全文概述
充分利用石墨烯的特性将需要一种大规模生产这种非凡材料的方法。有两种主要途径是可能的:大规模生长或大规模剥落。来自Trinity College Dublin的Jonathan N. Coleman教授团队展示了浓度高达∼0.01 mg mL-1的石墨烯分散体,该分散体是通过石墨在N-甲基-吡咯烷酮等有机溶剂中的分散和剥离产生的。这是可能的,因为剥离石墨烯所需的能量被表面能与石墨烯相匹配的溶剂与石墨烯的相互作用所平衡。作者通过拉曼光谱、透射电子显微镜和电子衍射证实了单个石墨烯片的存在。他们的方法产生∼1 wt%的单层产率,通过进一步加工,这有可能提高到7-12 wt%。通过X射线光电子、红外和拉曼光谱证实了缺陷或氧化物的不存在。他们能够生产半透明导电薄膜和导电复合材料。石墨烯的溶液加工开辟了一系列潜在的大面积应用,从器件和传感器制造到液相化学。相关内容于2008年以High-yield production of graphene by liquid-phase exfoliation of graphite为题发表在Nature Nanotechnology (IF=38.3)上。
图文解析
石墨烯的新的电子性质已经被很好地记录;电荷载流子表现为无质量Dirac费米子,并且已经观察到新的效应,例如双极场效应、室温量子Hall效应和Born–Oppenheimer近似的破裂。石墨烯单层也被证明是液晶器件中的透明电极。然而,正如纳米管和纳米线研究早期的情况一样,石墨烯面临着许多新材料共有的问题—缺乏高产率生产石墨烯的方法。用于制造石墨烯的标准程序是微机械切割。这是迄今为止最好的样品,载流子迁移率高达200,000 cm2 V−1 s−1。然而,如此获得的单层在大量薄石墨薄片中形成可忽略不计的部分。此外,很难想象如何将这一过程扩大到大规模生产。或者,石墨烯的生长通常也通过退火SiC衬底来实现;然而,这些样品实际上由许多畴组成,其中大多数是亚微米尺度,并且在更大的长度尺度上,它们的数量或大小在空间上并不一致。许多工作也报道了石墨烯在金属衬底上的生长,但这需要通过机械转移或溶液处理将样品转移到绝缘衬底上,以便制造有用的器件。
最近,大量论文描述了氧化石墨烯(GO)的分散和剥离。这种材料由类似石墨烯的薄片组成,用羟基和环氧化物等化合物进行化学功能化,这些化合物在水中稳定薄片。然而,这种功能化破坏了石墨烯的电子结构。事实上,GO是一种绝缘体,而不是半金属,在概念上不同于石墨烯。虽然官能团可以通过还原去除,但到目前为止,这留下了大量的缺陷,这些缺陷继续破坏电子性质。因此,迫切需要一种非共价、溶液相方法来生产大量无缺陷、未氧化的石墨烯。在本文中,Jonathan N. Coleman教授团队提出了一种这样的方法。
他们表明,通过石墨在某些有机溶剂中的非化学溶液相剥离,可以以显著的产率生产高质量的单层石墨烯。这项工作建立在50多年来对石墨化学剥落的研究基础上。以前,插层石墨可以通过涉及插层剂的反应、通过热冲击或通过可膨胀石墨的酸处理来部分剥离。然而,迄今为止,这种方法已经给出了薄的石墨片或石墨烯碎片,而不是大规模的石墨烯单层。到目前为止,对这个问题的反应是化学修饰形式的石墨烯如GO或功能化石墨烯的剥离。然而,这种材料不是石墨烯,因为它们是含有许多结构缺陷的绝缘体,到目前为止,这些缺陷不能通过化学处理完全去除。他们的方法以∼1 wt%的产率产生高质量、未氧化的单层石墨烯。他们表明,该工艺有可能得到改进,以产生高达12 wt%的起始石墨质量与沉淀物回收。作为一种溶液相方法,它是通用的,它可以按比例放大,并且它可以用于在各种环境和基底中沉积石墨烯,这些环境和基底不能使用切割或生长方法。此外,它还可用于生产石墨烯基复合材料或薄膜,这是许多应用的关键要求,如薄膜晶体管、用于铟锡氧化物替代或光伏的导电透明电极。
