研究背景
微米和纳米通道中的超快流动为各种应用提供了显著的优势,包括电子冷却,脱盐,能量收集和生物医学芯片。近年来,一些理论和实验研究揭示了碳纳米管和原子级薄石墨烯中超快滑移流的发生。石墨烯以其柔韧性和优异的物理性能而闻名,使其更容易作为通道表面上的涂层应用。现有文献中关于石墨烯纳米通道内流动测量的报道非常有限,对石墨烯上的滑移流动还缺乏全面的了解。首先,对于石墨烯纳米通道,在碳纳米管中观察到的滑移流的通道尺寸依赖性尚未阐明。此外,一些模拟研究预测滑移长度会随着温度的升高而下降,但这一关键的温度依赖性方面,对于高温环境中的应用(如电子冷却)尤其重要,尚未进行实验研究。
研究内容
如图1a所示,连接两个储层的纳米通道涂覆有单层石墨烯并覆盖有玻璃板。沟道器件通过一系列纳米纤维工艺在具有400 nm厚的氧化层的硅晶片上制造,包括电子束光刻、湿法蚀刻、石墨烯转移和阳极键合。总体而言,我们制备并测试了12个石墨烯纳米通道样品,长度为2 mm或3 mm,均匀宽度为30 um。其中八个纳米通道深约120 nm,一个深约78 nm,另外三个深约290 nm。图1b示出了120 nm深的石墨烯纳米通道的石墨烯表面的拉曼光谱,其中弱D带指示其高质量。图1c和d显示了120 nm深样品的AFM高度图像,从中我们确定了1.15 nm的表面粗糙度。所有样品均表现出约1 nm的相似粗糙度。

图1 实验系统和样品表征。a 观察石墨烯纳米通道中水弯月面运动的实验装置。b 120 nm深的石墨烯纳米通道的石墨烯表面的拉曼光谱。c和d 120 nm深石墨烯纳米通道的原子力显微镜(AFM)高度图像
将纳米通道芯片放置在温控加热器上和高速相机(FASTCAM Mini AX50,Pho Microtron)下方。此外,使用固定在晶片上的K型热电偶监测纳米通道芯片的温度。在实验过程中,我们缓慢地将一滴去离子水放入纳米通道一端的储液器中。液滴在毛细管力的作用下以可忽略的初速度缓慢扩散并接触到石墨烯纳米通道的入口,然后被吸入纳米石墨烯通道。在整个毛细管填充过程期间的水弯月面运动由具有500 fps的帧速率的高速相机记录,如图2b所示。

图2 a 在石墨烯纳米通道中的横截面水速度分布的示意图。b 在120纳米深的石墨烯纳米通道中,水弯月面位置随时间变化的高速相机图像。c 转移到纳米通道晶片上的石墨烯上的水接触角。d 玻璃盖上的水接触角。
在图3a中,当温度范围从21 ℃到85 ℃时,获得的滑移长度在大约20 nm到80 nm的范围内变化。我们对六个样本(样本1、2、3、8、9和10)进行了温度相关测量,由图中连接符号的线表示。这些样品始终显示出随着温度升高而减少的趋势。值得注意的是,样品8表现出最显著的摩擦减少,其滑移长度从21 ℃下的35.8 ± 3.6 nm减少到61 ℃下的28.8 ± 5.5 nm,减少了五分之一。观察到随着温度从25 ℃升高到77 ℃,石墨烯上的水滑移长度从约1.50 nm显著降低到约25 nm。随着壁温从77 ℃增加到125 ℃,石墨烯上的流体动力学滑移长度从38.78 nm略微减小到37.84 nm。滑移长度随着温度的升高而减小,这可归因于原子动能的增强,因此,由于在升高的温度下原子碰撞而产生的动量转移。图3b示出了测量的滑移长度和通道深度之间的相关性,表明石墨烯纳米通道中的水滑移长度倾向于在每个温度下随着通道深度的增加而一致地增加。证明了当狭缝宽度在0.1 nm至10 nm范围内时,石墨烯狭缝中的水滑移长度几乎保持恒定。此外,MD模拟没有考虑双电层(EDL)力。在我们的测量结果中观察到的滑移长度的沟道深度依赖性可以通过随着沟道深度减小而增加的水分子和石墨烯之间的EDL相互作用来阐明。所研究的通道深度明显小于德拜水的长度,约为1 um。然而,考虑到我们研究的样品数量和沟道深度有限,我们不能忽视污染、表面电荷变化以及石墨烯与底层衬底之间接触质量的影响。

