质热发射表面声子极化子(SPhPs)和表面等离子体极化子(SPPs)等表面模式时,可以实现准单色近场辐射传热(NFRHT)。近场增强的准单色辐射热流已被用于几个潜在的应用,如近场热光伏能量收集和转换、热整流和近场光子冷却。电介质在NFRHT应用中非常有前途,因为这些材料可以热发射SPhPs,从而在给定频率下共振增强热流。然而,只有在相似的介质之间,准单色热流才能得到增强。在这种情况下,两种介质中SPhPs的色散关系完全匹配,导致SPhPs之间在真空间隙上的强耦合。在不同介电介质的情况下,两种换热介质的SPhPs之间存在非常弱的耦合,导致衰减和非单色换热。理论上已经提出,由于石墨烯的SPPs和介电介质的SPhPs之间的相互作用,将石墨烯片放置在一种介电介质上可以显着增加热流。然而,使用石墨烯增强不同介电介质间的近场辐射热通量尚未得到实验证明。在这里,我们通过实验证明,当石墨烯片沉积在SPhP频率较小的介质上时,不同介质之间的NFRHT显著增加。
研究内容
图1a显示了用于测量由真空间隙分隔的两个平面介质之间的近场辐射热流的实验装置示意图。

图1,(a)测量两平面介质间近场辐射热通量的实验装置示意图。(b)发射端和接收端铜散热片之间的热电路。
发射端和接收端铜板的温度设定在所需的值上。加热器和TEC被打开,系统开始等待,直到它达到稳定状态。然后,记录铜板TCu,1和TCu,2的温度和热流密度qHFM。系统的热电路如图1b所示。通过系统的总换热率为Qtot = qHFMAR,其中AR为接收器的表面积。总热率Qtot是由发射器和接收器之间的辐射热率Qrad以及通过间隔柱的传导热率Qcond计算的。我们使用已实现的实验装置来测量两个平面黑体之间的辐射热通量,这些黑体被大小为1mm的真空间隙隔开。我们将测量的热通量与理论预测进行了比较。为此,两块铜板,每一块的表面积为20 × 20 mm2,厚度为4.76 mm,涂上黑体漆(SP102, VHT)。嵌入铜板的温度计温度设置为TCu,1 = 50℃和TCu,2= 20℃。在两个黑体之间放置两个低导热系数kP = 0.12 W/mK的纸板桩,总横截面积AP = 12 mm2,厚度tP = 1 mm,在两种介质之间形成1 mm的间隙。真空室的压力为6.4 × 10−6托。热从热黑体传递到冷黑体通过辐射和传导通过纸板桩。测量了两次热流密度。对于每次测量,加热器和TEC都打开并等待,直到系统达到稳定状态,此时热流通量计被读取。然后,加热器和TEC被关闭,直到设置达到环境温度。在达到热平衡后,以与第一轮相同的方式进行第二轮测量。记录的热通量为qHFM = 219.2和219.5 W/m2,与测量的TCu,1和THFM之间的差值如图2a所示。

图2,(a)热流计(qHFM)测得的总热流(辐射和传导)与发射极侧铜板与热流计(TCu,1-THFM)测得的温度之差。(b)测量到的热流的辐射部分qrad与发射器和接收器之间的温差TE-TR之比。
接下来,实验装置用于测量由纳米级真空间隙隔开的两种相似介质(即两块SiC板)之间的近场辐射换热。测量结果与使用波动电动力学的理论预测进行了比较。SiC板的表面积为15mm × 15mm,厚度为0.43 mm。为了保持冷热面之间的纳米级间隙,在其中一块SiC板上共制作了361根SU-8柱,高度在100 ~ 140 nm之间,横截面积为9 μm2。实验考虑了真空间隙(ΔT)上的6个温差,范围从~ 5到60k。对于每个考虑的温差,实验重复4次,总共得到24个数据点。用于这些测量的真空室的压力保持在1到9 × 10−6托之间。第一轮测量连续完成所有考虑的温差,从最小到最大。然后,加热器和TEC关闭,并设置允许达到热平衡与环境。接下来,加热器和TEC打开,对所有考虑的温差进行第二轮测量。在第二轮测量之后,允许设置冷却。然后,装置从真空室中取出并完全拆卸。重新组装装置,并以与第一轮和第二轮相同的方式进行第三轮和第四轮测量。图2a显示了测量的热通量与测量的TCu,1和THFM之间的差值。使用测量的热流密度和公式1得到的近场辐射热流密度与温差的关系如图2b所示。
我们利用已实现的实验装置来证明,通过在LiF衬底上放置石墨烯片,可以增强两种不同介电介质(即SiC和LiF)之间的近场辐射传输,石墨烯片以低于SiC的频率支持SPhPs。选择SiC和LiF有几个原因。首先,两种材料都支持中红外SPhPs,这些模式可以在低到中等温度下被热激发。此外,这两种材料的SPhPs与石墨烯的SPPs耦合,从而增强热流,可以在石墨烯的小化学势下实现,从而无需门控或掺杂石墨烯。最后,研究级SiC和LiF可以从商业供应商处购买。图2a显示了测量的热通量与测量的TCu,1和THFM之间的差值。
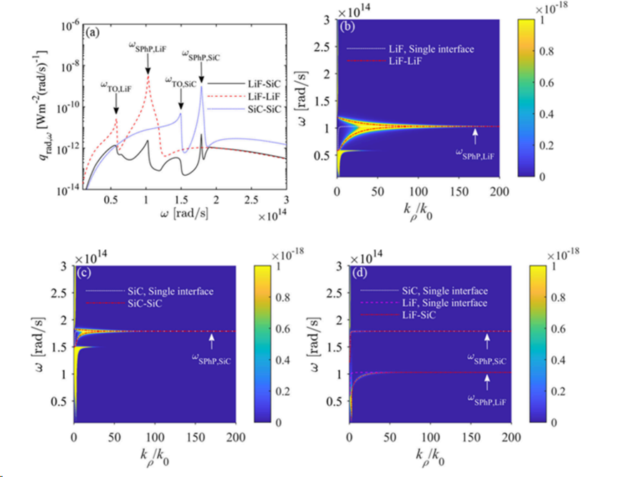
图2b显示,在不同介质情况下,即对于LiF-SiC系统,近场辐射热流密度远小于两个相似SiC板之间的辐射热流密度。LiF-SiC系统的近场热通量甚至小于两个黑体之间的远场热通量。当LiF被石墨烯片覆盖时,LiF和SiC之间的近场辐射热通量增加了2.7至3.2倍(取决于温差),超过了黑体极限。为了理解石墨烯存在下热流增强的物理原理,我们对两个LiF板、两个SiC板、一个LiF板和一个SiC板进行了光谱热流,qrad,ω和每单位kρ的光谱热流,qrad,ω,kρ进行了建模。假设发射极温度为TE = 328.5 K,而接收器温度为TR = 296.6 K。计算了平均间隙尺寸D = 120 nm时的热流密度。图3a比较了三种情况下的qrad,ω,而图3b-d分别给出了LiF – LiF, SiC-SiC和LiF-SiC系统的qrad,ω,kρ。值得注意的是,图3b-d中绘制的qrad,ω,kρ仅包括横磁(TM)极化的贡献,因为三种情况下的热流都是由TM极化的电磁波驱动的。SPhPs的色散关系也绘制在图3b-d中。