石墨分散
最近,碳纳米管已经在少量溶剂如N-甲基吡咯烷酮(NMP)中成功剥离。发生这种剥离是因为溶剂和纳米管侧壁之间的强相互作用意味着剥离和随后的溶剂化的能量损失变小。他们认为,这些溶剂和石墨烯之间可能会发生类似的效应。为了测试这一点,他们通过水浴超声处理在NMP(分光光度等级,>99.0%)中制备了过筛石墨粉(Aldrich产品332461,批号06106DE)的分散体(参见补充信息,第S1.2节)。超声处理后,他们获得了由均匀相和大量宏观聚集体组成的灰色液体。与纳米管分散体一样,这些聚集体可以通过温和的离心去除,得到均匀的深色分散体。在图1a中示出了在不同石墨浓度下制备的这种分散体。尽管离心后三周内会出现中等水平的沉降和聚集,但分散体在制备后至少五个月仍保持高质量(见补充信息,S2.4节)。

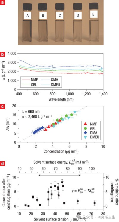
图1:石墨分散体的光学特性。
a,石墨薄片在NMP中的分散体,离心后浓度范围为6 µg mL−1 (A)至4 µg mL−1(E)。b,分散在NMP、GBL、DMA和DMEU中浓度为2 – 8 µg mL−1的石墨薄片的吸收光谱。c,光吸光度(λex = 660 nm)除以细胞长度(A/l),作为石墨烯在四种溶剂NMP、GBL、DMA和DMEU中浓度的函数,显示Lambert-Beer行为,平均吸收系数〈α660〉 = 2,460 L g−1 m−1。x轴误差线来自测量溶液中石墨烯/石墨质量的不确定性。d,对一系列溶剂离心后测量的石墨浓度与溶剂表面张力的关系图。数据由吸光度(660 nm)转换而来,使用A/l = 〈α660〉C,〈α660〉 = 2,460 L g−1m−1。离心前的原始浓度为0.1 mg mL-1。y轴误差线代表从五次测量中计算出的标准偏差。右轴显示的是离心后剩余材料的百分比。在顶轴上,表面张力已使用表面熵的普适值Ssolsur ≈ 0.1 mJ K−1 m−2转换为表面能。水平箭头显示了石墨表面能的文献报道值的大致范围。
为了找到离心后的浓度,他们将石墨分散体通过聚偏二氟乙烯(PVDF)过滤器。仔细测量过滤质量,考虑残留溶剂,给出离心后分散相的浓度。对已知成功分散纳米管的其他三种溶剂重复该程序:N,N-二甲基乙酰胺(DMA)、γ-丁内酯(GBL)和1, 3-二甲基-2-咪唑烷酮(DMEU)。然后通过UV-Vis-IR吸收光谱表征这些分散体,并绘制吸收系数与波长的关系图(图1b)。光谱在可见光—红外区域如预期的那样无特征。将这四种分散体中的每一种稀释多次,并记录吸收光谱。吸光度(660 nm)除以比色皿长度与浓度的关系图(图1c),显示了所有溶剂的Lambert-Beer行为,〈α660〉 = 2,460 L g−1m−1。
因此,很明显,石墨可以分散在一些溶剂中。正如他们将要展示的,石墨在NMP、GBL和DMEU(如果不是其他溶剂的话)中几乎完全剥离成小于5层的多层结构。此外,还存在大量的单个单层。问题是什么样的溶剂性质导致了石墨的剥落?
