全文概述
来自University of Manchester的A. K. Geim教授于2004年首次报道了单晶石墨膜,它只有几个原子厚,但在环境条件下仍然是稳定的,具有金属性的,质量非常高。他们发现薄膜是二维半金属,在价带和电导带之间有微小的重叠,并且它们表现出强的双极电场效应,使得通过施加栅极电压可以感应出浓度高达1013个/cm2且室温迁移率为10,000 cm2/V·s的电子和空穴。相关内容于2004年以Electric Field Effect in Atomically Thin Carbon Films为题发表在Science (IF=56.9)上。
图文解析
通过外部施加电压来控制材料电子特性的能力是现代电子学的核心。在许多情况下,正是电场效应允许人们改变半导体器件中的载流子浓度,从而改变通过它的电流。随着半导体工业逐步接近目前以硅为主技术的性能提升极限,人们不断寻找可以通过电场来控制其特性的新的、非传统的材料。最近,这种材料最著名的例子是有机导体和碳纳米管。长期以来,将场效应的使用扩展到金属一直很有吸引力(例如,开发全金属晶体管,这种晶体管可以缩小到比传统半导体器件小得多的尺寸,消耗更少的能量,并以更高的频率工作)。然而,这将需要原子级薄的金属膜,因为电场在极短的距离(<1 nm)被屏蔽,并且与场效应可诱导的表面电荷相比,金属中的块状载体浓度较大。如此薄的薄膜往往热力学不稳定,在几纳米的厚度下变得不连续;到目前为止,这已被证明是金属电子学不可逾越的障碍,并且没有金属或半金属显示出任何显著的(>1%)场效应。
A. K. Geim教授团队报告了在一种被称为少层石墨烯(FLG)的天然二维(2D)材料中观察到的电场效应。石墨烯是密集堆积在苯环结构中的单层碳原子的名称,广泛用于描述许多碳基材料的性质,包括石墨、大富勒烯、纳米管等(例如,碳纳米管通常被认为是卷成纳米大小圆柱体的石墨烯片)。平面石墨烯本身被认为是无法自由存在的,因为相对于弯曲结构如烟灰、富勒烯和纳米管的形成,它是极不稳定的。
然而,作者团队已经能够制备厚度低至几个原子层的石墨片(包括单层石墨烯),并用它们制造器件,并研究它们的电子性质。尽管薄膜薄到原子级,但质量仍然很高,因此2D电子传输在亚微米距离上是弹道式的。已知没有其他类似厚度的膜在环境条件下甚至是金属性差或连续的。使用FLG,他们演示了一种金属场效应晶体管,其中导电通道可以通过改变栅极电压在2D电子气和空穴气之间切换。
他们的石墨烯薄膜是通过高度取向的热解石墨的小台面的机械剥离(重复剥离)制备的。这种方法被发现是高度可靠的,并可以制备尺寸高达10 μm的FLG膜。厚膜(d ≥ 3 nm)直径可达100 μm,肉眼可见。图1显示了制备的膜的例子,包括单层石墨烯。为了研究它们的电子性质,他们将薄膜加工成放置在SiO2衬底上的多端Hall棒器件,以便可以施加栅极电压Vg。他们研究了60多个d < 10 nm的器件。主要关注的是最薄的FLG器件的电子特性,它只包含一个、两个或三个原子层。对于2D半金属来说,所有FLG器件都表现出基本相同的电子性质特征,这不同于对于较厚的多层石墨烯观察到的更复杂(2D加3D)的行为以及3D石墨的性质。

Fig. 1. Graphene films. (A) Photograph (in normal white light) of a relatively large multilayer graphene flake with thickness ∼3 nm on top of an oxidized Si wafer. (B) Atomic force microscope (AFM) image of 2 μm by 2 μm area of this flake near its edge. Colors: dark brown, SiO2 surface; orange, 3 nm height above the SiO2 surface. (C) AFM image of single-layer graphene. Colors: dark brown, SiO2 surface; brown-red (central area), 0.8 nm height; yellow-brown (bottom left), 1.2 nm; orange (top left), 2.5 nm. Notice the folded part of the film near the bottom, which exhibits a differential height of ∼0.4 nm. For details of AFM imaging of single-layer graphene, see (15). (D) Scanning electron microscope image of one of our experimental devices prepared from FLG. (E) Schematic view of the device in (D).