图3,(a)理论上预测的LiF-LiF、SiC-SiC和LiF-SiC体系的光谱热通量qrad,ω。在 (b)LiF-LiF, (c) SiC-SiC和(d) LiF-SiC体系中,TM极化电磁波介导的每单位kρ的光谱热通量qrad, ω,kρ。
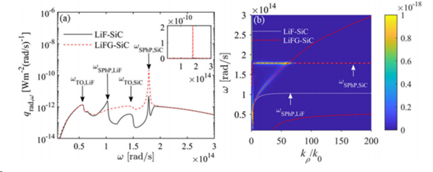
图4a中有石墨烯片的LiF (LiFG)与没有石墨烯的LiF 的光谱热通量进行了比较。在LiF-SiC和LiFG-SiC两种情况下,LiFG-SiC体系的单位kρ光谱热通量和SPhPs的色散关系如图4b所示。石墨烯存在时热通量增强的原因可以用图4b来解释。从图中可以看出,LiF的SPhPs与石墨烯的 SPP s偶联并分裂成两个分支。与LiF-SiC中LiF的SPhP分支不同,LiF的上分支没有水平渐近线,并且继承了石墨烯等离子体的单调递增行为。然而,与SiC的SPhPs相关的色散分支在ωSPhP,SiC处保持其水平渐近线,因为真空间隙阻止了与石墨烯的SPPs的强耦合。

图4,(a)理论预测的LiF和SiC板之间的光谱辐射热流,qrad,ω,与石墨烯覆盖的LiF (LiFG)和SiC板之间的预测结果进行比较。插入图显示了光谱热通量与频率的线性关系。(b)由TM极化电磁波介导的LiFG-SiC体系每单位kρ, qrad, ω,kρ的光谱热通量。图b中还绘制了LiF-SiC和LiFG-SiC体系的色散关系。
结论与展望
我们实验测量了两种由介电材料制成的宏观平面介质之间的近场辐射热流,介质之间的真空间隙大小为~ 100-140 nm。实验分别在两个SiC板、SiC和LiF板以及石墨烯覆盖的LiF和SiC板上进行。测量结果表明,不同介质间(即LiF与SiC之间)的近场辐射热流密度明显小于相似介质间(即SiC与SiC之间)的近场辐射热流密度。这是由于SiC和LiF的表面声子极化子(SPhP)频率不匹配,这使得这两种介质的SPhP模式在真空间隙之间不允许强耦合。我们通过实验证明,当LiF被石墨烯片覆盖时,LiF和SiC之间的近场辐射热通量根据温差增加了约2.7至3.2倍。在这种情况下,石墨烯的表面等离子体激元(SPPs)与LiF的表面等离子体激元(SPhPs)耦合,产生一个随波向量单调增加的耦合SPP – SPhPs分支,并与色散关系的SiC分支相交。这种耦合过程产生了高效的电磁模式,具有相对较大的波向量,与存在非常弱耦合的LiF-SiC情况相比,增加了热流密度。还可以看出,与不使用石墨烯片的情况相反,在SiC的SPhP频率下,石墨烯存在时LiF和SiC之间的热流是准单色的。我们的研究证明了石墨烯在具有不匹配表面共振的介质之间实现增强和准单色近场热通量的潜力,这可以有利于热管理应用和能量转换技术,如热光伏和热光子学。
论文信息
Mehran Habibzadeh, Md.Shofiqul Islam, Philippe K.Chow,and Sheila Edalatpour. Enhancing Near-Field Radiative Heat Transfer between Dissimilar Dielectric Media by Coupling Surface Phonon Polaritons to Graphene’s Plasmons, ACS Photonics, 2024
论文链接:https://doi.org/10.1021/acsphotonics.4c00963
本文来自热辐射与微纳光子学,本文观点不代表石墨烯网立场,转载请联系原作者。