图3 水滑移长度的测量结果。a 测得的滑移长度与温度的关系。b 测得的滑移长度与通道深度。
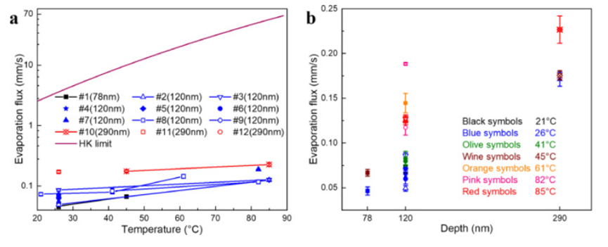
图4a描绘了测量的蒸发通量与温度的关系图,赫兹-克努森极限其表征了液体蒸发在液-汽界面处的动力学极限。同时,图4b显示了测量的蒸发通量与通道深度的关系。在石墨烯纳米颗粒通道中获得的蒸发通量,宽度范围从78到290 nm,在21 ℃到85 ℃的温度范围内从大约0.05 mm/s到0.25 mm/s变化,比赫兹-努森极限低一到两个数量级。值得注意的是,这些蒸发通量表现出增加的趋势,随着温度的升高和更大的通道深度。例如,在通道深度为120 nm的样品#8的情况下,蒸发通量几乎翻了一番,从21 ℃时的0.073 ±0.004 mm/s增加到61 ℃时的0.145±0.011 mm/s。同时,在290 nm深的石墨烯纳米通道中测量的蒸发通量比在78 nm深的通道中测量的蒸发通量高出数倍。

图4 蒸发通量的测量结果。a 所测得的蒸发通量与温度以及赫兹-努森极限沿着绘制。b 实测蒸发通量与通道深度的关系
总结与展望
综上所述,虽然之前对石墨烯的滑移流测量仅限于室温,但我们同时测量了石墨烯纳米通道中的水滑移长度和蒸发通量,这些通道深度不同,范围从室温到85°C。我们采用了毛细管流动模型与毛细管蒸发相结合,这是一个在高温下不容忽视的因素。测得的水滑长度范围约为20 nm至80 nm,随温度升高而减小。这种与温度相关的行为归因于在较高温度下通过固液界面的动量传递增强。此外,随着通道深度从290 nm减小到78 nm,测得的水滑长度呈减小趋势。随着通道深度的减小,这种趋势可能与增强的双电层相互作用有关。石墨烯纳米通道中测得的蒸发通量范围约为0.05 mm/s至0.25 mm/s,比Hertz-Knudsen极限低一到两个数量级。随着温度的升高和通道深度的增加,蒸发通量呈增加趋势。这种温度和通道深度依赖性可以用毛细管蒸发理论来解释。这些实验结果增强了我们对石墨烯纳米通道中滑移流和毛细管蒸发的温度依赖行为的理解,为电子冷却、热驱动能量收集和太阳能海水淡化等各个领域提供了宝贵的见解。
论文信息:
Kun Cheng , Qin-Yi Li , Zhenying Wang . Temperature-dependent water slip flow combined with capillary evaporation in graphene nanochannels. International Journal of Heat and Mass Transfer 225 (2024) 125451
论文链接:https://doi.org/10.1016/j.ijheatmasstransfer.2024.125451
本文来自传热与传质,本文观点不代表石墨烯网立场,转载请联系原作者。
