全文概述
来自Lawrence Berkeley National Laboratory的Taisuke Ohta教授和Aaron Bostwick教授描述了沉积在绝缘碳化硅上的双层石墨烯薄膜的合成,并报道了使用角分辨光电发射表征其电子能带结构。通过选择性地调节每层中的载流子浓度,库仑势的变化导致价带和导带之间间隙的控制。这种对能带结构的控制表明双层石墨烯在原子级电子器件中开关功能的潜在应用。相关内容于2006年以Controlling the Electronic Structure of Bilayer Graphene为题发表在Science (IF=56.9)上。
图文解析
碳基材料如碳纳米管(CNT)、石墨嵌入化合物、富勒烯和超薄石墨膜表现出许多奇异现象,如超导性和反常量子霍尔效应。这些发现重新引起了人们对超薄石墨层电子结构的兴趣,如石墨烯:一个单一的六方碳层,是这些材料的组成部分。在制造和操作的快速进展的推动下,有强烈的动机将石墨烯多层集成到原子级设备中。
我们研究了石墨烯双层的价带(VB)结构,并证明了通过选择性控制石墨烯层中的载流子浓度,可以很容易地调节狄拉克交叉附近的能带结构。在原子级开关器件中,通过改变双层膜上的电场,原则上可以实现类似的控制。
石墨烯的电子状态可以在基本的计算方案中很好地描述。石墨烯是一层扁平的碳原子,排列成六边形晶格,每个晶胞有两个碳原子。在四个价态中,三个sp2轨道与三个相邻的碳原子形成σ态,一个p轨道发展为离域π和π*态,形成最高的占据VB和最低的未占据导带(CB)。石墨烯的π和π*态在六方布里渊区(BZ)的角(K点)处简并(图1A)。这种简并发生在所谓的狄拉克交叉能量ED,其在正常半填充条件下与费米能级(EF)一致,导致点状金属费米表面(图2E)。

图1. 石墨烯的单层(A)、对称双层(B)和不对称双层(C)的电子结构。能带只依赖于面内动量,因为电子被限制在二维平面内运动。狄拉克交叉点在能量ED。

图2. 双层石墨烯π、π*和σ态的能量-动量色散关系。(A到C)沿高对称方向的能量-动量色散。(D至F)在 EF、EF –0.4 eV = ED和EF –2 eV时的恒定能量等值线。高对称点、方向和BZ区边界如(D)所示。
严格地说,未掺杂的石墨烯是一种半金属,因为尽管在ED=EF处存在态交叉,但那里的态密度为零,并且只有在有限温度下热激发的电子才可能导电。在应用VB和CB的有效质量描述时,人们在所得微分方程和狄拉克方程之间得到了形式上的等价,因此EF附近的电荷载流子可以被称为“狄拉克费米子”(K处的交叉点被称为狄拉克点)。此外,BZ边界处的特殊能带结构(即线性色散)导致VB和CB交汇处的有效质量m*=0。超薄石墨层中特殊的能带结构导致了许多不寻常的电子输运性质,例如反常的量子霍尔效应。
石墨烯能带结构对晶格对称性很敏感。如果六角层结构由不等价元素组成,如氮化硼,横向面内对称性被打破,导致π和π*态之间形成大间隙。如McCann和Fal’ko(图1B)所建议的,通过以Bernal堆叠(石墨的堆叠方式)堆叠两个石墨烯层,也可以相对于c轴打破对称性。因为双层的晶胞包含四个原子,它的能带结构获得两个额外的能带,π和π*态,在每个被层间(A-B)耦合分裂的谷中,以及两个较低的能带。如果双层中的单个石墨烯层变得不等效(图1C),则在前狄拉克交叉点处形成低能带之间的能隙。假设电荷状态使得EF位于间隙内,则发生半金属到绝缘体的转变。如果这种对称性破缺可以在外部控制,电子电导率将通过这种转变发生变化,这表明可以构建两个原子层厚度的开关。
为了观察这个gedanken实验是否可以实现,他们按照文献(13)中的配方,在碳化硅(SiC)衬底(具有(0001)取向的6H多型)上合成了双层石墨烯膜,并使用角分辨光电发射光谱(ARPES)测量了它们的电子性质。当最初生长时,他们的膜具有轻微的n型掺杂,这是通过耗尽衬底的掺杂剂载流子获得的。因为在低温下测量,SiC中的掺杂剂电子被冻结,衬底是近乎完美的绝缘体,而留在膜中的多余载流子已经与它们的掺杂剂原子分离,具有高迁移率。因为SiC态与EF和ED都很好地分离(SiC VB位于EF之下∼2.6 eV,CB位于EF之上∼0.4 eV),他们可以认为双层石墨烯态实际上与衬底解耦,因此代表真正的二维半金属。
这些薄膜可以承受高电流密度。在30 K的温度下,这足够冷以排除通过衬底的任何传导,我们可以通过400 mA通过宏观样品(5 × 15 mm),对应于每个石墨烯C原子的~1 nA(1010至~1011电子/s)的电流,这与报道的单壁CNT和石墨烯多层的数量级相同。
双层的对称性被SiC的耗尽层和界面附近的石墨烯层上的电荷积累之间产生的偶极场打破,使得两个石墨烯层在所制备的膜中的电荷和静电势不相等。我们可以通过在真空侧沉积钾原子来诱导进一步的n型掺杂,钾原子将它们的孤价电子贡献给表面层,形成另一个偶极子。这些表面偶极场和界面偶极场共同作为对称破缺因子,它控制在交叉能量ED处的间隙的存在或不存在(图1,B和C)。两个石墨烯层之间的净偶极场是由沿c轴的短屏蔽长度(∼4 Å)引起的,这与层厚度(∼3.4 Å)相当。在外加场中,在石墨和石墨烯多层的表面观察到类似的电荷局域化。
图2 A到C显示了用ARPES测量的π、π*和σ态沿高对称方向的结合能-动量色散关系。π态的~0.4-eV分裂(如图1B所示)证实了样品主要由两层石墨烯组成。在图2 A和B中,可以清楚地观察到交叉点ED,因为该双层通过SiC衬底的载流子耗尽而被n型掺杂。在EF附近π和π*态动量空间的恒能等值线中(图2,D到F),可以清楚地看到ED上方和下方的电子和空穴。除了初级双层石墨烯态之外,还可以识别围绕初级态的π和π*态的六个弱复制品,特别是在图2F中。低能电子衍射显示,生长在SiC衬底上的石墨烯层显示出几乎相称的超结构,其相对晶格常数(6√3 × 6√3)相对于衬底旋转30°,这是因为石墨烯晶格常数~2.46 Å和SiC晶格常数3.07 Å之间的差异。π和π*态的复制品可能是由这种超结构以类似于其他几乎不公度系统的方式散射而产生的。
在图3中示出了掺杂双层的效果,该图将制备的膜(图3A)与两种钾覆盖进行了比较。他们的样品主要由双层石墨烯组成,但根据制备条件,他们在探针区域内发现了单层或三层石墨烯的少数区域;这些少数域的贡献已经从图3中的数据中减去。除了由于载流子浓度的增加而使π和π*态向更高的结合能或多或少地刚性移动之外,上部未占据的π*态在每晶胞n=0.0125个电子时下降到EF 以下(图3B),并且随着更高的钾覆盖率而继续下降。每个阶段的电子载流子密度由Fermi表面相对于石墨表面BZ的相对尺寸确定。