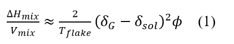
这种剥落只有在净能量消耗非常小的情况下才会发生。在化学中,这种能量平衡表示为混合焓(每单位体积),在这种情况下,他们可以近似地计算为(见补充信息,S6.0节):

其中δi = √(Esuri)是相i表面能的平方根,Tflake是石墨烯薄片的厚度,φ是石墨烯体积分数。令人想起Hildebrand-Scratchard方程,这表明混合焓取决于石墨烯和溶剂表面能的平衡。对于石墨,表面能被定义为当剥离两片时克服van der Waals力所需的单位面积能量。
根据方程(1),他们预计表面能与石墨烯相匹配的溶剂的剥离能量成本最小。为了测试这一点,他们将石墨分散在各种溶剂中。通过测量轻度离心后的光学吸光度,并使用吸收系数(660 nm)将吸光度转化为浓度,则可以量化分散的石墨薄片的量,作为溶剂表面能(从表面张力计算,见图1标题)的函数,如图1d所示。正如预测的那样,对于表面能非常接近纳米管/石墨表面能的文献值(即∼ 70–80 mJ m−2)的溶剂,分散浓度显示出强峰值。结合方程(1),这强烈表明不仅分散在良好溶剂中的石墨的混合焓非常接近于零,而且溶剂—石墨相互作用是van der Waals而不是共价的。此外,它预测良好溶剂的表面张力在40–50 mJ m−2范围内。此外,他们可以从这些数据中看出,对于最佳溶剂(苯甲酸苄酯),离心后剩余8.3%质量的原始材料。(就NMP而言,仍为7.6%)
确定离心后保持分散的材料的剥离状态至关重要。首先,他们检查了初始石墨粉末的状态。扫描电子显微镜(SEM)研究(图2a)显示起始粉末由横向尺寸<500 µm且厚度<100 µm的薄片组成。相比之下,离心后分离的沉积物含有小得多的薄片,横向尺寸为几十微米,厚度为几微米(图2b)。显然,超声处理导致初始薄片破碎,最大的薄片通过离心去除。他们注意到,由于起始粉末中的微晶尺寸>150 µm,制备过程必须导致微晶撕裂。这个过程可能类似于超声诱导的碳纳米管的碎裂。

图2:石墨和石墨烯的电子显微镜。
a,筛分的原始石墨的SEM图像(比例尺:500 µm)。b,离心后沉积物的SEM图像(比例尺:25 µm)。c-e,分别从GBL(c)、DMEU(d)和NMP(e)沉积的单层石墨烯薄片的明场TEM图像(比例尺:500 nm)。f,g,折叠石墨烯片和多层石墨烯的明场TEM图像,两者都是从NMP沉积的(比例尺:500 nm)。h,对于NMP分散体,薄片的视觉观察数量作为每个薄片的单层数量的函数的直方图。
石墨烯剥离的证据
通过将少量的每种分散体滴到多孔碳网格上,可以使用透射电子显微镜(TEM)来研究材料保持分散的状态。至关重要的是,这种技术比以前用于制备用于TEM的石墨烯的技术更简单,后者涉及放置在硅衬底上的石墨烯的欠蚀刻。在本技术中,具有石墨分散体的优点是显而易见的。图2c-g显示了通常观察到的物体的明场TEM图像,这些物体通常分为三类。第一类,如图2c-e所示,包括单层石墨烯。第二,在许多情况下,他们观察到折叠的石墨烯层(图2f)。第三,他们发现双层和多层石墨烯(图2g)。在所有情况下,这些物体的横向尺寸通常只有几微米。在某些情况下,纸张边缘倾向于轻微滚动和折叠(参见补充信息,图S3b)。然而,他们很少观察到厚度超过几层的大型物体。因此,他们认为,在这些样品中,石墨已经被广泛剥离,产生单层和几层石墨烯。通过分析大量的TEM图像,密切注意薄片边缘的均匀性,他们可以产生如图2h所示的薄片厚度统计。根据这些数据,他们可以估计单层石墨烯在NMP分散体中的数量分数(单层数量/观察到的薄片总数)为28%。这相当于溶液相单层质量分数(所有单层的质量/观察到的所有薄片的质量)为∼12 wt%,导致总产率(单层的质量/起始石墨质量)为∼1 wt%(见补充信息,表S2和S2.3节)。事实上,他们还发现沉积物可以回收以产生具有单层石墨烯的数量和质量分数的分散体,他们已经测量到单层石墨烯的数量和质量分数分别为∼18%和7 wt%。这表明沉积物完全回收的可能性和最终产量增加到7-12 wt%(相对于起始石墨质量)。