图1. 石墨烯薄膜。(A)SiO2晶片顶部厚度为3 nm的相对较大的多层石墨烯薄片的照片(在正常白光下)。(B)该薄片靠近其边缘的2 μm × 2 μm面积的原子力显微镜(AFM)图像。颜色:深棕色,SiO2表面;橙色,SiO2表面以上3 nm高度。(C)单层石墨烯的AFM图像。颜色:深棕色,SiO2表面;棕红色(中心区域),0.8 nm高;黄褐色(左下),1.2 nm橙色(左上),2.5 nm。请注意靠近底部的薄膜折叠部分,其高度差为0.4 nm。(D)用FLG制备的一个实验装置的扫描电子显微镜(SEM)图像。(E)(D)中的装置示意图。
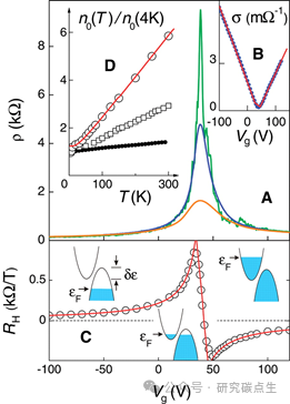
在FLG中,其片电阻率ρ对栅极电压Vg的典型依赖关系(图2)表现出一个尖峰,达到几千Ω的值,并在高Vg时衰减到100 Ω(注意,2D电阻率是以Ω为单位给出的,而不是像3D情况下的Ω × cm)。它的电导率σ=1/ρ在电阻率峰值两侧随Vg线性增加(图2B)。在ρ具有峰值的同一Vg处,霍尔系数RH表现出其符号的急剧反转(图2C)。观察到的行为类似于半导体中的双极场效应,但没有与Fermi能级钉扎在带隙内相关的零电导区。

Fig. 2. Field effect in FLG. (A) Typical dependences of FLG’s resistivity ρ on gate voltage for different temperatures (T = 5, 70, and 300 K for top to bottom curves, respectively). (B) Example of changes in the film’s conductivity σ = 1/ρ(Vg) obtained by inverting the 70 K curve (dots). (C) Hall coefficient RH versus Vg for the same film; T = 5 K. (D) Temperature dependence of carrier concentration n0 in the mixed state for the film in (A) (open circles), a thicker FLG film (squares), and multilayer graphene (d ≈ 5 nm; solid circles). Red curves in (B) to (D) are the dependences calculated from our model of a 2D semimetal illustrated by insets in (C).
图2. FLG的场效应。(A)不同温度下FLG电阻率ρ对栅极电压的典型依赖关系(上下曲线分别为T = 5、70和300 K)。(B)通过反转70 K曲线(点)获得的膜的电导率σ=1/ρ(Vg)的变化的例子。(C)相同膜的Hall系数RH对Vg;T = 5 K。(D)混合状态下载流子浓度n0的温度依赖性,用于(A)中的膜(空心圆)、较厚的FLG膜(正方形)和多层石墨烯(d ≈ 5 nm实心圆)。(B)至(D)中的红色曲线是根据2D半金属模型计算的相关性,如(C)中的插图所示。
他们的测量可以用一个2D金属模型定量地解释,该模型在导带和价带之间有一个小的重叠差δϵ。栅极电压引起表面电荷密度n = ϵ0ϵVg/te ,并相应地移动Fermi能量势ϵF的位置。在这里,ϵ0和ϵ分别是自由空间和SiO2的介电常数;e是电子电荷;t是SiO2层的厚度(300 nm)。对于典型的Vg = 100 V,该公式得出n ≈ 7.2 × 1012 cm-2。电场掺杂通过电子和空穴都存在的混合状态将浅重叠半金属转变为完全电子或完全空穴导体(图2)。在实验曲线和理论曲线上都可以清楚地看到电场掺杂的三个区域。对于只剩下电子或空穴的区域,RH以通常的方式随着载流子浓度的增加而降低,如1/ne。电阻率也遵循标准依赖关系ρ-1 = σ = neμ(其中μ是载流子迁移率)。在混合态中,σ随Vg变化很小,表明一种类型的载流子被另一种类型的载流子取代,而Hall系数则相反,反映了RH与电子和空穴浓度之差成正比的事实。
在没有电场掺杂(零Vg)的情况下,FLG被发现是空穴金属,这被视为ρ的峰值向大的正Vg移动。然而,这种转变归因于吸收的水对膜的无意掺杂。事实上,作者发现通过在真空中退火该器件来改变峰的位置是可能的,这通常导致峰在接近零电压时移动。退火膜暴露于水蒸气或NH3分别导致它们的p-和n-掺杂。因此,他们认为本征FLG是一种混合载流子材料。
