背景介绍
电子表现出波粒二象性。在大多数情况下,常用半经典粒子模型或相干波模型来考虑电子在分子中的流动。在粒子模型中,分子被视为氧化还原的中心,电子在分子结中的传输是通过一系列电子转移步骤;而在波动模型中,电子被视为非相互作用的波,在分子结中的散射概率取决于能量和分子轨道相位。Marcus理论与Landauer Büttiker框架用于模拟类粒子与类波的电子传输,这两种方法虽独立提出,但均源自一个更广泛的统一量子模型的极限情况,该模型涵盖了分子与电极之间耦合、分子内部振动动力学和实验测量温度。所以研究者们在设计具有特定功能的分子电子器件时,需要控制电荷输运机制是相参传输还是类粒子跳变。无论是在基础水平上研究分子量子输运,还是制造具有特定功能的器件,都需要对电子通过结的输运性质进行实验控制。
近日, Harry L. Anderson、 James. O. Thomas等人在《Angewandte Chemie》期刊发表了题为“Connections to the Electrodes Control the Transport Mechanism in Single-Molecule Transistors”的文章,文章系统研究了电荷通过嵌入石墨烯纳米隙中的单个锌卟啉分子来形成晶体管,并揭示了这种传输机制取决于分子-电极界面的化学性质。研究发现分子锚定基团和石墨烯之间的范德华相互作用产生了具有非相干顺序跳变的库仑阻断传输特性,而共价分子-电极酰胺键则产生了显示相干传输的中间或强耦合单分子器件。这些发现证明了界面工程在分子电子电路中的重要性。
内容简介
在本文工作中,研究者提出了一项系统的实验研究,研究了分子电极化学对一组更大的基于石墨烯的单分子器件(~1200个器件)的影响,这些器件在三端晶体管几何结构中具有相同的卟啉核心(图1a-c)。研究展示了Γ与界面性质之间的相关性,并展示了对电荷传输机制的影响,为制造的挑战和设计策略提供了见解。

图1三端器件结构
(a)器件结构示意图;(b) 和酰胺偶联的π-堆叠;(c) 跨越石墨烯纳米间隙的锌-卟啉核的π-堆叠
单分子器件使用的材料为石墨烯、卟啉衍生物。图1中,石墨烯因为其二维性质使其对栅极电场的屏蔽效果比3D金属电极的屏蔽效果弱常被用作源极和漏极电极材料。石墨烯蝴蝶结形状(图1a)是通过电子束光刻和氧等离子体的组合制造的,并通过反馈控制的电烧形成一对纳米间隔的石墨烯源极和漏极。测量每个器件的电流图(Isd作为源极-漏极电压、Vsd和Vg的函数),这些器件在分子连接之前成功电烧至1 GΩ的电阻。卟啉衍生物是通常选择用于单分子输运研究的分子核心,因为它们的模块化学和大π共轭系统,为电子转移给予小的能级间距和小的重组能。

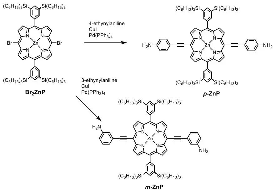
图 2 Sonogashira偶联法合成p-ZnP和m-ZnP
研究者通过Sonogashira偶联二溴锌卟啉前体分别与4-乙炔基苯胺和3-乙炔基苯胺,合成了两种化合物,p-ZnP和m-ZnP。其具有胺锚定基团和卟啉大环围绕连接苯环的帕拉或Meta排列。石墨烯在空气中电烧的机制涉及氧化,并且纳米间隙边缘用含氧官能团装饰。合成路线如图2所示。在分子连接之前和之后,对555个酰胺耦合器件和666个π堆叠器件进行电流-电压测试。为了在大量器件之间进行初步比较,研究者绘制了每个器件在分子连接之前和之后的零偏压电导(Vg =0 V)(图4a和4b)。发现经历酰胺偶联的石墨烯纳米间隙显示出在分子连接后电导大幅增加的显著更多的器件。

图4 器械比较
通过(a)π堆积[11a]或(b)酰胺耦合锚定化学连接分子前后零偏压电导的散点图。每个标记表示单个设备,连接前的电导作为x值,连接后的电导作为y值。从完整稳定性图测量中识别为分子器件的器件以橙色(π-堆叠)或绿色(酰胺偶联)突出显示。实对角线表示在耦合之后不改变电导的器件,并且虚线标记有在耦合之后电导改变的因子。(c)在装置A的Isd-Vsd测量之前和之后(由面板a上的箭头指示),装置A是显示弱耦合和库仑阻塞(CB)的π堆叠装置。(d)酰胺偶联装置(B-E)的Isd-Vsd测量前后与正文中的方程(1-4)拟合。拟合参数:B:Γ=1.6 meV,λ0=0.15 eV,αs =0.48,C:Γ=240 meV,λ0=0.16 eV,αs=0.48,D:Γ=120 meV,λ0=0.14 eV,αs=0.54,E:Γ 250 meV,λ0=0.31 eV,αs=0.56。在室温下进行酰胺偶联装置测量。B-D是p-ZnP器件,E是m-ZnP器件。
在静态单分子结的研究中,已经使用了各种方法来定义“器件产率”。最简单的方法是通过比较Isd-Vsd曲线,如果在耦合过程后电流增加,则将器件分类为“分子”。因为隧穿电流对势垒高度和宽度的指数依赖性意味着在耦合化学过程中可能发生的原子水平上的小波动将导致隧穿电流的可测量变化,其中一半的随机波动会增加器件电导。因此,为了将任何特定的结分类为“分子器件”并获得产量,选择比较分子连接之前和之后作为Vsd和Vg的函数的隧穿电流的每对2D图。图4a和4b中由绿色或橙子标记突出显示的点是通过进行这些比较而被识别为分子装置的点。使用数据选择的无监督算法对器械进行分类,基于是否具有运输特征(即,特征在Gsd-Vg处,不一定在Vg=0 V处)仅在分子沉积之后出现。酰胺偶联后零阻电导的大幅增加表明这些特定的酰胺偶联器件不处于弱偶联状态。非共振传输则有助于隧穿电流,降低了零偏压电导的能级对准的重要性。更强的耦合也与测量的大器件电流一致(图3d)。