单层膜的电子衍射识别
通过分析电子衍射图案,可以对石墨烯进行更明确的鉴定。作为这方面的一个例子,图3a、b分别示出了石墨烯单层和石墨烯双层。图3b特别有趣,因为薄片的右侧由至少两层组成,而在左侧,单个单层突出。图3c示出了图3a中薄片的垂直入射电子衍射图案。该模式显示了石墨/石墨烯预期的典型六重对称性,允许用Miller–Bravais (hkil)指数标记峰。图3d,e显示了图3b中薄片的法向入射选定区域衍射图案,分别用靠近黑点和白点的光束位置拍摄。这意味着他们期望一个图案(图3d)反射单层石墨烯,而另一个图案(图3e)反射多层石墨烯。在这两种情况下,看到类似于图3c中的六边形图案。图3d和图3e之间的主要区别在于,对于多层(图3e),{2110}点相对于{1100}点看起来更强烈。这是一个重要的观察结果,对于具有Bernal(AB)堆叠的多层,计算研究表明强度比为I{1100}/I{2110} < 1,而对于单层,强度比为I{1100}/I{2110} > 1。事实上,在所有图像中被识别为多层的所有物体显示出I{1100}/I{2110} < 1的比率,表明AB堆积在这些样品中占主导地位。

图3:来自TEM的单层石墨烯的证据。
a,b,溶液浇铸单层(a)和双层(b)石墨烯的高分辨率TEM图像(比例尺500 nm)。c,a中薄片的电子衍射图案,峰由Miller-Bravais指数标记。d,e,电子衍射图案,分别取自b中所示的薄片的黑色(d)和白色斑点(e)的位置,使用与c中相同的标签。石墨烯在d中明显是一层厚,在e中是两层厚。f-h,分别为c-e中所示图案沿1-210至-2110轴拍摄的衍射强度。i,收集的所有衍射图案的{1100}和{2110}衍射峰的强度比率的直方图。比率>1是石墨烯的标志。
这种对这些薄多层中AB堆积的识别允许通过检查强度比I{1100}/I{2110}来区分单层和多层石墨烯。为此,他们为图3f-h中的图3c-e中的图案绘制了穿过(1–210)–(0–110)–(–1010)–(–2110)轴的线段。在图3f、g中,他们看到内峰(0–110)和(–1010)比外峰(1–210)和(–2110)更强烈,证实了图3a中的薄片和图3b中由黑点标记的区域都是单层。相反,图3h示出了比外部峰强度小的内部峰,证实了图3b中的白点周围的区域由一个以上的层组成。通过测量作为倾斜角函数的衍射峰强度,可以进一步证实单层石墨烯的存在(参见补充信息,S2.8节)。
他们可以利用{1100}峰与{2110}峰的强度之比给出单层与多层的明确局部识别这一事实来提供单层石墨烯产率的信息。在测量强度比I{1100}/I{2110}之前,他们测量了45片薄片的衍射图案。这些比率在图3i中绘制为直方图。他们得到了双峰分布,峰中心在I{1100}/I{2110} = 0.35和I{1100}/I{2110} = 1.5,分别代表多层和单层石墨烯。这些结果与报道的双层石墨烯的I{1100}/I{2110} ≈ 0.4和单层石墨烯的I{1100}/I{2110} ≈ 1.4的实验强度比非常一致。尽管这些数据表明单层石墨烯的产率为51%,但这肯定是高估了,因为当光束入射到突出的单层上时,选定区域电子衍射可以给出多层的单层样图案,例如图3b中的图案。如图2h所示,通过计算每个薄片的层数可以得到更好的统计。然而,他们可以使用电子衍射来检查图像分析的准确性,表明可以可重复地使用它来识别单层石墨烯,从而证实了图2h中呈现的结果。通过Raman光谱测量TEM识别层也证实了单层的存在。
