研究背景
随着全球变暖、环境污染和化石燃料的枯竭,对可再生、可持续和生态友好的能源需求日益迫切。在各种电化学储能设备中,超级电容器(SCs)因其高功率密度和比电池更好的可回收性而备受关注。然而,这些设备相对较低的能效比限制了它们在工业上的广泛应用。超级电容器主要分为两类:基于电极和电解液界面上离子电荷积累的电化学双层电容器(EDLCs),以及通过可逆的法拉第反应提供电容的伪电容器。为了提高超级电容器的能量密度,研究者们通过调控多孔结构、特定表面积、孔形态以及复合和引入杂原子到电极材料表面等策略,以增加EDLC和伪电容的份额。石墨烯基电极因其独特的内在特性,如卓越的机械强度、优异的热导性、大的比表面积、显著的电子传输特性和可调节的带隙,已成为超级电容器应用的焦点。石墨烯氧化物(GO)作为石墨烯的一种衍生物,含有丰富的含氧官能团,这些官能团使GO易于在不同基质、有机溶剂和水中分散,并且GO的表面易于通过这些官能团进行功能化。在本研究中,研究者们首次通过简便的合成路线,使用谷氨酰胺稳定镍,制备了Ni(II)@胺功能化石墨烯氧化物复合物(Ni@A-GO),并作为高性能超级电容器电极进行了理论和实验研究。
成果简介
在这项研究中,研究者们成功地合成了一种新型的Ni(II)@胺功能化石墨烯氧化物复合物(Ni@A-GO),并将其作为超级电容器电极进行了深入研究。通过傅里叶变换红外光谱(FTIR)、X射线衍射(XRD)、拉曼光谱、扫描电子显微镜(SEM)和能量色散X射线光谱(EDX)等技术对合成样品进行了表征。理论计算显示,与纯的石墨烯氧化物(GO)相比,Ni@A-GO具有显著更高的量子电容。实验结果与理论预测一致,Ni@A-GO表现出了高达1136 F g−1的高比电容,以及在5 A g−1电流密度下84%的显著电容保持率,以及在三电极系统中12000个循环的良好稳定性。此外,使用Ni@A-GO作为正极和活性碳(AC)作为负极组装的不对称二电极装置(Ni@A-GO//AC),在2 A g−1的电流密度下展示了478 F g−1的优异比电容和5000个循环的良好稳定性,显示出其作为高性能超级电容器电极的实际应用潜力。
图文导读

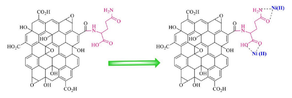
图1 展示了Ni(II)@胺功能化石墨烯氧化物复合物的制备过程的示意图,清晰地说明了合成步骤和材料之间的相互作用。

图2 包含了FTIR光谱、XRD模式、拉曼光谱和N2吸附-脱附等温线,这些数据为Ni@A-GO的化学结构和物理特性提供了直观的证据。


图3 和 图4 通过SEM图像和EDS分析,展示了Ni@A-GO的表面形貌和元素分布,证实了复合物的成功合成和元素的均匀分布。

图5 展示了GO和Ni@A-GO的态密度(DOS)、量子电容(CQ)和净电荷图,这些理论计算结果为理解材料的电子特性和电容性能提供了重要信息。


图6 和 图7 展示了CV曲线、GCD曲线、比电容和Nyquist图,这些电化学测试结果证明了Ni@A-GO电极材料的卓越性能。


图8 和 图9 通过TEM图像和电化学性能测试,进一步证实了Ni@A-GO电极材料在长期循环后的稳定性和不对称超级电容器装置的实际应用潜力。
小结
本研究成功开发了一种新型的Ni(II)@胺功能化石墨烯氧化物复合物(Ni@A-GO),作为超级电容器电极材料,具有显著提高的电容性能和稳定性。通过理论计算和实验验证,Ni@A-GO展现出了卓越的量子电容和比电容,以及在高电流密度下良好的电容保持率和长周期稳定性。此外,组装的不对称超级电容器装置也显示出了优异的电化学性能和稳定性,证明了Ni@A-GO作为超级电容器电极材料的实际应用潜力。这项研究不仅为超级电容器电极材料的设计和制备提供了新的思路,也为推动清洁能源存储技术的发展做出了重要贡献。
文献
https://doi.org/10.1021/acsaem.4c00564
本文来自材料研究进展,本文观点不代表石墨烯网立场,转载请联系原作者。