FLG中载流子迁移率由场效应和磁阻测量确定,分别为μ = σ(Vg)/en(Vg)和μ = RH/ρ。在这两种情况下,他们获得了相同的μ值,每个样本的μ值在3000至10,000 cm2/V·s之间变化。迁移率实际上与绝对温度T无关,表明它们仍然受到缺陷散射的限制。对于μ ≈ 10,000 cm2/V·s和他们的典型n ≈ 5 × 1012 cm-2,平均自由程为~0.4 μm,这是令人惊讶的,因为2D气体最多离界面只有几Å。然而,他们的发现与插层石墨观察到的同样高的μ一致,其中带电掺杂剂位于石墨烯片旁边。碳纳米管也表现出非常高的μ,但这通常归因于1D情况下散射的抑制。请注意,对于多层石墨烯,他们观察到迁移率在300 K时高达15,000 cm2/V·s,在4 K时高达60,000 cm2/V·s。
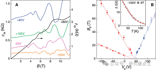
尽管基本上是巨大的富勒烯分子并且不受环境保护,作为实验系统质量和均匀性的另一个指标,FLG膜在纵向电阻率ρxx和Hall电阻率ρxy中表现出明显的Shubnikov-de Haas (ShdH)振荡(图3A)。正如人们可以合理预期的那样,对ShdH振荡的研究证实了FLG的电子输运是严格的2D并使得能够完全表征其电荷载流子。首先,他们进行了标准测试,测量了磁场和石墨烯薄膜之间不同角度θ下的ShdH振荡。正如2D系统所预期的那样,振荡仅依赖于磁场B·cos θ的垂直分量。然而,更重要的是,作者发现ShdH振荡的频率BF与Vg呈线性相关(图3B),表明空穴和电子的Fermi能量ϵF与它们的浓度n成正比。这种依赖关系在定性上不同于3D依赖关系的ϵF ∝ n2/3 ,并证明了FLG中电荷载流子的2D性质。对ShdH振荡的进一步分析表明,只有一个空间量子化的2D子带被占据,直到实验中达到的最大浓度(∼3 × 1013 cm–2)。它可以被位于两个等效谷中质量为me ≈ 0.06m0(其中m0是自由电子质量)的电子填充,或者被质量为~0.03 m0和~0.1 m0的轻空穴和重空穴以及双谷简并填充。发现这些性质对于所研究的所有FLG膜都是相同的,并且与多层石墨烯和大块石墨的电子结构显著不同。请注意,石墨烯预计具有线性能量色散和零质量的载流子,为什么观察到的行为可以用最简单的自由电子模型很好地描述仍有待了解。

Fig. 3. (A) Examples of ShdH oscillations for one of our FLG devices for different gate voltages; T = 3 K, and B is the magnetic field. As the black curve shows, we often observed pronounced plateau-like features in ρxy at values close to (h/4e2)/ν (in this case, ϵF matches the Landau level with filling factor ν = 2 at around 9 T). Such not-fully-developed Hall plateaus are usually viewed as an early indication of the quantum Hall effect in the situations where ρxx does not yet reach the zero-resistance state. (B) Dependence of the frequency of ShdH oscillations BF on gate voltage. Solid and open symbols are for samples with δϵ ≈ 6 meV and 20 meV, respectively. Solid lines are guides to the eye. The linear dependence BF ∝ Vg indicates a constant (2D) density of states (15). The observed slopes (solid lines) account for the entire external charge n induced by gate voltage, confirming that there are no other types of carriers and yielding the double-valley degeneracy for both electrons and holes (15). The inset shows an example of the temperature dependence of amplitude Δ of ShdH oscillations (circles), which is fitted by the standard dependence T/sinh(2π2kBT/ħωc) where ωc is their cyclotron frequency. The fit (solid curve) yields light holes’ mass of 0.03m0.