图5 器差分电导特性
(a) π堆叠器件和(b)酰胺耦合器件b – d的差分电导图。(c,d)器件的零偏导门走线。器件A被观察到库仑封锁,分子电荷态(N-2, N-1, N)可以被分配。对于器件B-D,在接近Vg=0 V的栅极范围内,观察到一种抗共振特性,它将电导降低到测量值的噪声水平(水平虚线)。噪声水平约为10 (6.5-7.0)G0,取决于具体的测量设置和电流放大器设置。测量温度为77k(器件A)或80k(器件B-D)。
为了得出关于隧穿机制的更可靠的结论,研究者对引线键合器件进行了测试,并在~77 K下再次测量,以降低热噪声。器件A的电导图和零偏置栅极迹线(π堆叠)分别如图5a和5c所示。它们显示出弱耦合分子器件的库仑阻塞行为特征。当分子能级位于电极电位之间的偏置窗口内时,存在高电导,其中允许分子的多体电荷状态之间的共振顺序隧穿,并且在非共振、库仑阻塞区域中抑制电导。酰胺耦合器件的电导图(图5b)与π堆叠器件的电导图有很大的不同。在大多数Vg范围内,库仑菱形具有高电导(~ 10-3G0),几乎无法区分,这表明通过与石墨烯强烈杂化的分子轨道进行非共振输运机制,而不是顺序输运。这些观察结果证实了图3中的指示,即酰胺偶联器件具有更强的分子-电极偶联。
在图6中,绘制出两组器件的(ω0,Γ)对。π堆叠分子器件的电子耦合在10-6 ~10-2 eV之间,而酰胺耦合器件的电子耦合值较高,主要在10-3 ~ 100 eV之间。因此,电子耦合幅度的差异与图4中实验观察到的不同传输机制相关。

图6传输参数。
酰胺耦合(绿色标记,p-ZnP的黑色轮廓,m-ZnP的绿色轮廓)和π堆叠(橙色标记)器件的水平对准和电子耦合的散点图。红色带代表热能,kB T,上限和下限分别对应于298 K和77 K。
电荷传递机制也取决于与电子传递相关的振动效应。图7绘制出了在时间和能量域中参与输运的电子态的振动相关性和有限寿命的影响。对于器件A (π堆叠,Γ=0.6 meV),振动动力学和有限寿命的相对时间尺度相似,而对于器件C(酰胺耦合,Γ~240 meV),短激发态寿命主导动力学。在这个极限下,能量依赖性具有由Γ加宽的洛伦兹的形式。对于强耦合器件,已经有许多实验和理论研究证明了分子电导测量中的量子干涉效应,证实了传输至少部分是相位相干的。对于显示库仑阻塞的器件,传输不是先验证不相干的,因为电子干涉测量已经表明,通过库仑峰的传输可以是相位相干的。然而,如图7a所示,当电子隧穿的时间尺度是皮秒到纳秒(Γ= 10-2 to 10-6 eV)时,非弹性振动过程是允许的,这些过程与电荷局域化和退相干有关。因此,随着耦合越来越弱,输运将变得连续和不相干。总的来说,振动动力学在电荷输运中的作用在中间耦合区中相对未被充分研究,因为它位于马库斯理论/弗兰克-康登物理学或朗道理论有效的范围之外。在这些情况下,传输机制的细节,以及关于量子相干在传输中的作用的问题是开放的,将取决于隧道速率和分子振动之间的相互作用。

图7时间和能量依赖。
使用来自方程拟合的参数和DFT计算的电子-声子耦合,计算(a)器件A和(b)器件C的声子相关函数和寿命加宽。弱耦合器件A(G:0:6 meV)的振动动力学导致分子态密度的结构化能量依赖性。对于器件C(G/4240 meV),动力学主要由寿命展宽决定。计算了77 K下的电子-声子关联函数。
总结
在这项工作中,研究人员对不同的分子-电极连接如何影响石墨烯基锌卟啉器件的电荷输运性质进行了系统的研究。对于共价分子-电极连接,耦合在几个数量级上变化,但通常超过10 meV,导致相位相干传输。对于π堆叠,耦合在μeV-meV范围内,并且输运的特征在于库仑阻塞和可能是不相干的连续隧穿。结果表明,如何改变连接到电极的化学物质可以用来访问通过分子器件的电子传输的不同制度,这是设计利用干涉效应或研究单个量子振动或自旋态对传导影响的功能器件的先决条件。此外,研究还强调了该领域的挑战,例如需要对器件良率和器件间可变性进行可靠的定义。本文介绍的方法给予单分子器件的动态信息,并为传输机制的基本原理提供了新线索。
文章信息
该研究工作于2024年2月以“Connections to the Electrodes Control the Transport Mechanism in Single-Molecule Transistors”为题,发表于《Angewandte Chemie 》上,文章的第一作者为牛津大学Zhixin Chen博士、通讯作者为Harry L. Anderson、James. O. Thomas教授。
原文链接:https://doi.org/10.1002/anie.202401323
本文来自单分子科学研究中心,本文观点不代表石墨烯网立场,转载请联系原作者。