图3. 通过钾吸附改变掺杂水平的间隙闭合和重新打开的演变。显示了制备的石墨烯双层的实验和理论带(实线)(A)和钾渐进吸附的(B和C)。根据费米表面的相对尺寸估计的每个晶胞的掺杂电子数显示在每个面板的顶部。
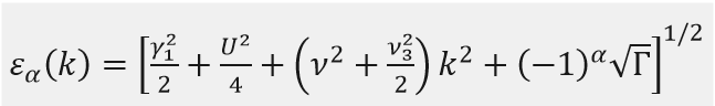
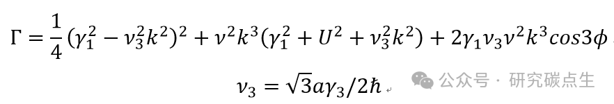
在强度图旁边绘制的是计算的紧束缚带(实线),其中BZ的K点附近的低洼电子态由简单的4 × 4哈密顿量的解描述为

其中带指数α=1,2

这里k是Å–1中的动量,ϕ是方位角,v是能带速度(m/s × ħ × 1010),U是两层的现场库仑势差,γ1 (eV)和γ3 (eV)是面外最近邻和次近邻相互作用参数,a (Å)是石墨晶格常数。这些参数被调整以在大的能量范围内再现测量的能带结构。选择U来匹配K点的间隙。
图3中最重要的特征是K点处表观间隙的变化:首先在图3A中打开,然后在图3B中闭合,最后在图3C中再次打开。这种间隙变化通过他们的紧束缚计算再现,并归因于如上所述的两层相对电势的变化。远离K点,间隙通常比预测的要小,因为延伸到π和π*带之间间隙的尖点比模型中的尖点要尖锐得多。结果,未覆盖膜的间隙(图3A)没有被清楚地分辨,尽管从π*带边缘的平坦和ED处光谱权重的缺乏中谱带的移动是显而易见的。对于更高的掺杂,产生了足够的不对称性,使得在图3C中间隙明确地打开。
测量的双层石墨烯的π*态(图3C)与紧束缚带不一致,特别是在EF以下约200 meV,其中在带中观察到轻微的扭结。这可能是由于电子-声子耦合引起的电子质量重整化。
为了系统地跟踪π和π*态之间的间隙的演化,作为掺杂的函数在K点(图3中带的中心切割)处的光电发射光谱显示在图4A中。蓝色标记是紧束缚π和π*带的位置。π和π*态的数据和计算能量清楚地显示了能隙的闭合和重新打开。黄线是能量差EF – ED,其相对于生长时的样品增加了约0.32 eV,反映了膜的总体掺杂水平。

图4. K点状态随钾覆盖率增加的变化。(a)图像图显示了K处的能量分布曲线作为钾覆盖率的函数。蓝色标记是紧结合π和π*带的拟合位置,黄色线表示ED。π和π*态之间的间隙的闭合和重新打开被清楚地显示出来。(B)掺杂浓度对能带参数U和γ1的影响。
载流子浓度的变化对能带结构有显著的影响,这是从实验结果与紧束缚计算的比较中得出的(图4)。库仑电位差U在能隙闭合的电子浓度处显示符号变化。预期U随着任一石墨烯层中电荷差的增加而增加,这是由相应界面处的场引起的。我们已经根据泊松方程,基于0.4 eV的肖特基势垒高度,假设无限厚的石墨烯多层,估计了每个石墨烯层的电势,并且发现对于制备的样品,第一层和第二层之间的电势差显示出与根据紧束缚模型中评估的间隙尺寸估计的库仑电势差U合理一致。石墨烯层中产生的电场在大小上类似于器件结构中感应的电场。此外,在γ1中可以看到单调的增加,γ1测量层间相互作用作为两层中电子浓度的函数。这表明,在较高的电子密度下,相邻石墨烯层的π轨道之间的重叠增加。这可能是由于较短的筛选长度导致较小的层间距离。
本文来自研究碳点生,本文观点不代表石墨烯网立场,转载请联系原作者。