图3.(A)针对不同栅极电压的FLG器件之一的ShdH振荡的示例;T=3 K,B是磁场。正如黑色曲线所示,作者常观察到ρxy在接近(h/4e2)/ν(在这种情况下,在9 T左右,ϵF与填充因子为ν = 2的Landau水平相匹配)时出现明显的平台状特征。这种未完全发展的Hall平台通常被视为在ρxx尚未达到零电阻态的情况下量子Hall效应的早期迹象。(B)ShdH振荡频率BF对栅极电压的依赖性。实心和空心符号分别代表δϵ ≈ 6 meV和20 meV的样品。实线是向导。线性相关性 BF ∝ Vg 表示恒定的(2D)态密度。观察到的斜率(实线)解释了栅极电压诱导的全部外部电荷n,证实了没有其他类型的载流子,并产生了电子和空穴的双谷简并。插图显示了ShdH振荡(圆)的振幅Δ的温度依赖性的一个例子,它由标准依赖性T/sinh(2π2kBT/ħωc)拟合,其中ωc是它们的回旋频率。拟合(实线)产生0.03m0的轻空穴质量。
他们还测定了FLG中的能带重叠δϵ,对于不同的样品,它从4到20 meV不等,推测表明涉及不同数量的石墨烯层。为此,他们首先使用电阻率的峰值ρm来计算混合状态下的典型载流子浓度n0(例如,在图2 A至C中的样品的低T下,μ ≈ 4000 cm2/V和ρm ≈ 8 kΩ,n0为~2 × 1011 cm-2)。然后,δϵ可以估计为 n0/D,其中D = 2me/πħ2是电子态的2D密度,而ħ是Planck常数除以2 π。对于所讨论的样品,这产生δϵ ≈ 4 meV(即,比3D石墨中的重叠(~40 meV)小得多)。另外,δϵ也可以从n0的温度依赖性来计算,n0表征了本征载流子和热激发载流子的相对贡献。对于二维半金属, n0(T)随n0(0 K)·f·ln[1 + exp(1/f)]变化,其中f = 2kBT/δϵ,kB为Boltzmann常数;图2D显示了对这种依赖关系的最佳拟合,其产生δϵ ≈ 6 meV。发现不同的FLG器件表现出介于2.5和7之间的n0(300 K)/n0(0)比率,而对于多层石墨烯,其仅为1.5(图2D)。这清楚地表明,随着石墨烯层数的减少,δϵ比例减小。观察到的δϵ的大幅度减少与单层石墨烯理论上是一种零能隙半导体的事实是一致的。
石墨烯可能是金属晶体管应用的最佳金属。除了金属晶体管可扩展到真正的纳米尺寸之外,石墨烯还提供弹道传输、线性电流-电压(I–V)特性和巨大的可持续电流(>108 A/cm2)。石墨烯晶体管显示出相当适中的开关电阻比(在300 K时小于~30;由于热激发载流子而受到限制),但这是带隙不超过kBT的任何材料的基本限制。尽管如此,这种开-关比被认为对于逻辑电路来说是足够的,并且通过例如使用p-n结、局部栅极或点接触几何形状来进一步增加该比是可行的。然而,通过与碳纳米管的类比,这种原子级薄材料的其他非晶体管应用最终可能被证明是最令人兴奋的。
本文来自研究碳点生,本文观点不代表石墨烯网立场,转载请联系原作者。