无缺陷石墨烯的证据
尽管图1d暗示了van der Waals型溶剂—石墨烯相互作用,但明确排除任何可能改变电子结构的无意的基面功能化是至关重要的。图4a显示了三种不同薄片的Raman光谱与大块石墨的光谱进行比较。通过将光斑分别聚焦在大直径(∼5 µm)和小直径(∼1 µm)薄片上,在氧化铝过滤器上真空过滤制备的薄膜上测量光谱2和3。光谱4是在非常大的双层(>10 µm)上测量的。G线(∼1,580 cm−1)和2D线(∼2,700 cm−1)在所有情况下都清晰可见。然而,由于边缘效应,D峰(∼1,350 cm−1)仅在非常小的薄片的光谱中可见。这些数据,特别是单个双层的光谱,表明他们的方法没有引入显著的结构缺陷,例如共价键合到基面的环氧化物。此外,他们记录了沉积在标记的TEM网格上的单个薄片的Raman光谱,使他们能够从TEM图像和2D带的形状中识别单层、双层和多层,证实了他们剥离的质量。此外,如图4b所示的X射线光电子能谱和红外光谱显示不存在通常与GO相关的氧化。这些实验再次证实,他们可以在溶液中生产高质量的未氧化石墨和石墨烯薄片。

图4:无缺陷石墨烯的证据。
a,块体石墨的拉曼光谱(1),激光光斑聚焦在大(∼5 µm)薄片上的真空过滤膜(2),激光光斑聚焦在小(∼1 µm)薄片上的真空过滤膜(3),大(∼10 µm)双层(4)。注意,对于光谱2和4,D线不存在,表明实际上不存在缺陷。对于小薄片(光谱3),弱D线是明显的,与边缘效应一致。b,薄膜(∼30 nm)的碳1s核心级XPS光谱,从石墨烯分散体真空沉积并在室温下在真空炉中干燥。为了清楚起见,Shirley的背景被去掉了。主拟合线代表石墨碳(C-C)。其余的∼286 eV可以很好地拟合,只考虑剩余的NMP,而不需要任何氧化线。较小的拟合线代表残余NMP;碳环,NMP环中的碳与两个氢原子结合;C-N,NMP分子中的碳与氮原子结合;C=O,NMP环中的碳双键连接到一个氧原子上。左图:NMP拟合线的放大图(组合和单独)。右插图:NMP的结构。
液相剥离的进一步表征
他们可以通过使用这种石墨剥离方法来制作石墨烯薄膜,从而简要说明这种方法的潜力。Raman和扫描电镜分析表明,这些膜主要由少于五层的薄石墨薄片组成。X射线光电子能谱测量显示,这些薄膜在室温下以 ∼1 × 10−3 mbar干燥后,残留NMP为∼11 wt%。在随后的400 °C真空退火后,该值保持不变。燃烧分析得出室温干燥后的NMP含量为∼10 wt%(∼1 × 10−3 mbar),退火后可降至<7 wt%。这些薄膜的电导率为∼6,500 S m−1,类似于还原氧化石墨烯薄膜,光学透明度为42%。
他们还展示了高体积分数的聚苯乙烯—石墨烯复合材料。对于60–80 vol%的薄膜,他们测量了这种复合材料的电导率为∼100 S m−1,与导电性最强的聚合物—纳米管复合材料相当,并且显著高于氧化石墨烯基复合材料的报价。最后,他们通过喷涂的方式在SiO2表面沉积了石墨烯单层和多层,证明了这种处理方法有可能用于制备微电子应用的样品。
结论
他们展示了一种可扩展的方法,从粉末石墨中生产高质量的未氧化石墨和石墨烯薄片。通过使用某些溶剂,石墨烯可以以高达0.01 mg mL−1的浓度分散。然后,这些分散体可用于通过喷涂、真空过滤或滴铸来沉积薄片。通过添加聚合物,它们可以变成聚合物复合分散体。他们相信这项工作开辟了一个全新的潜在应用前景,从传感器或设备到透明电极和导电复合材料。
本文来自研究碳点生,本文观点不代表石墨烯网立场,转载请联系原作者。
